Study of Indicators of CI Engine Running on Conventional Diesel and Chicken Fat Mixtures Changing EGR
Abstract
1. Introduction
2. Equipment, Methodology and Fuel
3. Research Results and Discussion
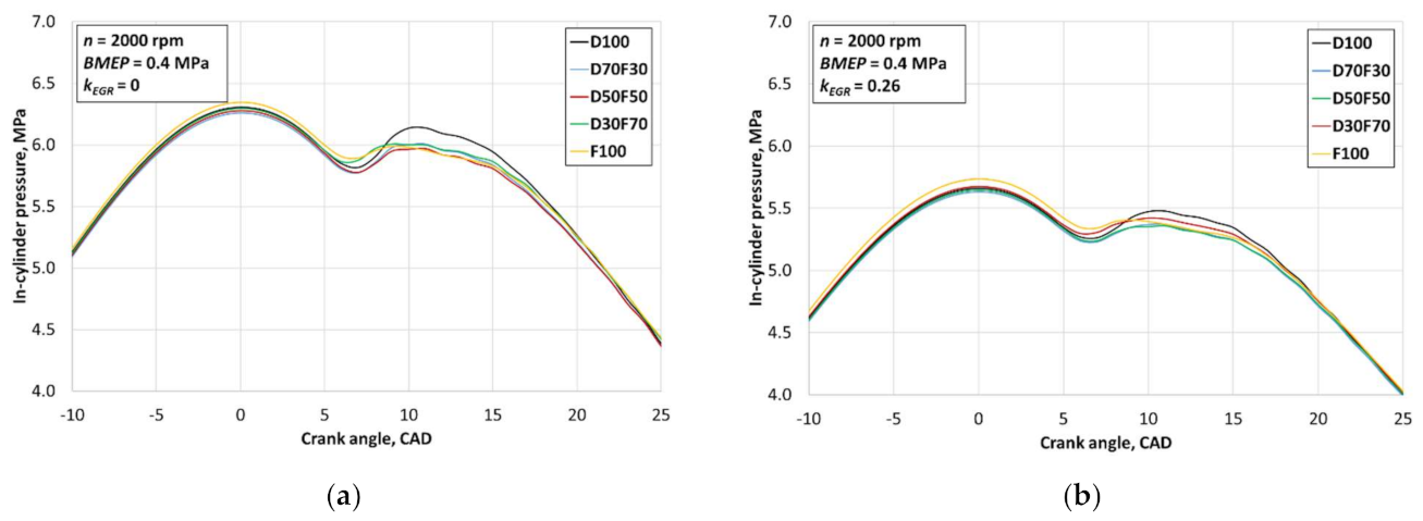
3.1. Combustion Indicators
3.2. Energy Indicators
3.3. Environmental Indicators
4. Conclusions
- 1.
- When using fuel which contains chicken fat, the fuel was heated to ~50 °C in order to reduce the high viscosity and fuel filter plugging. The comparison of the F100 and D100 fuels revealed that the chicken fat lubricity properties were no worse, the density was ~7.4% higher, the LHV was ~11.5% lower and the C/H ratio was ~2.7% higher, while oxygen accounted for ~ 11% of the chicken fat mass;
- 2.
- When increasing the concentration of the chicken fat in the fuel mixtures, the intensity of the fuel injection, evaporation and combustion changed due to the changed fuel properties. Having replaced the D100 with F100 fuel, the start of ignition timing was determined to change slightly, but the maximum ROHR decreased by ~27% in the premixed combustion phase when EGR was on and by ~22% when EGR was off, and combustion in the diffusion phase was more intense. The turbocharger boost pressure, which depends on the kinetic energy of the exhaust gas, increases, which in turn increases the volumetric efficiency of the engine.The specific fuel mass consumption (BSFC_m) of the F100 fuel increased by ~16% when EGR was off and by ~18% when EGR was on, due to a lower chicken fat LHV and a lower combustion thermal efficiency. It was found that, with the engine running at different loads when EGR was off, an increase of the chicken fat concentration to 30% left the engine’s BTE unchanged, but increasing the fat concentration to 100% decreased the efficiency by 2.8–2.9% due to a longer combustion process. When EGR was on, the combustion process was even longer, and the engine’s BTE decreased by 3.5–5.1% when using F100 duel, compared with D100, when EGR was off;
- 3.
