Driving Force Distribution and Control for Maneuverability and Stability of a 6WD Skid-Steering EUGV with Independent Drive Motors
Abstract
Featured Application
Abstract
1. Introduction
2. Vehicle and Wheel Dynamics Model
2.1. Vehicle System Dynamics Model
2.2. Wheel Dynamics Equation
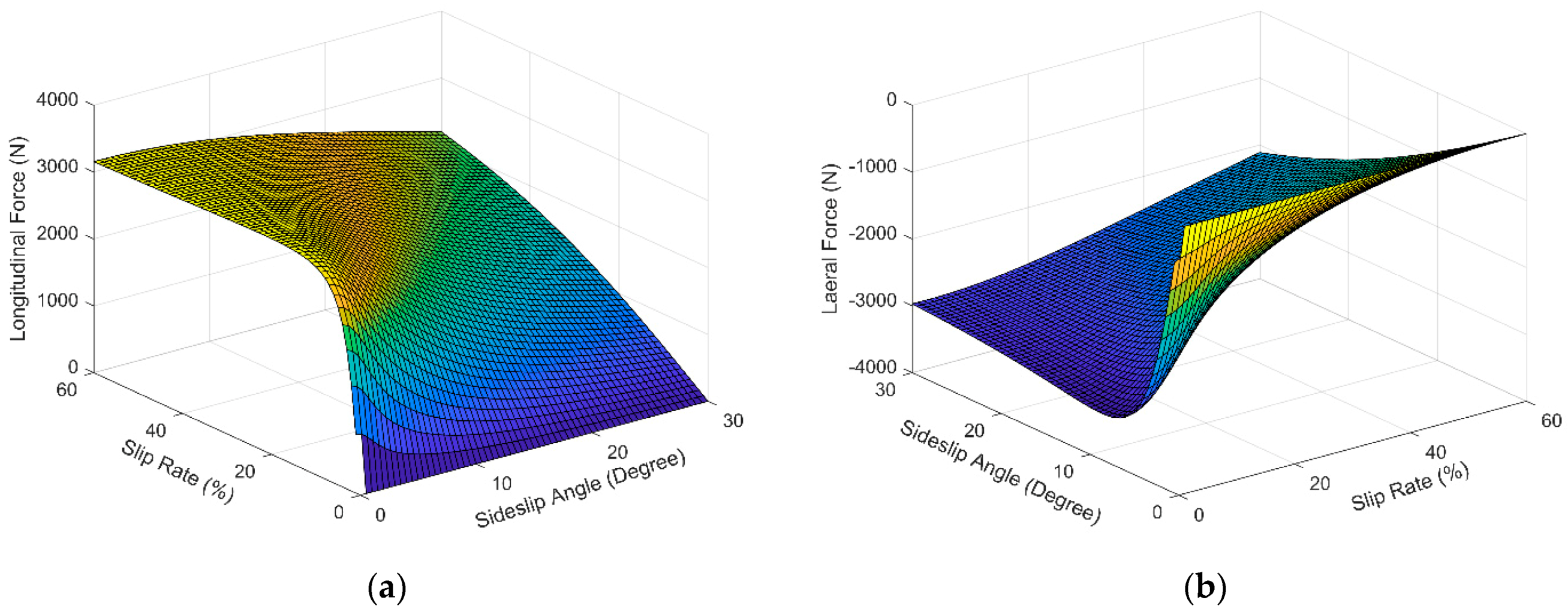
2.3. Tire Model
3. Driving Force Distribution and Control Strategy
3.1. Hierarchical Control Scheme
3.2. Upper Layer Controller for Vehicle Motion Control
3.2.1. Longitudinal Velocity Control
3.2.2. Yaw Rate Control
3.3. Lower Layer Controller for Driving Force Distribution
4. Experimental Results
4.1. Experimental Platform and Projects
4.2. Experimental Results Discussion
4.2.1. Experiments in Straight Conditions
4.2.2. Experiments in Curved Condition
5. Conclusions
Author Contributions
Funding
Data Availability Statement
Conflicts of Interest
Nomenclature
| Distance from center of gravity to the middle axle | |
| Vehicle sideslip angle | |
| Longitudinal acceleration | |
| Desired longitudinal acceleration | |
| Lateral acceleration | |
| Vehicle width | |
| Height of center of gravity | |
| Longitudinal force of the th tire ( | |
| Desired longitudinal force of the th tire ( | |
| Lateral force of the th tire ( | |
| Vertical force of the th tire ( | |
| Total longitudinal force at the center of gravity | |
| Total lateral force at the center of gravity | |
| g | Acceleration of gravity |
| Yaw moment of inertia of the vehicle | |
| Rotation moment of the wheel | |
| Distance from front axle to middle axle | |
| Distance from middle axle to rear axle | |
| Vehicle total mass | |
| Resultant moment produced by longitudinal force of tire | |
| Resultant moment produced by lateral force of tire | |
| Wheel effective radius | |
| Torque of the th wheel ( | |
| Desired torque of the th wheel ( | |
| Vehicle longitudinal velocity | |
| Desired vehicle longitudinal velocity | |
| Vehicle lateral velocity | |
| Vehicle yaw rate | |
| Desired vehicle yaw rate | |
| Longitudinal velocity of the th wheel ( | |
| Lateral velocity of the th wheel ( | |
| Rotation velocity of the th wheel ( | |
| Sideslip angle of the th tire ( | |
| Slip rate of the th tire ( | |
| Longitudinal force workload rate of the th tire ( | |
| Coefficient of friction between road and the th tire ( |
References
- Ahmed, M.; El-Gindy, M.; Lang, H.; Omar, M. Development of Active Rear Axles Steering Controller for 8X8 Combat Vehicle; SAE Technical Paper; SAE International: Warrendale, PA, USA, 2020. [Google Scholar]
- Shuai, Z.; Li, C.; Gai, J.; Han, Z.; Zeng, G.; Zhou, G. Coordinated motion and powertrain control of a series-parallel hybrid 8 x 8 vehicle with electric wheels. Mech. Syst. Sig. Process. 2019, 120, 560–583. [Google Scholar] [CrossRef]
- D’Urso, P.; El-Gindy, M. Development of control strategies of a multi-wheeled combat vehicle. Int. J. Autom. Control 2018, 12, 325–360. [Google Scholar] [CrossRef]
- Lam, A.Y.S.; Leung, Y.-W.; Chu, X. Autonomous-Vehicle Public Transportation System: Scheduling and Admission Control. IEEE Trans. Intell. Transp. Syst. 2016, 17, 1210–1226. [Google Scholar] [CrossRef]
