Nondestructive Evaluation of Aluminium Foam Panels Subjected to Impact Loading
Abstract
Featured Application
Abstract
1. Introduction
2. Materials and Methods
2.1. Materials
- Type I: AF panels without external skins and with a 20 mm thickness;
- Type II: AF panels without external skins and with a 34 mm thickness;
- Type III: AFS panels with aluminium skins and with a 22 mm total thickness;
- Type IV: AFS panels with aluminium skins and with a 36 mm total thickness;
- Type V: AFS panels with GFRP skins and with a 38 mm total thickness;
- Type VI: double-layer AFS panels with aluminium skins and with a 44 mm total thickness.
2.2. Low-Velocity Impact Tests
2.3. Nondestructive Inspection
3. Results and Discussion
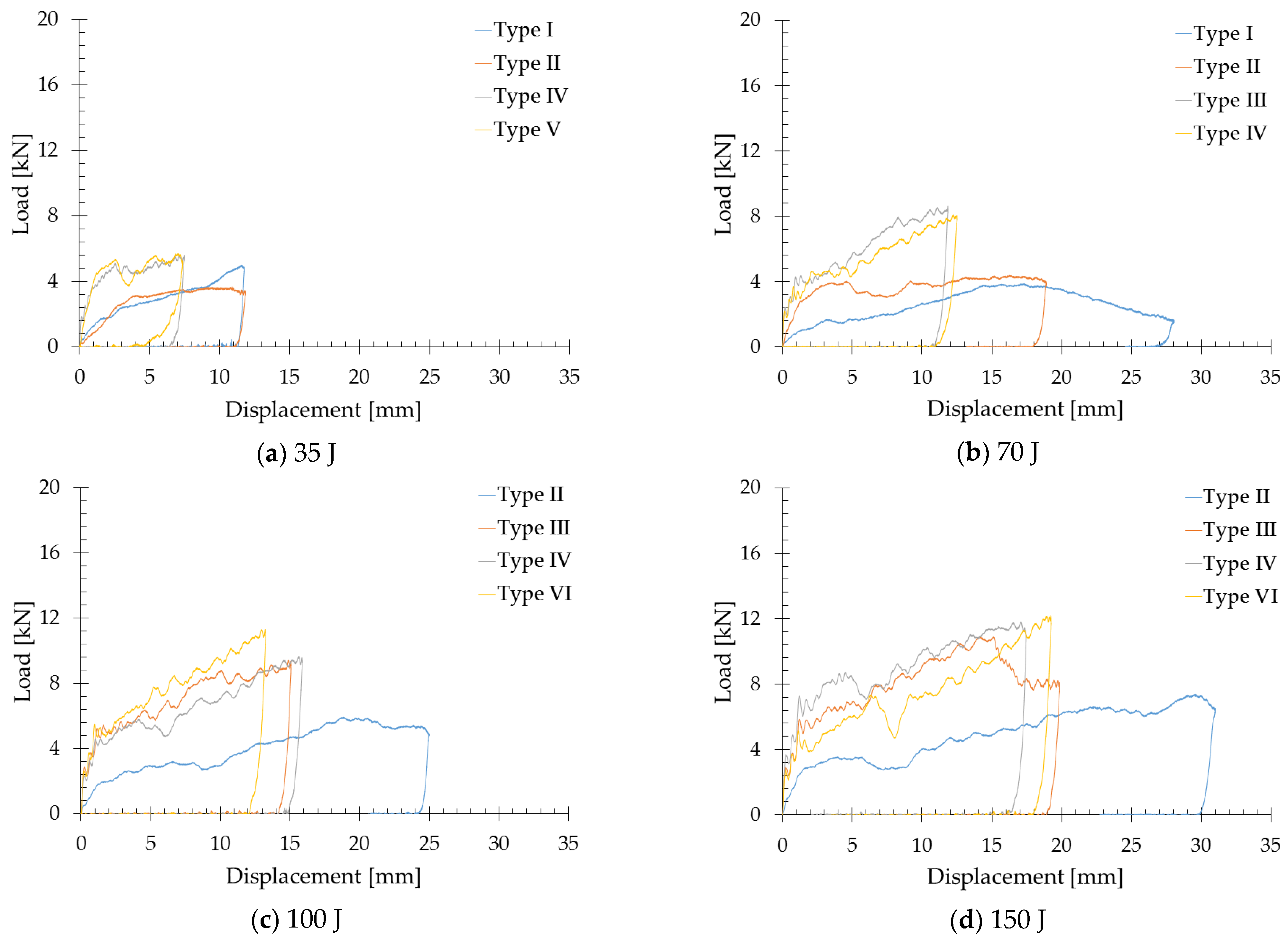
3.1. Low-Velocity Impact Tests
3.2. Repeated Impact Tests
3.3. Nondestructive Evaluation
4. Conclusions
- The response of different types of AFS panels with skins was similar at the same impact energy, while the AF panels without skins had a different impact behaviour with lower values of FMAX and higher values of w and SAE;
- AFS panels highlighted similar values of maximum SAE compared to AHS panels with 3 mm cell diameter;
- The maximum SAE showed a linear trend with respect to the total thickness of the panels;
- The LVI behaviours of AFS panels under repeated impacts were similar to that observed for the AHS panels. The unloading stiffness after an impact was almost equal to the loading stiffness of the next impact. As the impact number increased, the FMAX and the loading stiffness increased, while the increment of the displacement decreased;
- Ten repeated impact tests at the impact energy equal to 35 J on the same panel produced lower values of FMAX and w with respect to the single impact test at 350 J;
- UPA represented an effective technique for damage detection in AFS panels with aluminium skins, while DR was able to detect foam densification and skin fracture due to the impact event. Both techniques can be applied, with some limitations, for damage detection of real foam-based structures;
- The results of this comprehensive experimental investigation are useful for determining impact performance and optimization design of lightweight AF and AFS panels used in various engineering applications.
Author Contributions
Funding
Conflicts of Interest
Nomenclature
| AF | Aluminium Foam |
| AFS | Aluminium Foam Sandwich |
| AHS | Aluminium Honeycomb Sandwich |
| a(t) | Acceleration (m/s2) |
| c-hi | Clamped hemispherical indenter |
| D | Flexural stiffness (N·mm) |
| DR | Digital Radiography |
| E | Young’s modulus (MPa) |