- An increase in the engine’s CO2 emissions when increasing the concentration of the chicken fat was due to a higher C/H ratio of the F100 fuel, increasing fuel consumption and the specifics of combustion of the chicken fat containing O2. However, the fact that the F100 fuel is a renewable fuel allows for stating that the CO2 emissions of this fuel during the life cycle are much lower compared with D100;
- 4.
- When increasing the chicken fat concentration, CO emissions also increased as the C/H ratio increased and larger droplets of higher fuel density burned harder. EGR further increased CO emissions as the combustion temperature and the amount of oxygen involved in oxidation decreased. HC emissions decreased slightly when increasing the chicken fat concentration to 50%, but when the fat concentration increased to 100%, the HC emissions increased due to worse combustion;
- 5.
- Although a higher C/H ratio in the F100 fuel and the increasing fuel consumption when increasing the chicken fat concentration should theoretically increase the amount of smoke, the smoke decreased by 57–70% when EGR was off. This was due to a slower combustion in the premixed combustion phase, more intense combustion in the diffusion phase and the oxygen contained in the fuel;
- 6.
- Decreasing the chicken fat ROHR in the premix combustion phase resulted in a lower NOx formation intensity. When EGR was off, the 100% chicken fat fuel reduced NOx emissions at various loads by 13–22%, and when EGR was on, the combined effects of EGR and the chicken fat reached 48–52%.
Author Contributions
Funding
Institutional Review Board Statement
Informed Consent Statement
Data Availability Statement
Acknowledgments
Conflicts of Interest
Nomenclature
| Brake torque (Nm) | |
| BMEP | Brake mean effective pressure (bar) |
| BSEC | Brake specific energy consumption |
| BSFC_m | Brake specific fuel mass consumption (g/kWh) |
| BSFC_V | Brake specific fuel volume consumption (ml/kWh) |
| BTE | Brake thermal efficiency |
| LHV | Lower heating value (MJ/kg) |
| ROHR | Rate of heat release (J/CAD) |
| n | Rotational speed of the crankshaft (rpm) |
Abbreviations
| ATDC | After top dead center |
| BTDC | Before top dead center |
| CAD | Crank angle degree |
| CFPP | Cold filter plugging point |
| CI | Compression ignition |
| CO | Carbon monoxide |
| CO2 | Carbon dioxide |
| D100 | 100% conventional diesel fuel |
| D30F70 | 30% diesel, 70% chicken fat |
| D50F50 | 50% diesel, 50% chicken fat |
| D70F30 | 70% diesel, 30% chicken fat |
| ECU | Electronic control unit |
| EGR | Exhaust gas recirculation |
| F100 | 100% chicken fat fuel |
| HC | Hydrocarbon |
| HCCI | Homogeneous charge compression ignition |
| NOx | Nitrogen oxide |
| O2 | Oxygen |
| SOC | Start of combustion |
| SOI | Start of injection |
| TDI | Turbocharged direct injection |
| WSD | Wear scar diameter |
References
- Selech, J.; Ulbrich, D.; Wlodarczyk, K.; Kowalczyk, J.; Adamkiewicz, J. The Prototype of Stream Amplifier Used in Transport of Polydisperse Medium. Procedia Eng. 2017, 192, 777–781. [Google Scholar] [CrossRef]
