Monolithic Si-Based AlGaN/GaN MIS-HEMTs Comparator and Its High Temperature Characteristics
Abstract
:1. Introduction
2. Circuit Simulation
3. Device Fabrication
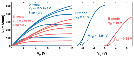
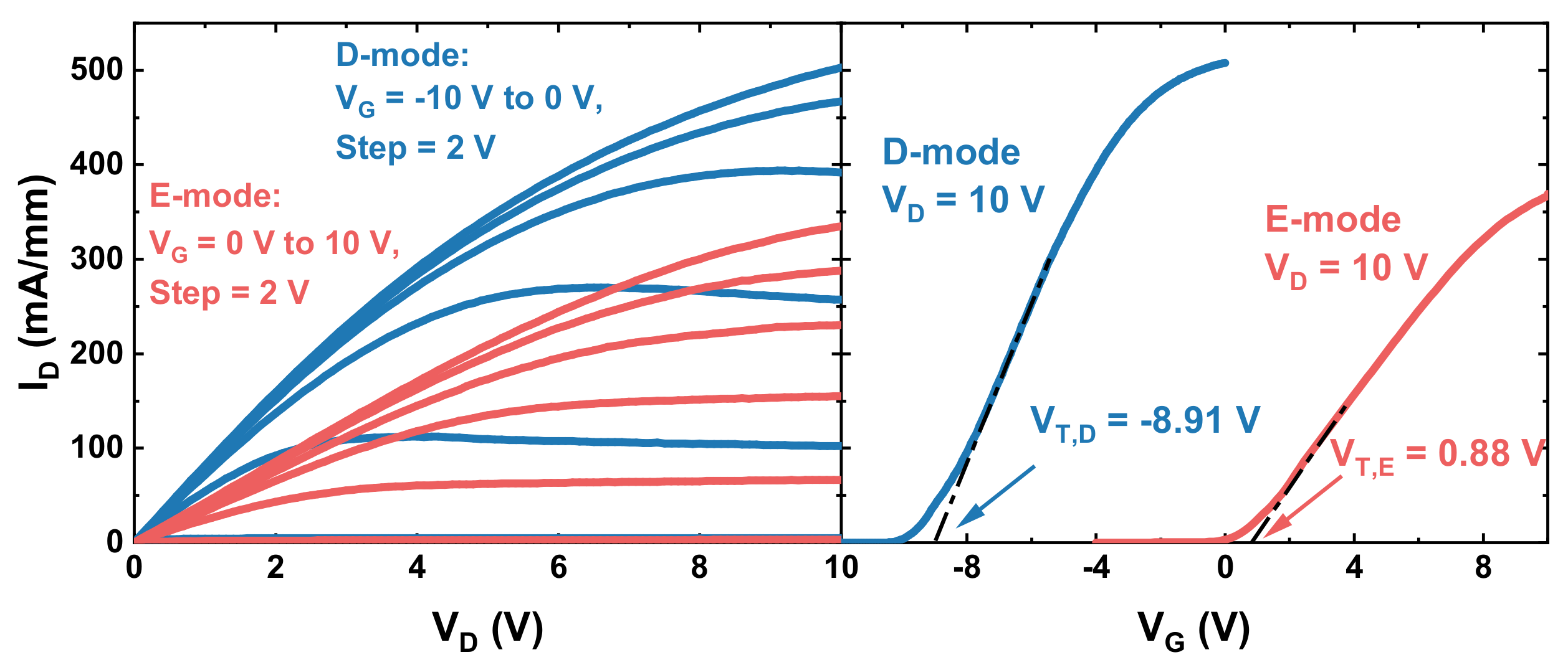
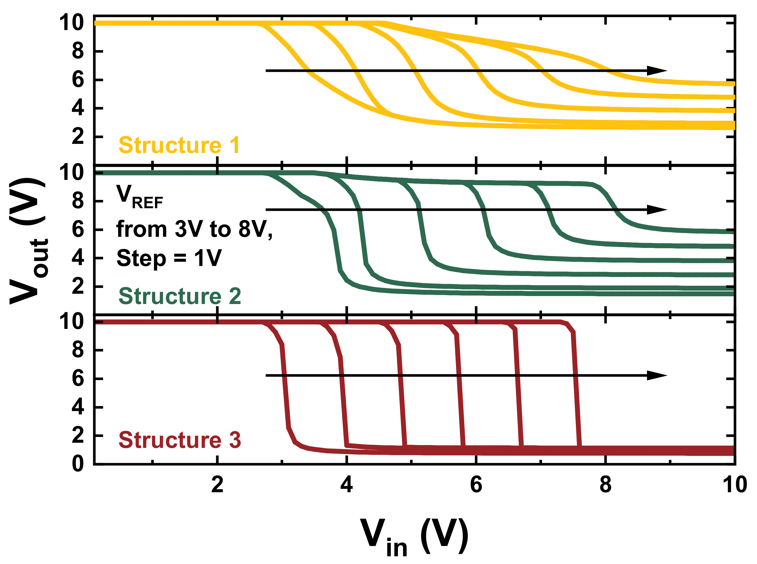
4. Results and Discussion
5. Conclusions
Author Contributions
Funding
Institutional Review Board Statement
Informed Consent Statement
Data Availability Statement
Conflicts of Interest
References
- Li, X.; Cui, M.; Liu, W. A full GaN-Integrated Sawtooth Generator based on Enhancement-mode AlGaN/GaN MIS-HEMT for GaN Power Converters. In Proceedings of the 2019 International Conference on IC Design and Technology (ICICDT), Suzhou, China, 17–19 June 2019. [Google Scholar]
- Micovic, M.; Tsen, T.; Hu, M.; Hashimoto, P.; Willadsen, P.J.; Milosavljevic, I.; Schmitz, A.; Antcliffe, M.; Zhender, D.; Moon, J.S.; et al. GaN enhancement/depletion-mode FET logic for mixed signal applications. Electron. Lett. 2005, 10, 1081–1083. [Google Scholar] [CrossRef]
- Cai, Y.; Chen, Z.; Tang, W.; Lau, K.; Chen, K.J. Monolithically Integrated Enhancement/Depletion-Mode AlGaN/GaN HEMT Inverters and Ring Oscillators Using hboxCF_4 Plasma Treatment. IEEE Trans. Electron Devices 2006, 9, 2223–2230. [Google Scholar] [CrossRef]
- Cai, Y.; Cheng, Z.; Yang, Z.; Tang, C.; Lau, K.; Chen, K.J. High-temperature operation of AlGaN/GaN HEMTs direct-coupled FET logic (DCFL) integrated circuits. IEEE Electron Device Lett. 2007, 5, 328–331. [Google Scholar] [CrossRef]
- Kong, Y.; Zhou, J.; Kong, C.; Zhang, Y.; Dong, X.; Lu, H.; Chen, T.; Yang, N. Monolithic integration of E/D-mode AlGaN/GaN MIS-HEMTs. IEEE Electron Device Lett. 2014, 3, 336–338. [Google Scholar] [CrossRef]
- Xu, Z.; Wang, J.; Cai, Y.; Liu, J.; Yang, Z.; Li, X.; Wang, M.; Yu, M.; Xie, B.; Wu, W.; et al. High temperature characteristics of GaN-based inverter integrated with enhancement-mode (E-mode) MOSFET and depletion-mode (D-mode) HEMT. IEEE Electron Device Lett. 2013, 1, 33–35. [Google Scholar] [CrossRef]
- Tang, G.; Kwan, A.M.H.; Wong, R.K.Y.; Lei, J.; Su, R.Y.; Yao, F.W.; Lin, Y.M.; Yu, J.L.; Tsai, T.; Tuan, H.C.; et al. Digital integrated circuits on an E-mode GaN power HEMT platform. IEEE Electron Device Lett. 2017, 9, 1282–1285. [Google Scholar] [CrossRef]
- Zhu, M.; Matioli, E. Monolithic integration of GaN-based NMOS digital logic gate circuits with E-mode power GaN MOSHEMTs. In Proceedings of the 2018 IEEE 30th International Symposium on Power Semiconductor Devices and ICs (ISPSD), Chicago, IL, USA, 13–17 May 2018. [Google Scholar]