| Ea | Absorbed energy during impact event (J) |
| Ei | Impact energy (J) |
| F(t) | Force (N) |
| FMAX | Impact peak crush force (N) |
| GFRP | Glass fibre-reinforced polymer |
| LVI | Low-velocity impact |
| M | Impactor mass (kg) |
| MFS | Metallic Foam Shell |
| NDE | Non-Destructive Evaluation |
| P | Impactor weight (kg m/s2) |
| SAE | Specific Absorbed Energy (J m3/kg) |
| SAEw | Weight Specific Absorbed Energy (J/kg) |
| ss-ci | Simply supported conical indenter |
| ss-hi | Simply supported hemispherical indenter |
| t | Time (s) |
| tcore | Core thickness (mm) |
| tskin | Skin thickness (mm) |
| ttot | Total thickness (mm) |
| UPA | Ultrasonic phased array |
| v0 | Initial velocity (m/s) |
| w | Depth (mm) |
| εmax | Maximum strain (%) |
| ρ | Specimen density (kg/m3) |
| ρcore | Core density (kg/m3) |
| σu | Ultimate stress (MPa) |
References
- Abrate, S. Impact on Composite Structures; Cambridge University Press: Cambridge, UK, 1998; ISBN 9780521473897. [Google Scholar]
- Sutherland, L.S. A review of impact testing on marine composite materials: Part I—Marine impacts on marine composites. Compos. Struct. 2018, 188, 197–208. [Google Scholar] [CrossRef]
- Akil Hazizan, M.; Cantwell, W.J. The low velocity impact response of an aluminium honeycomb sandwich structure. Compos. Part B Eng. 2003, 34, 679–687. [Google Scholar] [CrossRef]
- Foo, C.C.; Seah, L.K.; Chai, G.B. Low-velocity impact failure of aluminium honeycomb sandwich panels. Compos. Struct. 2008, 85, 20–28. [Google Scholar] [CrossRef]
- Crupi, V.; Kara, E.; Epasto, G.; Guglielmino, E.; Aykul, H. Theoretical and experimental analysis for the impact response of glass fibre reinforced aluminium honeycomb sandwiches. J. Sandw. Struct. Mater. 2018, 20, 42–69. [Google Scholar] [CrossRef]
- Yu, J.L.; Wang, E.; Li, J.; Zheng, Z. Static and low-velocity impact behavior of sandwich beams with closed-cell aluminum-foam core in three-point bending. Int. J. Impact Eng. 2008, 35, 885–894. [Google Scholar] [CrossRef]
- Huo, X.; Liu, H.; Luo, Q.; Sun, G.; Li, Q. On low-velocity impact response of foam-core sandwich panels. Int. J. Mech. Sci. 2020, 181, 105681. [Google Scholar] [CrossRef]
- Rajaneesh, A.; Sridhar, I.; Rajendran, S. Relative performance of metal and polymeric foam sandwich plates under low velocity impact. Int. J. Impact Eng. 2014, 65, 126–136. [Google Scholar] [CrossRef]
- Linul, E.; Marsavina, L.; Kováčik, J. Collapse mechanisms of metal foam matrix composites under static and dynamic loading conditions. Mater. Sci. Eng. A 2017, 690, 214–224. [Google Scholar] [CrossRef]
