Enhanced Electrokinetic Remediation for the Removal of Heavy Metals from Contaminated Soils
Abstract
1. Introduction
2. Materials and Methods
2.1. Soil Characteristics and Contamination Procedure
2.2. Extraction Tests
2.3. Electrokinetic Setup and Testing
3. Results
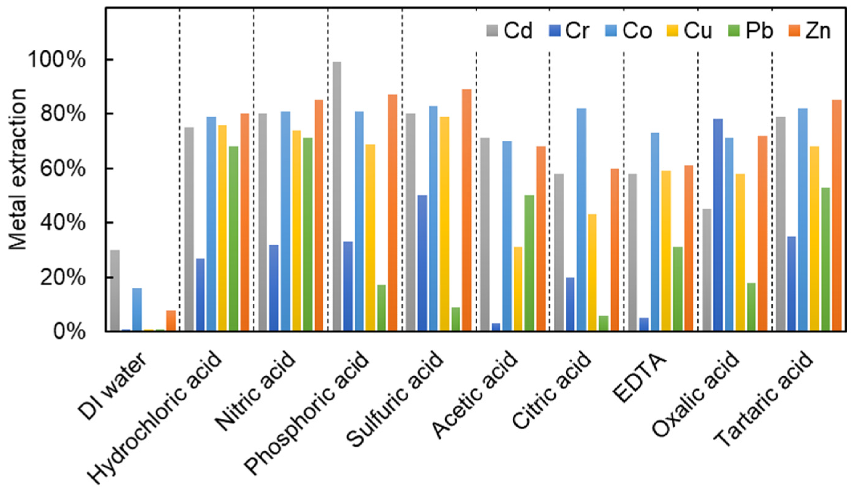
3.1. Extraction of Metals from the Soil
3.2. Electrokinetic Treatment
4. Conclusions
- Organic acids are a good alternative as facilitating agents because of the mild operating conditions and their capacity to dissolve and stabilize the metals in solution, forming stable complexes and chelates;
- EDTA 0.1 M was effective in the dissolution and complexing of aged contamination of Cd, Co, Cu, Pb and Zn. However, the removal rate was too slow to be considered for a large-scale application;
- Cr was not mobilized or removed in the electrokinetic treatment with EDTA;
- The use of citric acid 0.1 M as processing fluid in electrokinetics is proposed due to its capacity to mobilize Cd, Co, Cu and Zn. Low mobilization was observed for Cr and Pb;
- The increase of the treatment time and the concentration of citric acid up to 0.5 M resulted in the effective removal of Cd, Co, Cu and Zn from aged contaminated soil. The removal ratios of Cd, Co, Cu and Zn were over 70–80%. It is expected to achieve complete remediation of these metals, increasing the treatment time;
- The remediation of soil contaminated with Cr and Pb requires further research to identify the appropriate experimental conditions that lead to significant mobilization and removal;
- The metal soil extraction tests suggest that oxalic acid could be an effective extractant for Cr and acetic acid for Pb. These two organic acids could be tested in combination with citrate for the simultaneous removal of the six metals. Alternatively, sequential electrokinetic treatment with citric acid, oxalic acid and acetic acid may result in the removal of the six metals.