- Li, X.; Amirifar, N.; Geens, K.; Zhao, M.; Guo, W.; Liang, H.; You, S.; Posthuma, N.; de Jaeger, B.; Stoffels, S.; et al. GaN-on-SOI: Monolithically integrated all-GaN ICs for power conversion. In Proceedings of the 2019 IEEE International Electron Devices Meeting (IEDM), San Francisco, CA, USA, 7–11 December 2019. [Google Scholar]
- Larson, L.; Martin, K.; Temes, G. GaAs switched-capacitor circuits for video signal processing. In Proceedings of the 1987 IEEE International Solid-State Circuits Conference, Digest of Technical Papers, New York, NY, USA, 25–27 February 1987. [Google Scholar]
- Vold, P.J.; Arch, D.K.; Tan, K.L.; Akinwande, A.I.; Cirillo, N.C. High-performance self-aligned gate AlGaAs/GaAs MODFET voltage comparator. IEEE Electron Device Lett. 1987, 9, 431–433. [Google Scholar] [CrossRef]
- Hagelauer, R.; Oehler, F.; Rohmer, G.; Sauerer, J.; Seitzer, D. A gigasample/s 5 bit ADC with on-chip track hold based on an industrial 1 mu m GaAs MESFET E/D process. In Proceedings of the 1991 GaAs IC Symposium Technical Digest, Monterey, CA, USA, 20–23 October 2003. [Google Scholar]
- Liu, X.; Chen, K.J. GaN Single-Polarity Power Supply Bootstrapped Comparator for High-Temperature Electronics. IEEE Electron Device Lett. 2011, 1, 27–29. [Google Scholar] [CrossRef]
- Wang, H.; Ho, A.M.K.; Jiang, Q.; Chen, K.J. A GaN pulse width modulation integrated circuit. In Proceedings of the 2014 IEEE 26th International Symposium on Power Semiconductor Devices and ICs (ISPSD), Waikoloa, HI, USA, 15–19 June 2014. [Google Scholar]
- Wang, H.; Kwan, A.M.H.; Jiang, Q.; Chen, K.J. A GaN Pulse Width Modulation Integrated Circuit for GaN Power Converters. IEEE Trans. Electron Devices 2015, 4, 1143–1149. [Google Scholar] [CrossRef]
- Li, A.; Cui, M.; Shen, Y.; Li, Z.; Liu, W.; Mitrovic, I.Z.; Wen, H.; Zhao, C. Monolithic Comparator and Sawtooth Generator of AlGaN/GaN MIS-HEMTs With Threshold Voltage Modulation for High-Temperature Applications. IEEE Trans. Electron Devices 2021, 5, 2673–2679. [Google Scholar] [CrossRef]
- Lan, B.; Jiang, Q.; Huang, S.; Wang, X.; Wang, Y.; Li, Y.; Guo, F.; Luan, T.; Liu, Y.; Fan, J.; et al. Impact of Vth Instability on Time-Resolved Characteristics of MIS-HEMT Based GaN Power IC. IEEE Electron Device Lett. 2021, 10, 1440–1443. [Google Scholar]
- Basler, M.; Moench, S.; Reiner, R.; Waltereit, P.; Quay, R.; Kallfass, I.; Ambacher, O. A GaN-based Current Sense Amplifier for GaN HEMTs with Integrated Current Shunts. In Proceedings of the 2020 32nd International Symposium on Power Semiconductor Devices and ICs (ISPSD), Vienna, Austria, 13–18 September 2020. [Google Scholar]