- Palomba, G.; Epasto, G.; Crupi, V.; Guglielmino, E. Single and double-layer honeycomb sandwich panels under impact loading. Int. J. Impact Eng. 2018, 121, 77–90. [Google Scholar] [CrossRef]
- Mozafari, H.; Khatami, S.; Molatefi, H. Out of plane crushing and local stiffness determination of proposed foam filled sandwich panel for Korean Tilting Train eXpress—Numerical study. Mater. Des. 2015, 66, 400–411. [Google Scholar] [CrossRef]
- Sakly, A.; Laksimi, A.; Kebir, H.; Benmedakhen, S. Experimental and modelling study of low velocity impacts on composite sandwich structures for railway applications. Eng. Fail. Anal. 2016, 68, 22–31. [Google Scholar] [CrossRef]
- Epasto, G.; Distefano, F.; Gu, L.; Mozafari, H.; Linul, E. Design and optimization of Metallic Foam Shell protective device against flying ballast impact damage in railway axles. Mater. Des. 2020, 196, 109120. [Google Scholar] [CrossRef]
- Han, Z.; Li, C.; Deng, Y.; Liu, J. The analysis of anti-collision performance of the fender with offshore wind turbine tripod impacted by ship and the coefficient of restitution. Ocean Eng. 2019, 194, 106614. [Google Scholar] [CrossRef]
- Kaczyński, P.; Ptak, M.; Gawdzińska, K. Energy absorption of cast metal and composite foams tested in extremely low and high-temperatures. Mater. Des. 2020, 196, 109114. [Google Scholar] [CrossRef]
- Filetin, T.; Marić, G.; Kramer, I. Metal Foams in Shipbuilding. Brodogradnja 2005, 56, 228–237. [Google Scholar]
- D’Amore, G.K.O.; Mauro, F.; Marinò, A.; Caniato, M.; Kašpar, J. Towards the use of novel materials in shipbuilding: Assessing thermal performances of fire-doors by self-consistent numerical modelling. Appl. Sci. 2020, 10, 5736. [Google Scholar] [CrossRef]
- Zhang, Y.; Li, Y.; Guo, K.; Zhu, L. Dynamic mechanical behaviour and energy absorption of aluminium honeycomb sandwich panels under repeated impact loads. Ocean Eng. 2020, 108344. [Google Scholar] [CrossRef]
- He, X.; Soares, C.G. Experimental study on the dynamic behavior of beams under repeated impacts. Int. J. Impact Eng. 2021, 147, 103724. [Google Scholar] [CrossRef]
- Zhu, L.; Guo, K.; Li, Y.; Yu, T.X.; Zhou, Q. Experimental study on the dynamic behaviour of aluminium foam sandwich plates under single and repeated impacts at low temperature. Int. J. Impact Eng. 2018, 114, 123–132. [Google Scholar] [CrossRef]
- Guo, K.; Zhu, L.; Li, Y.; Yu, T.X.; Shenoi, A.; Zhou, Q. Experimental investigation on the dynamic behaviour of aluminum foam sandwich plate under repeated impacts. Compos. Struct. 2018, 200, 298–305. [Google Scholar] [CrossRef]
- Taheri, H.; Hassen, A.A. Nondestructive Ultrasonic Inspection of Composite Materials: A Comparative Advantage of Phased Array Ultrasonic. Appl. Sci. 2019, 9, 1628. [Google Scholar] [CrossRef]
