A Numerical Analysis of the Influence of Nozzle Geometric Structure on Spontaneous Steam Condensation and Irreversibility in the Steam Ejector Nozzle
Abstract
1. Introduction
2. Mathematical Models Description
2.1. Governing Equation
2.2. Turbulence Modeling
2.3. Wet Steam Flow Transport Equation
2.3.1. Liquid Phase Mass Fraction Transport Equation
2.3.2. Nucleation Rate Equation
2.3.3. Droplet Growth Rate
2.3.4. Droplet Density Transport Equation
2.3.5. Equation of State
2.4. Entropy Generation Rate
3. Numerical Modeling
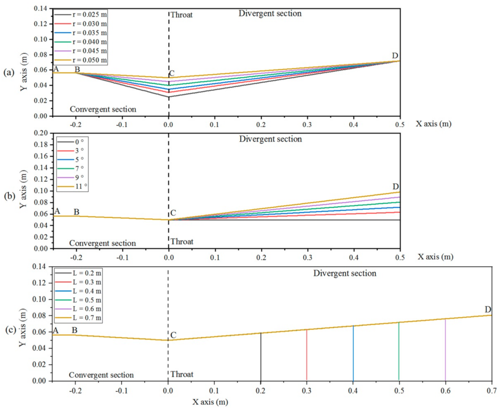
3.1. The Dimensions of the Nozzle and Numerical Solution Settings
3.2. Grid Independence and Validation of the Numerical Approach
4. Results and Discussion
4.1. The Influence of Nozzle Geometry on Internal Steam Condensation
4.1.1. Nozzle Throat Radius
4.1.2. Expansion Angle of the Nozzle’s Divergent Section
4.1.3. Length of the Nozzle’s Divergent Section
4.2. Irreversibility Analysis under Different Nozzle Geometries
4.2.1. Nozzle Throat Radius
4.2.2. Expansion Angle of the Nozzle’s Divergent Section
4.2.3. Length of the Nozzle’s Divergent Section
5. Conclusions
- The increase in the nozzle throat radius enhanced the intensity of the condensation shock and increased the mass flow rate and the pressure at the nozzle outlet. The total entropy production in the nozzle decreased from 11.73 to 10.56 W/K as the throat radius increased from 0.025 to 0.05 m. Therefore, increasing the nozzle throat radius can not only improve the nozzle’s performance, but also reduce the waste of energy. In addition, the reduction in liquid mass fraction and phase change entropy generation indicates that the spontaneous condensation behavior of wet steam can be suppressed by increasing the throat radius.
- When the expansion angle of the nozzle’s divergent section changed from 0 to 11°, the nozzle’s outlet Mach number increased, but the nozzle outlet pressure decreased and the intensity of the condensation shock was weakened. Moreover, there was an increase in the liquid mass fraction, which caused an increase in phase change entropy generation. Therefore, reducing the nozzle’s expansion angle inhibited the wet steam’s spontaneous condensation behavior, to a certain extent. In particular, the steam’s spontaneous condensation behavior disappeared at an expansion angle of 0°.
- Lengthening the nozzle’s divergent section did not change the condensation shock’s intensity and its position in the nozzle, which resulted in a complete overlap of the curves of the liquid mass fraction, saturation ratio, droplets’ nucleation rate and droplets per unit volume in the steam condensation shock region. As the divergent section’s length was increased from 0.2 to 0.7 m, the three identified types of entropy generation, total entropy production, and liquid mass fraction all increased, while the mass flow rate remained constant at 3.997 kg/s. Consequently, lengthening the nozzle’s divergent section did not improve the nozzle’s performance, but it did cause an increase in the humidity in the nozzle’s outlet and the wastage of energy.
- No matter how the nozzle’s geometric structure changed, the largest proportion of entropy generation was still accounted for by phase changes, followed by viscous dissipation and then heat transport. This indicates that steam’s condensation behavior creates a large amount of irreversible energy, resulting in energy waste and reducing the nozzle’s performance. Consequently, the spontaneous condensation behavior of wet steam should be suppressed in order to alleviate the performance deterioration that is caused by this behavior when a steam ejector is running.