- Kayacan, E.; Ramon, H.; Saeys, W. Robust Trajectory Tracking Error Model-Based Predictive Control for Unmanned Ground Vehicles. IEEE–ASME Trans. Mechatron. 2016, 21, 806–814. [Google Scholar] [CrossRef]
- Huang, W.; Wen, D.; Geng, J.; Zheng, N.-N. Task-Specific Performance Evaluation of UGVs: Case Studies at the IVFC. IEEE Trans. Intell. Transp. Syst. 2014, 15, 1969–1979. [Google Scholar] [CrossRef]
- Wu, X.; Hu, X.; Moura, S.; Yin, X.; Pickert, V. Stochastic control of smart home energy management with plug-in electric vehicle battery energy storage and photovoltaic array. J. Power Sources 2016, 333, 203–212. [Google Scholar] [CrossRef]
- Boulon, L.; Hissel, D.; Bouscayrol, A.; Pape, O.; Pera, M.-C. Simulation Model of a Military HEV with a Highly Redundant Architecture. IEEE Trans. Veh. Technol. 2010, 59, 2654–2663. [Google Scholar] [CrossRef]
- Li, Z.; Zheng, L.; Gao, W.; Zhan, Z. Electromechanical Coupling Mechanism and Control Strategy for In-Wheel-Motor-Driven Electric Vehicles. IEEE Trans. Ind. Electron. 2019, 66, 4524–4533. [Google Scholar] [CrossRef]
- De Carvalho Pinheiro, H.; Ferraris, A.; Galanzino, E.; Sisca, L.; Carello, M.; Airale, A.; Messana, A. All-Wheel Drive Electric Vehicle Modeling and Performance Optimization; SAE Technical Paper 2019-36-0197; SAE International: Warrendale, PA, USA, 2020. [Google Scholar] [CrossRef]
- Asiabar, A.N.; Kazemi, R. A direct yaw moment controller for a four in-wheel motor drive electric vehicle using adaptive sliding mode control. Proc. Inst. Mech. Eng. Part K J. Multi-Body Dyn. 2019, 233, 549–567. [Google Scholar] [CrossRef]
- Carvalho Pinheiro, H.; Messana, A.; Sisca, L.; Ferraris, A.; Airale, A.G.; Carello, M. Torque Vectoring in Electric Vehicles with In-wheel Motors. In Advances in Mechanism and Machine Science; Springer: Cham, Germany, 2019; Volume 73, pp. 3127–3136. [Google Scholar] [CrossRef]
- Huang, X.Y.; Zhang, H.; Zhang, G.G.; Wang, J.M. Robust Weighted Gain-Scheduling H-infinity Vehicle Lateral Motion Control With Considerations of Steering System Backlash-Type Hysteresis. IEEE Trans. Control Syst. Technol. 2014, 22, 1740–1753. [Google Scholar] [CrossRef]
- Zhao, H.Y.; Chen, W.X.; Zhao, J.Y.; Zhang, Y.L.; Chen, H. Modular Integrated Longitudinal, Lateral, and Vertical Vehicle Stability Control for Distributed Electric Vehicles. IEEE Trans. Veh. Technol. 2019, 68, 1327–1338. [Google Scholar] [CrossRef]
- Song, Y.T.; Shu, H.Y.; Chen, X.B.; Luo, S. Direct-yaw-moment control of four-wheel-drive electrical vehicle based on lateral tyre-road forces and sideslip angle observer. IET Intel. Transp. Syst. 2019, 13, 303–312. [Google Scholar] [CrossRef]
- Kang, J.; Yoo, J.; Yi, K. Driving Control Algorithm for Maneuverability, Lateral Stability, and Rollover Prevention of 4WD Electric Vehicles with Independently Driven Front and Rear Wheels. IEEE Trans. Veh. Technol. 2011, 60, 2987–3001. [Google Scholar] [CrossRef]
- Xiong, L.; Yu, Z.; Wang, Y.; Yang, C.; Meng, Y. Vehicle dynamics control of four in-wheel motor drive electric vehicle using gain scheduling based on tyre cornering stiffness estimation. Veh. Syst. Dyn. 2012, 50, 831–846. [Google Scholar] [CrossRef]