- Fuc, P.; Lijewski, P.; Kurczewski, P.; Ziolkowski, A.; Dobrzynski, M. The analysis of fuel consumption and exhaust emissions from forklifts fueled by diesel fuel and liquefied petroleum gas (LPG) obtained under real driving conditions. In Proceedings of the Asme International Mechanical Engineering Congress and Exposition, Tampa, FL, USA, 3–9 November 2017. [Google Scholar]
- Bereczky, A. The Past, Present and Future of the Training of Internal Combustion Engines at the Department of Energy Engineering of BME. In Vehicle and Automotive Engineering; Jarmai, K., Bollo, B., Eds.; Springer: Cham, Switzerland, 2017; pp. 225–234. [Google Scholar]
- Rimkus, A.; Matijosius, J.; Bogdevicius, M.; Bereczky, A.; Torok, A. An Investigation of the Efficiency of Using O-2 and H-2 (Hydrooxile Gas-HHO) Gas Additives in a Ci Engine Operating on Diesel Fuel and Biodiesel. Energy 2018, 152, 640–651. [Google Scholar] [CrossRef]
- Ayhan, V.; Tunca, S. Experimental Investigation on Using Emulsified Fuels with Different Biofuel Additives in a DI Diesel Engine for Performance and Emissions. Appl. Therm. Eng. 2018, 129, 841–854. [Google Scholar] [CrossRef]
- Kukharonak, H.; Ivashko, V.; Pukalskas, S.; Rimkus, A.; Matijošius, J. Operation of a Spark-Ignition Engine on Mixtures of Petrol and N-Butanol. Procedia Eng. 2017, 187, 588–598. [Google Scholar] [CrossRef]
- Warguła, Ł.; Kukla, M.; Lijewski, P.; Dobrzyński, M.; Markiewicz, F. Influence of the Use of Liquefied Petroleum Gas (LPG) Systems in Woodchippers Powered by Small Engines on Exhaust Emissions and Operating Costs. Energies 2020, 13, 5773. [Google Scholar] [CrossRef]
- Zoldy, M.; Hollo, A.; Thernesz, A. Butanol as a Diesel Extender Option for Internal Combustion Engines. In SAE 2010 World Congress & Exhibition; SAE International: Troy, MI, USA, 12 April 2010. [Google Scholar] [CrossRef]
- Fuc, P.; Lijewski, P.; Sokolnicka, B.; Siedlecki, M.; Szymlet, N. Analysis of exhaust gas flow through a particulate filter in the exhaust of the spark ignition direct injection engine. In Proceedings of the Computational Technologies in Engineering (TKI’2018), Jora Wielka, Poland, 16–19 October 2018; Volume 2078. [Google Scholar]
- Rimkus, A.; Zaglinskis, J.; Stravinskas, S.; Rapalis, P.; Matijosius, J.; Bereczky, A. Research on the Combustion, Energy and Emission Parameters of Various Concentration Blends of Hydrotreated Vegetable Oil Biofuel and Diesel Fuel in a Compression-Ignition Engine. Energies 2019, 12, 2978. [Google Scholar] [CrossRef]
- Kilikevičienė, K.; Kačianauskas, R.; Kilikevičius, A.; Maknickas, A.; Matijošius, J.; Rimkus, A.; Vainorius, D. Experimental Investigation of Acoustic Agglomeration of Diesel Engine Exhaust Particles Using New Created Acoustic Chamber. Powder Technol. 2020, 360, 421–429. [Google Scholar] [CrossRef]
- Rimkus, A.; Melaika, M.; Matijošius, J. Efficient and Ecological Indicators of CI Engine Fuelled with Different Diesel and LPG Mixtures. Procedia Eng. 2017, 187, 504–512. [Google Scholar] [CrossRef]
- Alptekin, E.; Canakci, M.; Ozsezen, A.N.; Turkcan, A.; Sanli, H. Using Waste Animal Fat Based Biodiesels–Bioethanol–Diesel Fuel Blends in a DI Diesel Engine. Fuel 2015, 157, 245–254. [Google Scholar] [CrossRef]