Author Contributions
Funding
Institutional Review Board Statement
Informed Consent Statement
Conflicts of Interest
Nomenclature
| mixing fluid density, vapor density, and liquid phase density (kg/m3) | |
| R | gas law constant |
| T,Tv,Tl | static temperature, vapor temperature, and liquid phase temperature (K) |
| P | pressure, (Pa) |
| ui, uj, uk x, y, z | components of velocity, (m/s) |
| ij | stress tensor |
| αeff | effective thermal conductivity |
| μeff | effective viscosity |
| δij | unit tensor |
| E | total fluid energy |
| k | turbulent kinetic energy |
| specific dissipation rate | |
| dynamic viscosity, (N·s/m2) | |
| t | eddy viscosity, (N·s/m2) |
| liquid phase mass fraction | |
| mass generation rate, (kg/m3s) | |
| S | super saturation ratio |
| I | number of liquid droplets |
| droplet number density, (1/m3) | |
| average droplet radius, (m) | |
| r | droplet radius,(m) |
| r* | critical droplet radius, (m) |
| KB | Boltzmann constant |
| droplet surface tension | |
| M | molecular mass, (kg) |
| non-isothermal correction factor | |
| h | specific enthalpy |
| hlv | latent heat due to condensation |
| qc | evaporation coefficient |
| ratio of specific heats | |
| Vd | average droplet volume, (m3) |
| B, C | virial coefficients, (m3/kg, m6/kg2) |
| Cp | isobaric heat capacity, (J/(kg·K)) |
| s | specific entropy |
| Sgen | total entropy generation rate, (W·K–1m–1) |
| Sgen,μ | entropy produced by viscous dissipation, (W·K–1m–1) |
| Sgen,h | entropy produced by heat transfer, (W·K–1m–1) |
| turbulent thermal diffusivity rate |
References
- Strušnik, D.; Marčič, M.; Golob, M.; Hribernik, A.; Živić, M.; Avsec, J. Energy efficiency analysis of steam ejector and electric vacuum pump for a turbine condenser air extraction system based on supervised machine learning modelling. Appl. Energy 2016, 173, 386–405. [Google Scholar] [CrossRef]
- Thongtip, T.; Aphornratana, S. An experimental analysis of the impact of primary nozzle geometries on the ejector performance used in R141b ejector refrigerator. Appl. Therm. Eng. 2017, 110, 89–101. [Google Scholar] [CrossRef]
- Liu, J.; Wang, L.; Jia, L.; Wang, X. The influence of the area ratio on ejector efficiencies in the MED-TVC desalination system. Desalination 2017, 413, 168–175. [Google Scholar] [CrossRef]
- Brunner, D.A.; Marcks, S.; Bajpai, M.; Prasad, A.K.; Advani, S.G. Design and characterization of an electronically controlled variable flow rate ejector for fuel cell applications. Int. J. Hydrog. Energy 2012, 37, 4457–4466. [Google Scholar] [CrossRef]
- Damiani, L.; Revetria, R. New steam generation system for lead-cooled fast reactors, based on steam re-circulation through ejector. Appl. Energy 2015, 137, 292–300. [Google Scholar] [CrossRef]
- Ruangtrakoon, N.; Aphornratana, S.; Sriveerakul, T. Experimental studies of a steam jet refrigeration cycle: Effect of the primary nozzle geometries to system performance. Exp. Therm. Fluid Sci. 2011, 35, 676–683. [Google Scholar] [CrossRef]
- Ruangtrakoon, N.; Thongtip, T.; Aphornratana, S.; Sriveerakul, T. CFD simulation on the effect of primary nozzle geometries for a steam ejector in refrigeration cycle. Int. J. Therm. Sci. 2013, 63, 133–145. [Google Scholar] [CrossRef]