- Wang, Z.; Xiao, Z.; Li, Y.; Jiang, Y. An Omnidirectional Near-Field Comprehensive Damage Detection Method for Composite Structures. Appl. Sci. 2019, 9, 567. [Google Scholar] [CrossRef]
- Corigliano, P.; Crupi, V.; Epasto, G.; Guglielmino, E.; Maugeri, N.; Marinò, A. Experimental and theoretical analyses of Iroko wood laminates. Compos. Part B Eng. 2017, 112, 251–264. [Google Scholar] [CrossRef]
- Boccardi, S.; Boffa, N.D.; Carlomagno, G.M.; Del Core, G.; Meola, C.; Monaco, E.; Russo, P.; Simeoli, G. Lock-In Thermography and Ultrasonic Testing of Impacted Basalt Fibers Reinforced Thermoplastic Matrix Composites. Appl. Sci. 2019, 9, 3025. [Google Scholar] [CrossRef]
- Meola, C.; Boccardi, S.; Carlomagno, G.M.; Boffa, N.D.; Monaco, E.; Ricci, F. Nondestructive evaluation of carbon fibre reinforced composites with infrared thermography and ultrasonics. Compos. Struct. 2015, 134, 845–853. [Google Scholar] [CrossRef]
- Samal, S.; Kolinova, M.; Rahier, H.; Dal Poggetto, G.; Blanco, I. Investigation of the Internal structure of fiber reinforced geopolymer composite under mechanical impact: A micro computed tomography (µCT) study. Appl. Sci. 2019, 9, 516. [Google Scholar] [CrossRef]
- Palomba, G.; Crupi, V.; Epasto, G. Collapse modes of aluminium honeycomb sandwich structures under fatigue bending loading. Thin Walled Struct. 2019, 145, 106363. [Google Scholar] [CrossRef]
- Militello, C.; Bongiorno, F.; Epasto, G.; Zuccarello, B. Low-velocity impact behaviour of green epoxy biocomposite laminates reinforced by sisal fibers. Compos. Struct. 2020, 253, 112744. [Google Scholar] [CrossRef]
- Eva, Z.; Kamila, H.; Tereza, K.; Patrik, S.; Jiří, Š.; Ondřej, A. NDT methods suitable for evaluation the condition of military fortification construction in the field. Appl. Sci. 2020, 10, 8161. [Google Scholar] [CrossRef]
- Hou, W.; Zhang, D.; Wei, Y.; Guo, J.; Zhang, X. Review on computer aided weld defect detection from radiography images. Appl. Sci. 2020, 10, 1878. [Google Scholar] [CrossRef]
- Zhang, J.; Guo, Z.; Jiao, T.; Wang, M. Defect detection of aluminum alloy wheels in radiography images using adaptive threshold and morphological reconstruction. Appl. Sci. 2018, 8, 2365. [Google Scholar] [CrossRef]
- Kováčik, J.; Marsavina, L.; Linul, E. Poisson’s ratio of closed-cell aluminium foams. Materials 2018, 11, 1904. [Google Scholar] [CrossRef] [PubMed]
- Rajak, D.; Pagar, D.; Menezes, P.; Linul, E. Fiber-reinforced polymer composites: Manufacturing, properties, and applications. Polymers 2019, 11, 1667. [Google Scholar] [CrossRef] [PubMed]

