Author Contributions
Funding
Data Availability Statement
Conflicts of Interest
References
- Arao, T.; Ishikawa, S.; Murakami, M.; Abe, K.; Maejima, Y.; Makino, T. Heavy metal contamination of agricultural soil and countermeasures in Japan. Paddy Water Environ. 2010, 8, 247–257. [Google Scholar] [CrossRef]
- Van Straalen, N.M. Assessment of soil contamination—A functional perspective. Biogeochem. 2002, 13, 41–52. [Google Scholar] [CrossRef] [PubMed]
- Krishna, A.K.; Govil, P.K. Soil Contamination Due to Heavy Metals from an Industrial Area of Surat, Gujarat, Western India. Environ. Monit. Assess. 2006, 124, 263–275. [Google Scholar] [CrossRef] [PubMed]
- Liu, L.; Li, W.; Song, W.; Guo, M. Remediation techniques for heavy metal-contaminated soils: Principles and ap-plicability. Sci. Total Environ. 2018, 633, 206–219. [Google Scholar] [CrossRef] [PubMed]
- Hou, D.; O’Connor, D.; Igalavithana, A.D.; Alessi, D.S.; Luo, J.; Tsang, D.C.W.; Sparks, D.L.; Yamauchi, Y.; Rinklebe, J.; Ok, Y.S. Metal contamination and bioremediation of agricultural soils for food safety and sustainability. Nat. Rev. Earth Environ. 2020, 1, 366–381. [Google Scholar] [CrossRef]
- Khalid, S.; Shahid, M.; Niazi, N.K.; Murtaza, B.; Bibi, I.; Dumat, C. A comparison of technologies for remediation of heavy metal contaminated soils. J. Geochem. Explor. 2017, 182, 247–268. [Google Scholar] [CrossRef]
- Si, Y.; Lao, J.; Zhang, X.; Liu, Y.; Cai, S.; Gonzalez-Vila, A.; Li, K.; Huang, Y.; Yuan, Y.; Caucheteur, C.; et al. Electrochemical Plasmonic Fiber-optic Sensors for Ultra-Sensitive Heavy Metal Detection. J. Light. Technol. 2019, 37, 3495–3502. [Google Scholar] [CrossRef]
- Hwang, J.-H.; Wang, X.; Zhao, D.; Rex, M.M.; Cho, H.J.; Lee, W.H. A novel nanoporous bismuth electrode sensor for in situ heavy metal detection. Electrochim. Acta 2019, 298, 440–448. [Google Scholar] [CrossRef]
- Reddy, K.R.; Cameselle, C. Electrochemical Remediation Technologies for Polluted Soils, Sediments and Groundwa-Ter; John Wiley & Sons: Hoboken, NJ, USA, 2009. [Google Scholar]
- Karaca, O.; Cameselle, C.; Bozcu, M. Opportunities of electrokinetics for the remediation of mining sites in Biga peninsula, Turkey. Chemosphere 2019, 227, 606–613. [Google Scholar] [CrossRef] [PubMed]
- Ricart, M.T.; Cameselle, C.; Lucas, T.; Lema, J.M. Manganese Removal from Spiked Kaolinitic Soil and Sludge by Electromigration. Sep. Sci. Technol. 1999, 34, 3227–3241. [Google Scholar] [CrossRef]
- Cameselle, C.; Gouveia, S. Removal of Multiple Metallic Species from Sludge by Electromigration. J. Hazard. Toxic Radioact. Waste 2020, 24, 04019030. [Google Scholar] [CrossRef]
- Ottosen, L.M.; Hansen, H.K.; Bech-Nielsen, G.; Villumsen, Å. Electrodialytic Remediation of an Arsenic and Copper Polluted Soil—Continuous Addition of Ammonia during the Process. Environ. Technol. 2000, 21, 1421–1428. [Google Scholar] [CrossRef]
- Cameselle, C.; Pena, A. Enhanced electromigration and electro-osmosis for the remediation of an agricultural soil contaminated with multiple heavy metals. Process. Saf. Environ. Prot. 2016, 104, 209–217. [Google Scholar] [CrossRef]
- Zhu, Y.; Fan, W.; Zhou, T.; Li, X. Removal of chelated heavy metals from aqueous solution: A review of current methods and mechanisms. Sci. Total. Environ. 2019, 678, 253–266. [Google Scholar] [CrossRef] [PubMed]