- Yang, X.; Long, X.; Yao, X. Numerical investigation on the mixing process in a steam ejector with different nozzle structures. Int. J. Therm. Sci. 2012, 56, 95–106. [Google Scholar] [CrossRef]
- Fu, W.; Li, Y.; Liu, Z.; Wu, H.; Wu, T. Numerical study for the influences of primary nozzle on steam ejector performance. Appl. Therm. Eng. 2016, 106, 1148–1156. [Google Scholar] [CrossRef]
- Wu, Y.; Zhao, H.; Zhang, C.; Wang, L.; Han, J. Optimization analysis of structure parameters of steam ejector based on CFD and orthogonal test. Energy 2018, 151, 79–93. [Google Scholar] [CrossRef]
- Moore, P.T.W.; Crane, R.I.; Davidson, B.J. Predicting the fog drop size in wet steam turbines. In Wet Steam 4 Conference; Institute of Mechanical Engineers (UK), University of Warwick: Coventry, UK, 1973. [Google Scholar]
- Moses, C.A.; Stein, G.D. On the Growth of Steam Droplets Formed in a Laval Nozzle Using Both Static Pressure and Light Scattering Measurements. J. Fluids Eng. 1978, 100, 311–322. [Google Scholar] [CrossRef]
- Gyarmathy, G. Nucleation of steam in high-pressure nozzle experiments. Proc. Inst. Mech. Eng. Part A J. Power Energy 2005, 219, 511–521. [Google Scholar] [CrossRef]
- Gyarmathy, G. Grundlagen einer Theorie der Nassdampfturbine; ETH: Zurich, Switzerland, 1962. [Google Scholar]
- Bakhtar, F.; Tochai, M.M. An investigation of two-dimensional flows of nucleating and wet steam by the time-marching method. Int. J. Heat Fluid Flow 1980, 2, 5–18. [Google Scholar] [CrossRef]
- Young, J.B. An Equation of State for Steam for Turbomachinery and Other Flow Calculations. J. Eng. Gas Turbines Power 1988, 110, 1–7. [Google Scholar] [CrossRef]
- Young, J.B. Two-Dimensional, Nonequilibrium, Wet-Steam Calculations for Nozzles and Turbine Cascades. J. Turbomach. 1992, 114, 569–579. [Google Scholar] [CrossRef]
- Young, J. The fundamental equations of gas-droplet multiphase flow. Int. J. Multiph. Flow 1995, 21, 175–191. [Google Scholar] [CrossRef]
- Wang, X.-D.; Dong, J.; Wang, T.; Tu, J. Numerical analysis of spontaneously condensing phenomena in nozzle of steam-jet vacuum pump. Vacuum 2012, 86, 861–866. [Google Scholar] [CrossRef]
- Wang, X.; Dong, J.; Li, A.; Lei, H.; Tu, J. Numerical study of primary steam superheating effects on steam ejector flow and its pumping performance. Energy 2014, 78, 205–211. [Google Scholar] [CrossRef]
- Sharifi, N.; Boroomand, M.; Sharifi, M. Numerical assessment of steam nucleation on thermodynamic performance of steam ejectors. Appl. Therm. Eng. 2013, 52, 449–459. [Google Scholar] [CrossRef]
- Sharifi, N.; Boroomand, M.; Kouhikamali, R. Wet steam flow energy analysis within thermo-compressors. Energy 2012, 47, 609–619. [Google Scholar] [CrossRef]
- Ding, H.; Wang, C.; Zhao, Y. An analytical method for Wilson point in nozzle flow with homogeneous nucleating. Int. J. Heat Mass Transf. 2014, 73, 586–594. [Google Scholar] [CrossRef]
- Abadi, S.N.R.; Kouhikamali, R.; Atashkari, K. Two-fluid model for simulation of supersonic flow of wet steam within high-pressure nozzles. Int. J. Therm. Sci. 2015, 96, 173–182. [Google Scholar] [CrossRef]