| Specimen | Type | Ei [J] | ρcore [kg/m3] | ttot [mm] | Skins | w [mm] | FMAX [N] | SAEw [J/kg] | SAE [J·m3/kg] |
|---|---|---|---|---|---|---|---|---|---|
| 1 | I | 35 | 642 | 20 | no | 12 | 5.01 × 103 | 723 | 0.053 |
| 2 | II | 35 | 453 | 34 | no | 12 | 3.70 × 103 | 603 | 0.073 |
| 3 | IV | 35 | 430 | 36 | Al | 7 | 5.62 × 103 | 446 | 0.057 |
| 4 | V | 35 | 468 | 38 | GFRP | 7 | 5.71 × 103 | 392 | 0.054 |
| 5 | I | 70 | 477 | 20 | no | 28 | 3.88 × 103 | 2025 | 0.147 |
| 6 | II | 70 | 563 | 34 | no | 19 | 4.40 × 103 | 985 | 0.121 |
| 7 | III | 70 | 483 | 22 | Al | 12 | 8.62 × 103 | 1279 | 0.100 |
| 8 | IV | 70 | 548 | 36 | Al | 13 | 8.08 × 103 | 758 | 0.098 |
| 9 | III | 85 | 422 | 22 | Al | 15 | 7.81 × 103 | 1757 | 0.137 |
| 10 | II | 100 | 556 | 34 | no | 25 | 5.95 × 103 | 1411 | 0.176 |
| 11 | III | 100 | 476 | 22 | Al | 15 | 9.42 × 103 | 1936 | 0.152 |
| 12 | IV | 100 | 525 | 36 | Al | 16 | 9.65 × 103 | 1206 | 0.155 |
| 13 | VI | 100 | 505/508 | 44 | Al | 13 | 1.13 × 104 | 885 | 0.140 |
| 14 | IV | 125 | 536 | 36 | Al | 15 | 1.12 × 104 | 1414 | 0.191 |
| 15 | II | 150 | 583 | 34 | no | 31 | 7.39 × 103 | 2049 | 0.256 |
| 16 | III | 150 | 531 | 22 | Al | 20 | 1.09 × 104 | 2712 | 0.214 |
| 17 | IV | 150 | 549 | 36 | Al | 17 | 1.18×104 | 1737 | 0.230 |
| 18 | VI | 150 | 425/428 | 44 | Al | 19 | 1.22 × 104 | 1411 | 0.217 |
| 19 | III | 200 | 421 | 22 | Al | 27 | 1.07 × 104 | 4065 | 0.313 |
| 20 | IV | 200 | 519 | 36 | Al | 22 | 1.25 × 104 | 2386 | 0.31 |
| 21 | VI | 200 | 455/457 | 44 | Al | 23 | 1.72 × 104 | 2042 | 0.313 |
| 22 | VI | 250 | 437/439 | 44 | Al | 27 | 1.73 × 104 | 2363 | 0.372 |
| 23 | IV | 300 | 504 | 36 | Al | 29 | 1.33 × 104 | 3398 | 0.434 |
| 24 | VI | 300 | 408/409 | 44 | Al | 29 | 1.88 × 104 | 2774 | 0.432 |
| 25 | IV | 350 | 590 | 36 | Al | 31 | 1.52 × 104 | 3393 | 0.449 |
| 26 | VI | 350 | 395/545 | 44 | Al | 27 | 2.40 × 104 | 2956 | 0.461 |
| 27 | IV | 400 | 616 | 36 | Al | 35 | 1.59 × 104 | 3829 | 0.508 |
| 28 | VI | 400 | 400/403 | 44 | Al | 33 | 2.63 × 104 | 3746 | 0.592 |
| Sandwich Structures | Test Conditions | ρcore [kg/m3] | ttot [mm] | Maximum SAE [J m3/kg] |
|---|---|---|---|---|
| AFS Alulight with bonded skins | c-hi 1 | 906 | 11 | 0.140 |
| AFS Schunk with integral skins | c-hi | 674 | 11 | 0.131 |
| GFRP-AFS Alulight | c-hi | 1066 | 17.5 | 0.211 |
| GFRP-AFS Schunk | c-hi | 1032 | 17.5 | 0.218 |
| AHS d3 (cell diameter d = 3 mm) | c-hi | 674 | 11 | 0.131 |
| AHS d6 (cell diameter d = 6 mm) | c-hi | 639 | 11 | 0.138 |
| GFRP-AHS d3 | c-hi | 926 | 17.5 | 0.243 |
| GFRP-AHS d6 | c-hi | 910 | 17.5 | 0.313 |
| AHS d3 | ss-hi 2 | 130 | 11 | 0.126 |
| AHS d6 | ss-hi | 80 | 11 | 0.140 |