- Zhou, H.L.; Jia, F.J.; Jing, H.H.; Liu, Z.Y.; Guvenc, L. Coordinated Longitudinal and Lateral Motion Control for Four Wheel Independent Motor-Drive Electric Vehicle. IEEE Trans. Veh. Technol. 2018, 67, 3782–3790. [Google Scholar] [CrossRef]
- Nahidi, A.; Kasaiezadeh, A.; Khosravani, S.; Khajepour, A.; Chen, S.-K.; Litkouhi, B. Modular integrated longitudinal and lateral vehicle stability control for electric vehicles. Mechatronics 2017, 44, 60–70. [Google Scholar] [CrossRef]
- Zhai, L.; Sun, T.M.; Wang, J. Electronic Stability Control Based on Motor Driving and Braking Torque Distribution for a Four In-Wheel Motor Drive Electric Vehicle. IEEE Trans. Veh. Technol. 2016, 65, 4726–4739. [Google Scholar] [CrossRef]
- Wang, Y.F.; Fujimoto, H.; Hara, S. Torque Distribution-Based Range Extension Control System for Longitudinal Motion of Electric Vehicles by LTI Modeling with Generalized Frequency Variable. IEEE-ASME Trans. Mechatron. 2016, 21, 443–452. [Google Scholar] [CrossRef]
- Yuan, X.B.; Wang, J.B. Torque Distribution Strategy for a Front- and Rear-Wheel-Driven Electric Vehicle. IEEE Trans. Veh. Technol. 2012, 61, 3365–3374. [Google Scholar] [CrossRef]
- Liu, M.; Huang, J.; Cao, M. Handling Stability Improvement for a Four-Axle Hybrid Electric Ground Vehicle Driven by In-Wheel Motors. IEEE Access 2018, 6, 2668–2682. [Google Scholar] [CrossRef]
- Boyd, S.; Boyd, S.P.; Vandenberghe, L. Convex Optimization; Cambridge University Press: Cambridge, UK, 2004. [Google Scholar]
- De Novellis, L.; Sorniotti, A.; Gruber, P. Wheel Torque Distribution Criteria for Electric Vehicles with Torque-Vectoring Differentials. IEEE Trans. Veh. Technol. 2014, 63, 1593–1602. [Google Scholar] [CrossRef]
- Zhao, H.Y.; Gao, B.Z.; Ren, B.T.; Chen, H.; Deng, W.W. Model predictive control allocation for stability improvement of four-wheel drive electric vehicles in critical driving condition. IET Control Theory Appl. 2015, 9, 2688–2696. [Google Scholar] [CrossRef]
- Khosravani, S.; Jalali, M.; Khajepour, A.; Kasaiezadeh, A.; Chen, S.K.; Litkouhi, B. Application of Lexicographic Optimization Method to Integrated Vehicle Control Systems. IEEE Trans. Ind. Electron. 2018, 65, 9677–9686. [Google Scholar] [CrossRef]
- Leng, B.; Xiong, L.; Yu, Z.P.; Zou, T. Allocation control algorithms design and comparison based on distributed drive electric vehicles. Int. J. Automot. Technol. 2018, 19, 55–62. [Google Scholar] [CrossRef]
- Xiong, L.; Teng, G.W.; Yu, Z.P.; Zhang, W.X.; Feng, Y. Novel Stability Control Strategy for Distributed Drive Electric Vehicle Based on Driver Operation Intention. Int. J. Automot. Technol. 2016, 17, 651–663. [Google Scholar] [CrossRef]
- Kim, W.; Yi, K.; Lee, J. An optimal traction, braking, and steering coordination strategy for stability and manoeuvrability of a six-wheel drive and six-wheel steer vehicle. Proc. Inst. Mech. Eng. Part D J. Automob. Eng. 2012, 226, 3–22. [Google Scholar] [CrossRef]