- Abadi, S.M.A.N.R.; Kouhikamali, R.; Atashkari, K. Non-equilibrium condensation of wet steam flow within high-pressure thermo-compressor. Appl. Therm. Eng. 2015, 81, 74–82. [Google Scholar] [CrossRef]
- Wróblewski, W.; Dykas, S. Two-fluid model with droplet size distribution for condensing steam flows. Energy 2016, 106, 112–120. [Google Scholar] [CrossRef]
- Yang, Y.; Walther, J.H.; Yan, Y.; Wen, C. CFD modeling of condensation process of water vapor in supersonic flows. Appl. Therm. Eng. 2017, 115, 1357–1362. [Google Scholar] [CrossRef]
- Yang, Y.; Zhu, X.; Yan, Y.; Ding, H.; Wen, C. Performance of supersonic steam ejectors considering the nonequilibrium condensation phenomenon for efficient energy utilisation. Appl. Energy 2019, 242, 157–167. [Google Scholar] [CrossRef]
- Zhang, G.; Dykas, S.; Yang, S.; Zhang, X.; Li, H.; Wang, J. Optimization of the primary nozzle based on a modified condensation model in a steam ejector. Appl. Therm. Eng. 2020, 171, 115090. [Google Scholar] [CrossRef]
- Ariafar, K.; Buttsworth, D.; Sharifi, N.; Malpress, R. Ejector primary nozzle steam condensation: Area ratio effects and mixing layer development. Appl. Therm. Eng. 2014, 71, 519–527. [Google Scholar] [CrossRef]
- Wang, C.; Wang, L.; Zou, T.; Zhang, H. Influences of area ratio and surface roughness on homogeneous condensation in ejector primary nozzle. Energy Convers. Manag. 2017, 149, 168–174. [Google Scholar] [CrossRef]
- Ansys, I. ANSYS-FLUENT 15.0 User’s Guide; ANSYS, Inc.: Pittsburgh, PA, USA, 2013. [Google Scholar]
- Besagni, G.; Inzoli, F. Computational fluid-dynamics modeling of supersonic ejectors: Screening of turbulence modeling approaches. Appl. Therm. Eng. 2017, 117, 122–144. [Google Scholar] [CrossRef]
- Varga, S.; Soares, J.; Lima, R.; Oliveira, A. On the selection of a turbulence model for the simulation of steam ejectors using CFD. Int. J. Low-Carbon Technol. 2017, 12, 233–243. [Google Scholar] [CrossRef][Green Version]
- Mazzelli, F.; Giacomelli, F.; Milazzo, A. CFD modeling of condensing steam ejectors: Comparison with an experimental test-case. Int. J. Therm. Sci. 2018, 127, 7–18. [Google Scholar] [CrossRef]
- Besagni, G.; Cristiani, N.; Croci, L.; Guédon, G.R.; Inzoli, F. Computational fluid-dynamics modelling of supersonic ejectors: Screening of modelling approaches, comprehensive validation and assessment of ejector component efficiencies. Appl. Therm. Eng. 2021, 186, 116431. [Google Scholar] [CrossRef]
- Ishazaki, K.; Ikohagi, T.; Daiguji, H. High-resolution numerical method for transonic non-equilibrium condensation flows through a steam turbine cascade. In Proceedings of the 6th International Symposium on Computational Fluid Dynamics, Lake Tahoe, NV, USA, 4–8 September 1995; pp. 479–484. [Google Scholar]
- Herwig, H.; Kock, F. Direct and indirect methods of calculating entropy generation rates in turbulent convective heat transfer problems. Heat Mass Transf. 2006, 43, 207–215. [Google Scholar] [CrossRef]