- ASTM. ASTM D1293 Standard Test Methods for pH of Water. ASTM International; ASTM International: West Conshohocken, PA, USA, 2018. [Google Scholar] [CrossRef]
- ASTM. ASTM D854 Standard Test Methods for Specific Gravity of Soil Solids by Water Pycnometer; ASTM International: West Conshohocken, PA, USA, 2014. [Google Scholar] [CrossRef]
- ASTM. ASTM D2980 Standard Test Method for Saturated Density, Moisture-Holding Capacity, and Porosity of Saturated Peat Materials; ASTM International: West Conshohocken, PA, USA, 2017. [Google Scholar] [CrossRef]
- ASTM. ASTM D2216 Standard Test Methods for Laboratory Determination of Water (Moisture) Content of Soil and Rock by Mass; ASTM International: West Conshohocken, PA, USA, 2019. [Google Scholar] [CrossRef]
- ASTM. ASTM D2974 Standard Test Methods for Determining the Water (Moisture) Content, Ash Content, and Organic Material of Peat and Other Organic Soils; ASTM International: West Conshohocken, PA, USA, 2020. [Google Scholar] [CrossRef]
- ASTM. ASTM D422 Standard Test Method for Particle-Size Analysis of Soils; ASTM International: West Conshohocken, PA, USA, 2007. [Google Scholar] [CrossRef]
- USEPA. Acid Digestion of Aqueous Samples and Extracts for Total Metals for Analysis by FLAA or ICP Spectroscopy. In Test Methods for Evaluating Solid Waste, Physical/Chemical Methods; USEPA Method 3010A; EPA SW-846; United States Environmental Protection Agency, Office of Solid Waste: Washington, DC, USA, 1992. [Google Scholar]
- USEPA. Acid Digestion of Sediments, Sludges, and Soils. In Test Methods for Eval-uating Solid Waste, Physical/Chemical Methods; EPA SW-846; US EPA Method 3050B Revision 2; United States Environmental Protection Agency, Office of Solid Waste: Washington, DC, USA, 1996. [Google Scholar]
- Morel, F.M.; Hering, J.G. Principles and Applications of Aquatic Chemistry; John Wiley & Sons: Hoboken, NJ, USA, 1993. [Google Scholar]
- Cameselle, C.; Gouveia, S.; Urréjola, S. Benefits of phytoremediation amended with DC electric field. Application to soils contaminated with heavy metals. Chemosphere 2019, 229, 481–488. [Google Scholar] [CrossRef] [PubMed]
- Clausen, C. Improving the two-step remediation process for CCA-treated wood: Part I. Evaluating oxalic acid extraction. Waste Manag. 2004, 24, 401–405. [Google Scholar] [CrossRef] [PubMed]
- Renella, G.; Landi, L.; Nannipieri, P. Degradation of low molecular weight organic acids complexed with heavy metals in soil. Geoderma 2004, 122, 311–315. [Google Scholar] [CrossRef]
- Figueroa, A.; Cameselle, C.; Gouveia, S.; Hansen, H.K. Electrokinetic treatment of an agricultural soil contaminated with heavy metals. J. Environ. Sci. Health Part A 2016, 51, 691–700. [Google Scholar] [CrossRef] [PubMed]
- Nörtemann, B. Biodegradation of EDTA. Appl. Microbiol. Biotechnol. 1999, 51, 751–759. [Google Scholar] [CrossRef] [PubMed]
- Abbay, G.; Gilbert, T. Chromium(III)-citrate complexes: A study using ion exchange and isotachophoresis. Polyhedron 1986, 5, 1839–1844. [Google Scholar] [CrossRef]









| Parameter | Value | Testing Method |
|---|---|---|
| pH | 4.4 | ASTM D1293 [16] |
| Electrical conductivity (mS/cm) | 3.15 | ASTM D1293 [16] |
| Specific gravity (dry basis, g/cm3) | 2.7 | ASTM D 854 [17] |