- Bereczky, A. Effect of The use of waste vegetable oil based biodiesel on the landscape in diesel engines. Therm. Sci. 2017, 21, 567–579. [Google Scholar] [CrossRef]
- Zöldy, M.; Török, Á. Road Transport Liquid Fuel Today and Tomorrow: Literature Overview. Period. Polytech. Transp. Eng. 2015, 43, 172–176. [Google Scholar] [CrossRef]
- Warguła, Ł.; Kukla, M. Determination of Maximum Torque during Carpentry Waste Comminution. Wood Res. 2020, 65, 771–784. [Google Scholar] [CrossRef]
- Zefreh, M.M.; Hussain, B.; Sipos, T. In-Depth Analysis and Model Development of Passenger Satisfaction with Public Transportation. KSCE J. Civ. Eng. 2020, 24, 3064–3073. [Google Scholar] [CrossRef]
- Veselik, P.; Sejkorova, M.; Nieoczym, A.; Caban, J. Outlier Identification of Concentrations of Pollutants in Environmental Data Using Modern Statistical Methods. Pol. J. Environ. Stud. 2020, 29, 853–860. [Google Scholar] [CrossRef]
- Fuc, P.; Lijewski, P.; Ziolkowski, A.; Dobrzyński, M. Dynamic Test Bed Analysis of Gas Energy Balance for a Diesel Exhaust System Fit with a Thermoelectric Generator. J. Elec Mater. 2017, 46, 3145–3155. [Google Scholar] [CrossRef]
- Melnikienė, R.; Baležentis, A. Agricultural and Food Sector in Lithuania 2017; Lithuanian Institute of Agrarian Economics: Vilnius, Lithuania, 2018. [Google Scholar]
- Andrzejczak, K.; Młyńczak, M.; Selech, J. Poisson-Distributed Failures in the Predicting of the Cost of Corrective Maintenance. EiN 2018, 20, 602–609. [Google Scholar] [CrossRef]
- Barua, P.; Hossain, N.; Chowdhury, T.; Chowdhury, H. Commercial Diesel Application Scenario and Potential of Alternative Biodiesel from Waste Chicken Skin in Bangladesh. Environ. Technol. Innov. 2020, 20, 101139. [Google Scholar] [CrossRef]
- Keskin, A.; Şen, M.; Emiroğlu, A.O. Experimental Studies on Biodiesel Production from Leather Industry Waste Fat and Its Effect on Diesel Engine Characteristics. Fuel 2020, 276, 118000. [Google Scholar] [CrossRef]
- Emiroğlu, A.O.; Keskin, A.; Şen, M. Experimental Investigation of the Effects of Turkey Rendering Fat Biodiesel on Combustion, Performance and Exhaust Emissions of a Diesel Engine. Fuel 2018, 216, 266–273. [Google Scholar] [CrossRef]
- Simsek, S.; Uslu, S. Comparative Evaluation of the Influence of Waste Vegetable Oil and Waste Animal Oil-Based Biodiesel on Diesel Engine Performance and Emissions. Fuel 2020, 280, 118613. [Google Scholar] [CrossRef]
- Seffati, K.; Honarvar, B.; Esmaeili, H.; Esfandiari, N. Enhanced Biodiesel Production from Chicken Fat Using CaO/CuFe2O4 Nanocatalyst and Its Combination with Diesel to Improve Fuel Properties. Fuel 2019, 235, 1238–1244. [Google Scholar] [CrossRef]
- Domínguez-Sáez, A.; Rattá, G.A.; Barrios, C.C. Prediction of Exhaust Emission in Transient Conditions of a Diesel Engine Fueled with Animal Fat Using Artificial Neural Network and Symbolic Regression. Energy 2018, 149, 675–683. [Google Scholar] [CrossRef]
- Duda, K.; Wierzbicki, S.; Śmieja, M.; Mikulski, M. Comparison of Performance and Emissions of a CRDI Diesel Engine Fuelled with Biodiesel of Different Origin. Fuel 2018, 212, 202–222. [Google Scholar] [CrossRef]