- Ding, H.; Zhao, Y.; Wen, C.; Wang, C.; Sun, C. Energy efficiency and exergy destruction of supersonic steam ejector based on nonequilibrium condensation model. Appl. Therm. Eng. 2021, 189, 116704. [Google Scholar] [CrossRef]
- Wang, C.; Wang, L.; Zhao, H.; Du, Z.; Ding, Z. Effects of superheated steam on non-equilibrium condensation in ejector primary nozzle. Int. J. Refrig. 2016, 67, 214–226. [Google Scholar] [CrossRef]

















| Coordinate Value (m) | Point A | Point B | Point C | Point D | |
|---|---|---|---|---|---|
| Throat | x | −0.25 | −0.2 | 0 | 0.5 |
| Radius | y | 0.0563 | 0.0563 | 0.025/0.03/0.035/ | 0.072 |
| 0.04/0.045/0.05 | |||||
| Expansion | x | −0.25 | −0.2 | 0 | 0.5 |
| Angle | y | 0.0563 | 0.0563 | 0.05 | 0.056/0.063/0.072 |
| 0.081/0.089/0.98 | |||||
| Divergent | x | −0.25 | −0.2 | 0 | 0.2~0.5 |
| Section Length | y | 0.0563 | 0.0563 | 0.5 | 0.059/0.063/0.068 |
| 0.072/0.076/0.081 | |||||
| Nozzle B | x | −0.25 | −0.2 | 0 | 0.5 |
| Structure | y | 0.0563 | 0.0563 | 0.05 | 0.072 |
| Steam Pressure (Pa) | Steam Temperature (K) | Steam Superheat (K) | |
|---|---|---|---|
| Nozzle inlet (A) | 25,000 | 354.6 | 16.5 |
| Nozzle inlet (B) | 25,000 | 357.6 | 19.5 |
| Nozzle inlet (C) | 25,000 | 358.6 | 20.5 |
| Nozzle inlet (A/B/C) | 2000 | 300 | / |
| Item | Boundary Condition |
|---|---|
| Nozzle Wall | Adiabatic and no-slip |
| Nozzle inlet | Pressure inlet |
| Nozzle outlet | Pressure outlet |
| Property | Value |
|---|---|
| Dynamic viscosity | 1.34 × 10−5 kg/m·s |
| Thermal conductivity | 0.00261 W/m·K |
| Specific heat capacity | 2014.00 J/kg·K |
| Molecular weight | 18.01534 kg·k/mol |
Publisher’s Note: MDPI stays neutral with regard to jurisdictional claims in published maps and institutional affiliations. |
© 2021 by the authors. Licensee MDPI, Basel, Switzerland. This article is an open access article distributed under the terms and conditions of the Creative Commons Attribution (CC BY) license (https://creativecommons.org/licenses/by/4.0/).
Share and Cite
Li, H.; Wang, X.; Huang, H.; Ning, J.; Tu, J. A Numerical Analysis of the Influence of Nozzle Geometric Structure on Spontaneous Steam Condensation and Irreversibility in the Steam Ejector Nozzle. Appl. Sci. 2021, 11, 11954. https://doi.org/10.3390/app112411954
Li H, Wang X, Huang H, Ning J, Tu J. A Numerical Analysis of the Influence of Nozzle Geometric Structure on Spontaneous Steam Condensation and Irreversibility in the Steam Ejector Nozzle. Applied Sciences. 2021; 11(24):11954. https://doi.org/10.3390/app112411954
Chicago/Turabian StyleLi, He, Xiaodong Wang, Hailong Huang, Jiuxin Ning, and Jiyuan Tu. 2021. "A Numerical Analysis of the Influence of Nozzle Geometric Structure on Spontaneous Steam Condensation and Irreversibility in the Steam Ejector Nozzle" Applied Sciences 11, no. 24: 11954. https://doi.org/10.3390/app112411954
APA StyleLi, H., Wang, X., Huang, H., Ning, J., & Tu, J. (2021). A Numerical Analysis of the Influence of Nozzle Geometric Structure on Spontaneous Steam Condensation and Irreversibility in the Steam Ejector Nozzle. Applied Sciences, 11(24), 11954. https://doi.org/10.3390/app112411954