- Mahalawy, M.E.; Patten, S.; Landt, D.; Ward, R.; Walker, A.; Fayed, A. An all-GaN differential driver for a 60 V GaN-based power amplifier with 1GHz switching frequency. In Proceedings of the 2015 IEEE Annual Conference on Wireless and Microwave Technology (WAMICON), Tampa, FL, USA, 6 June 2014. [Google Scholar]
- Xiao, S.; Chik, R.Y.V.; Salama, C.A.T. Improved double cascode self-bootstrapping technique for gain enhancement in GaAs MESFET opamps. Electron. Lett. 1992, 4, 1128–1129. [Google Scholar] [CrossRef]
- Lan, D.; Ning, Y.; Wang, J.; Jiang, H. High performance two-stage bootstrapped GaAs comparator with gain enhancement. In Proceedings of the 2015 IEEE 16th Annual Wireless and Microwave Technology Conference (WAMICON), Cocoa Beach, FL, USA, 13–15 April 2015. [Google Scholar]
- Li, X.; Chan, C.-H.; Zhang, Q.; Zhu, Y.; Martins, R.P. Background Offset Calibration for Comparator Based on Temperature Drift Profile. IEEE Trans. Circuits Syst. II Express Briefs 2019, 10, 1648–1652. [Google Scholar] [CrossRef]








Publisher’s Note: MDPI stays neutral with regard to jurisdictional claims in published maps and institutional affiliations. |
© 2021 by the authors. Licensee MDPI, Basel, Switzerland. This article is an open access article distributed under the terms and conditions of the Creative Commons Attribution (CC BY) license (https://creativecommons.org/licenses/by/4.0/).
Share and Cite
Li, F.; Li, A.; Zhu, Y.; Ding, C.; Wang, Y.; Wang, W.; Cui, M.; Zhao, Y.; Wen, H.; Liu, W. Monolithic Si-Based AlGaN/GaN MIS-HEMTs Comparator and Its High Temperature Characteristics. Appl. Sci. 2021, 11, 12057. https://doi.org/10.3390/app112412057
Li F, Li A, Zhu Y, Ding C, Wang Y, Wang W, Cui M, Zhao Y, Wen H, Liu W. Monolithic Si-Based AlGaN/GaN MIS-HEMTs Comparator and Its High Temperature Characteristics. Applied Sciences. 2021; 11(24):12057. https://doi.org/10.3390/app112412057
Chicago/Turabian StyleLi, Fan, Ang Li, Yuhao Zhu, Chengmurong Ding, Yubo Wang, Weisheng Wang, Miao Cui, Yinchao Zhao, Huiqing Wen, and Wen Liu. 2021. "Monolithic Si-Based AlGaN/GaN MIS-HEMTs Comparator and Its High Temperature Characteristics" Applied Sciences 11, no. 24: 12057. https://doi.org/10.3390/app112412057
APA StyleLi, F., Li, A., Zhu, Y., Ding, C., Wang, Y., Wang, W., Cui, M., Zhao, Y., Wen, H., & Liu, W. (2021). Monolithic Si-Based AlGaN/GaN MIS-HEMTs Comparator and Its High Temperature Characteristics. Applied Sciences, 11(24), 12057. https://doi.org/10.3390/app112412057