| AHS d3 double-layer | ss-hi | 130 | 22 | 0.312 |
| AHS d6 double-layer | ss-hi | 80 | 22 | 0.328 |
| AHS double-layer (d3 up layer and d6 bottom layer) | ss-hi | 130/80 | 22 | 0.288 |
| AHS double-layer (d6 up layer and d3 bottom layer) | ss-hi | 80/130 | 22 | 0.289 |
| 7L-TCAS 0°/0° | c-hi | 370 | 70 | 0.811 |
| 7L-TCAS 0°/90° | c-hi | 370 | 70 | 0.797 |
| GFRP-BCC | c-hi | 825 | 9.5 | 0.098 |
| AF (Type I) | ss-ci 3 | 477 | 20 | 0.147 |
| AF (Type II) | ss-ci | 583 | 34 | 0.256 |
| AFS with bonded skin (Type III) | ss-ci | 421 | 22 | 0.313 |
| AFS with bonded skin (Type IV) | ss-ci | 616 | 36 | 0.508 |
| Impact Number | Load [N] | Load Variation [%] | Depth [mm] | Depth Variation [%] |
|---|---|---|---|---|
| 1st | 5.93 × 103 | - | 7.37 | - |
| 2nd | 7.98 × 103 | +34.52 | 5.68 | −22.86 |
| 3rd | 9.40 × 103 | +17.74 | 5.36 | −5.62 |
| 4th | 1.08 × 104 | +14.57 | 3.74 | −30.31 |
| 5th | 1.11 × 104 | +3.53 | 3.84 | +2.65 |
| 6th | 1.19 × 104 | +6.56 | 3.29 | −14.31 |
| 7th | 1.09 × 104 | −8.62 | 3.84 | +16.73 |
| 8th | 1.04 × 104 | −4.31 | 4.41 | +14.96 |
| 9th | 1.05 × 104 | +1.01 | 4.48 | +1.52 |
| 10th | 1.01 × 104 | −3.68 | 4.26 | −4.78 |
| Test Type | FMAX [N] | w [mm] |
|---|---|---|
| Repeated impact tests | 1.19 × 104 | 36.45 |
| Single impact test at 350 J | 1.52 × 104 | 30.57 |
| Variation [%] | +27.73 | −16.13 |
Publisher’s Note: MDPI stays neutral with regard to jurisdictional claims in published maps and institutional affiliations. |
© 2021 by the authors. Licensee MDPI, Basel, Switzerland. This article is an open access article distributed under the terms and conditions of the Creative Commons Attribution (CC BY) license (http://creativecommons.org/licenses/by/4.0/).
Share and Cite
Epasto, G.; Distefano, F.; Mozafari, H.; Linul, E.; Crupi, V. Nondestructive Evaluation of Aluminium Foam Panels Subjected to Impact Loading. Appl. Sci. 2021, 11, 1148. https://doi.org/10.3390/app11031148
Epasto G, Distefano F, Mozafari H, Linul E, Crupi V. Nondestructive Evaluation of Aluminium Foam Panels Subjected to Impact Loading. Applied Sciences. 2021; 11(3):1148. https://doi.org/10.3390/app11031148
Chicago/Turabian StyleEpasto, Gabriella, Fabio Distefano, Hozhabr Mozafari, Emanoil Linul, and Vincenzo Crupi. 2021. "Nondestructive Evaluation of Aluminium Foam Panels Subjected to Impact Loading" Applied Sciences 11, no. 3: 1148. https://doi.org/10.3390/app11031148
APA StyleEpasto, G., Distefano, F., Mozafari, H., Linul, E., & Crupi, V. (2021). Nondestructive Evaluation of Aluminium Foam Panels Subjected to Impact Loading. Applied Sciences, 11(3), 1148. https://doi.org/10.3390/app11031148