- Kirubakaran, M.; Arul Mozhi, S.V. Eggshell as Heterogeneous Catalyst for Synthesis of Biodiesel from High Free Fatty Acid Chicken Fat and Its Working Characteristics on a CI Engine. J. Environ. Chem. Eng. 2018, 6, 4490–4503. [Google Scholar] [CrossRef]
- Karuppan, D.; Muthu Manokar, A.; Vijayabalan, P.; Sathyamurthy, R.; Madhu, B.; Mageshbabu, D.; Bharathwaaj, R.; Jenoris Muthiya, S. Experimental Investigation on Pressure and Heat Release HCCI Engine Operated with Chicken Fat Oil/Diesel-Gasoline Blends. Mater. Today Proc. 2020. [Google Scholar] [CrossRef]
- Rao, K.S.; Ramakrishna, A.; Rao, P.V. Effect of Fuel Injection Pressure on Performance and Emission Characteristics of DI-CI Engine Fueled with Chicken Fat Biodiesel. Int. J. Therm. Technol. 2013, 3, 53–59. [Google Scholar]
- Wyatt, V.T.; Hess, M.A.; Dunn, R.O.; Foglia, T.A.; Haas, M.J.; Marmer, W.N. Fuel Properties and Nitrogen Oxide Emission Levels of Biodiesel Produced from Animal Fats. J. Am. Oil Chem. Soc. 2005, 82, 585–591. [Google Scholar] [CrossRef]
- Kirubakaran, M.; Arul Mozhi Selvan, V. A Comprehensive Review of Low Cost Biodiesel Production from Waste Chicken Fat. Renew. Sustain. Energy Rev. 2018, 82, 390–401. [Google Scholar] [CrossRef]
- Behçet, R. Evaluation as Fuel Diesel Engine of Methyl Esters Derived from Waste Animal Fats. Energy Explor. Exploit. 2015, 33, 227–242. [Google Scholar] [CrossRef]
- Arbune, J.; Manatkar, S.; Koparde, N.; Hingane, M.; Ghadge, A. Performance and emission analysis of biodiesel (jatropha+chicken fat) on diesel engine. IJRET 2014, 2, 81–90. [Google Scholar]
- Gurusala, N.K.; Selvan, V.A.M. Effects of Alumina Nanoparticles in Waste Chicken Fat Biodiesel on the Operating Characteristics of a Compression Ignition Engine. Clean Technol. Environ. Policy 2015, 17, 681–692. [Google Scholar] [CrossRef]
- Mohiddin, M.N.; Saleh, A.A.; Reddy, A.N.R.; Hamdan, S. A Study on Chicken Fat as an Alternative Feedstock: Biodiesel Production, Fuel Characterisation, and Diesel Engine Performance Analysis. IJAME 2018, 15, 5535–5546. [Google Scholar] [CrossRef]
- Mikulski, M.; Ambrosewicz-Walacik, M.; Duda, K.; Hunicz, J. Performance and Emission Characterization of a Common-Rail Compression-Ignition Engine Fuelled with Ternary Mixtures of Rapeseed Oil, Pyrolytic Oil and Diesel. Renew. Energy 2020, 148, 739–755. [Google Scholar] [CrossRef]
- Hunicz, J.; Matijošius, J.; Rimkus, A.; Kilikevičius, A.; Kordos, P.; Mikulski, M. Efficient Hydrotreated Vegetable Oil Combustion under Partially Premixed Conditions with Heavy Exhaust Gas Recirculation. Fuel 2020, 268, 117350. [Google Scholar] [CrossRef]
- Piaszyk, J. Animal Fat (Tallow) as Fuel for Stationary Internal Combustion Engines. Ph.D. Thesis, School of Mechanical Engineering, University of Birmingham, Birmingham, UK, 2012. [Google Scholar]
- Heywood, J.B. Internal Combustion Engine Fundamentals, 2nd ed.; McGraw-Hill Education: New York, NY, USA, 2018; ISBN 978-1-260-11610-6. [Google Scholar]
- Suresh, M.; Jawahar, C.P.; Richard, A. A Review on Biodiesel Production, Combustion, Performance, and Emission Characteristics of Non-Edible Oils in Variable Compression Ratio Diesel Engine Using Biodiesel and Its Blends. Renew. Sustain. Energy Rev. 2018, 92, 38–49. [Google Scholar] [CrossRef]