- Kim, C.; Ashfaq, A.M.; Kim, S.; Back, S.; Kim, Y.; Hwang, S.; Jang, J.; Han, C. Motion Control of a 6WD/6WS Wheeled Platform with In-wheel Motors to Improve Its Maneuverability. Int. J. Control Autom. Syst. 2015, 13, 434–442. [Google Scholar] [CrossRef]
- Zhao, Y.; Zhang, C.N. Electronic Stability Control for Improving Stability for an Eight In-Wheel Motor-Independent Drive Electric Vehicle. Shock Vib. 2019, 1–21. [Google Scholar] [CrossRef]
- Kim, W.; Yi, K.; Lee, J. Drive control algorithm for an independent 8 in-wheel motor drive vehicle. J. Mech. Sci. Technol. 2011, 25, 1573–1581. [Google Scholar] [CrossRef]
- Pacejka, H. Tire and Vehicle Dynamics; Elsevier: Amsterdam, The Netherlands, 2005. [Google Scholar]
- Cordeiro, R.A.; Victorino, A.C.; Azinheira, J.R.; Ferreira, P.A.V.; de Paiva, E.C.; Bueno, S.S. Estimation of Vertical, Lateral, and Longitudinal Tire Forces in Four-Wheel Vehicles Using a Delayed Interconnected Cascade-Observer Structure. IEEE/ASME Trans. Mechatron. 2019, 24, 561–571. [Google Scholar] [CrossRef]



















| Symbol | Parameters | Value and Units |
|---|---|---|
| Vehicle total mass | 2020 kg | |
| Yaw moment of inertia of the vehicle | 1897 N·m | |
| Distance from center of gravity to the middle axle | 0.2 m | |
| Vehicle width | 2.2 m | |
| Height of center of gravity | 0.68 m | |
| Distance from the front axle to the middle axle | 1.2 m | |
| Distance from the middle axle to the rear axle | 1.206 m | |
| Rotation moment of the wheel | 0.85 kg·m2 | |
| Wheel effective radius | 0.308 m |
| Title 1 | MAE | RMSE | SD |
|---|---|---|---|
| -Ref2 | 0.0433 | 0.0471 | 0.0294 |
| -Proposed | 0.0286 | 0.0341 | 0.0237 |
| -Ref2 | 0.4688 | 0.0418 | 0.4922 |
| -Proposed | 0.2133 | 0.0417 | 0.2509 |
Publisher’s Note: MDPI stays neutral with regard to jurisdictional claims in published maps and institutional affiliations. |
© 2021 by the authors. Licensee MDPI, Basel, Switzerland. This article is an open access article distributed under the terms and conditions of the Creative Commons Attribution (CC BY) license (http://creativecommons.org/licenses/by/4.0/).
Share and Cite
Zhang, H.; Liang, H.; Tao, X.; Ding, Y.; Yu, B.; Bai, R. Driving Force Distribution and Control for Maneuverability and Stability of a 6WD Skid-Steering EUGV with Independent Drive Motors. Appl. Sci. 2021, 11, 961. https://doi.org/10.3390/app11030961
Zhang H, Liang H, Tao X, Ding Y, Yu B, Bai R. Driving Force Distribution and Control for Maneuverability and Stability of a 6WD Skid-Steering EUGV with Independent Drive Motors. Applied Sciences. 2021; 11(3):961. https://doi.org/10.3390/app11030961
Chicago/Turabian StyleZhang, Hui, Huawei Liang, Xiang Tao, Yi Ding, Biao Yu, and Rengui Bai. 2021. "Driving Force Distribution and Control for Maneuverability and Stability of a 6WD Skid-Steering EUGV with Independent Drive Motors" Applied Sciences 11, no. 3: 961. https://doi.org/10.3390/app11030961
APA StyleZhang, H., Liang, H., Tao, X., Ding, Y., Yu, B., & Bai, R. (2021). Driving Force Distribution and Control for Maneuverability and Stability of a 6WD Skid-Steering EUGV with Independent Drive Motors. Applied Sciences, 11(3), 961. https://doi.org/10.3390/app11030961