| Water holding capacity | 48.5% | ASTM D 2980 [18] |
| Moisture content (wet basis) | 22.4% | ASTM D2216 [19] |
| Soil organic content (dry basis) | 4.5% | ASTM D 2974 [20] |
| Particle size analysis | ASTM D 422 [21] | |
| Clay (<0.002 mm) | 44.3% | |
| Silt (0.002–0.05 mm) | 43.2% | |
| Sand (0.05–2 mm) | 12.5% |
| Metal Species | Metal Salt | Spiking Concentration (mg/kg) |
|---|---|---|
| Cd2+ | Cd(NO3)2 4H2O | 141 |
| Cr(VI) | K2Cr2O7 | 1000 |
| Co2+ | CoCl2 6H2O | 185 |
| Cu2+ | CuSO4 5H2O | 1023 |
| Pb2+ | PbCl2 | 1000 |
| Zn2+ | ZnSO4 7H2O | 1001 |
| Test | Anolyte | Soil | Catholyte | Potential Drop | Time |
|---|---|---|---|---|---|
| Test 1 | Deionized water | 320 g | DI water | 20 V | 30 days |
| Test 2 | Deionized water | 320 g | 0.1 M citric acid | 20 V | 30 days |
| Test 3 | 0.1 M NaOH | 320 g | 0.1 M EDTA | 20 V | 30 days |
| Test 4 | 0.5 M Citric acid | 320 g | 0.5 M citric acid | 20 V | 65 days |
| Test—Catholyte | Fractions | Cd | Cr | Co | Cu | Pb | Zn |
|---|---|---|---|---|---|---|---|
| Test 1—Deionized water | Soil (%) | 98.1% | 97.4% | 99.9% | 97.4% | 96.8% | 98.5% |
| Anode (%) | 0.0% | 0.5% | 0.1% | 0.0% | 0.0% | 0.0% | |
| Cathode (%) | 0.0% | 0.0% | 0.0% | 0.0% | 0.0% | 0.0% | |
| Error (%) | 1.9% | 2.1% | 0.1% | 2.6% | 3.2% | 1.5% | |
| Test 2—0.1 M citric acid | Soil (%) | 96.1% | 95.4% | 92.7% | 93.5% | 97.8% | 86.7% |
| Anode (%) | 0.1% | 0.1% | 0.1% | 0.0% | 0.0% | 0.1% | |
| Cathode (%) | 0.2% | 0.0% | 4.5% | 2.1% | 0.0% | 9.3% | |
| Error (%) | 3.7% | 4.5% | 2.7% | 4.3% | 2.1% | 3.9% | |
| Test 3—0.1 M EDTA | Soil (%) | 99.7% | 99.8% | 98.3% | 94.1% | 99.4% | 99.2% |
| Anode (%) | 0.0% | 0.0% | 0.1% | 0.0% | 0.0% | 0.1% | |
| Cathode (%) | 0.6% | 0.1% | 0.9% | 0.2% | 0.3% | 0.9% | |
| Error (%) | −0.3% | 0.1% | 0.7% | 5.6% | 0.3% | −0.1% | |
| Test 4—0.5 M citric acid | Soil (%) | 21.3% | 88.2% | 21.4% | 27.5% | 90.2% | 26.7% |
| Anode (%) | 1.2% | 2.3% | 0.3% | 0.0% | 0.0% | 0.1% | |
| Cathode (%) | 78.3% | 6.3% | 76.9% | 71.4% | 8.2% | 73.9% | |
| Error (%) | −0.8% | 3.2% | 1.4% | 1.1% | 1.6% | −0.7% |
Publisher’s Note: MDPI stays neutral with regard to jurisdictional claims in published maps and institutional affiliations. |
© 2021 by the authors. Licensee MDPI, Basel, Switzerland. This article is an open access article distributed under the terms and conditions of the Creative Commons Attribution (CC BY) license (http://creativecommons.org/licenses/by/4.0/).
Share and Cite
Cameselle, C.; Gouveia, S.; Cabo, A. Enhanced Electrokinetic Remediation for the Removal of Heavy Metals from Contaminated Soils. Appl. Sci. 2021, 11, 1799. https://doi.org/10.3390/app11041799
Cameselle C, Gouveia S, Cabo A. Enhanced Electrokinetic Remediation for the Removal of Heavy Metals from Contaminated Soils. Applied Sciences. 2021; 11(4):1799. https://doi.org/10.3390/app11041799
Chicago/Turabian StyleCameselle, Claudio, Susana Gouveia, and Adrian Cabo. 2021. "Enhanced Electrokinetic Remediation for the Removal of Heavy Metals from Contaminated Soils" Applied Sciences 11, no. 4: 1799. https://doi.org/10.3390/app11041799
APA StyleCameselle, C., Gouveia, S., & Cabo, A. (2021). Enhanced Electrokinetic Remediation for the Removal of Heavy Metals from Contaminated Soils. Applied Sciences, 11(4), 1799. https://doi.org/10.3390/app11041799