- Erdoğan, S.; Balki, M.K.; Aydın, S.; Sayın, C. Performance, Emission and Combustion Characteristic Assessment of Biodiesels Derived from Beef Bone Marrow in a Diesel Generator. Energy 2020, 207, 118300. [Google Scholar] [CrossRef]


















| Parameter | Value |
|---|---|
| Displacement | 1986 cm3 |
| Number of cylinders | 4 |
| Compression ratio | 19.5 |
| Piston diameter | 79.5 mm |
| Piston stroke | 95.5 mm |
| Power | 66 kW (4000 rpm) |
| Torque | 182 Nm (2000–2500 rpm) |
| Fuel injection | Direct |
| Pressure of the opening of the fuel injector | 190 bar |
| Parameter, Units | Standard, Device | Accuracy | Fuel | ||
|---|---|---|---|---|---|
| D100 | F100 | ||||
| Gross heating value, MJ/kg | LST CEN/TS 14918:2006 IKA C 5000 calorimeter | 0.13 MJ/kg | 45.3 | 39.3 | |
| Lower heating value, MJ/kg | 42.5 | 37.6 | |||
| Flash point, °C | ISO 2719:2013 FP93 5G2 Pensky-Martens analyzer | 0.03 °C | 67.1 | 120 | |
| Kinematic viscosity at 40 °C, mm2/s | ASTM D7042, Anton Paar SVM 3000/G2 Stabinger viscometer | 0.1% | 2.95 | 33.8 | |
| Density at 40 °C, kg/m3 | 0.0002 g/cm3 | 819.8 | 880.8 | ||
| Oxidative stability, min. | EN 16091, PetroOXY analyzer | 0.1% | 56.6 | 15.5 | |
| CFPP, °C | EN116; ASTMD6371, FPP 5Gs analyzer | 1 °C | −22 | 26 | |
| WSD, µm | ISO 12156-1:2006, high-frequency reciprocating rig method | 1 µm | 404 | 271 | |
| Water content, % mass | ISO 12156-1:2006, Aquamax KF Coulometric analyzer | 0.0003% | 0.004 | 0.153 | |
| Sulphur, % mass | IKA C 5000 calorimeter, muffle furnace, scales | 0.04% | Below the detection limit | ||
| Element composition | C, % | Combusting the sample, separation of combustion gases and identification of components | 0.01% | 86.23 | 77.10 |
| H, % | 0.01% | 13.67 | 11.90 | ||
| C/H ratio | 6.31 | 6.48 | |||
Publisher’s Note: MDPI stays neutral with regard to jurisdictional claims in published maps and institutional affiliations. |
© 2021 by the authors. Licensee MDPI, Basel, Switzerland. This article is an open access article distributed under the terms and conditions of the Creative Commons Attribution (CC BY) license (http://creativecommons.org/licenses/by/4.0/).
Share and Cite
Rimkus, A.; Vipartas, T.; Matijošius, J.; Stravinskas, S.; Kriaučiūnas, D. Study of Indicators of CI Engine Running on Conventional Diesel and Chicken Fat Mixtures Changing EGR. Appl. Sci. 2021, 11, 1411. https://doi.org/10.3390/app11041411
Rimkus A, Vipartas T, Matijošius J, Stravinskas S, Kriaučiūnas D. Study of Indicators of CI Engine Running on Conventional Diesel and Chicken Fat Mixtures Changing EGR. Applied Sciences. 2021; 11(4):1411. https://doi.org/10.3390/app11041411
Chicago/Turabian StyleRimkus, Alfredas, Tadas Vipartas, Jonas Matijošius, Saulius Stravinskas, and Donatas Kriaučiūnas. 2021. "Study of Indicators of CI Engine Running on Conventional Diesel and Chicken Fat Mixtures Changing EGR" Applied Sciences 11, no. 4: 1411. https://doi.org/10.3390/app11041411
APA StyleRimkus, A., Vipartas, T., Matijošius, J., Stravinskas, S., & Kriaučiūnas, D. (2021). Study of Indicators of CI Engine Running on Conventional Diesel and Chicken Fat Mixtures Changing EGR. Applied Sciences, 11(4), 1411. https://doi.org/10.3390/app11041411

