SAEP: A Surrounding-Aware Individual Emotion Prediction Model Combined with T-LSTM and Memory Attention Mechanism
Abstract
:1. Introduction
- Based on a deep encoder–decoder architecture, a surrounding-aware model is proposed to predict individual emotions in social networks, which takes into account both the influences of time-evolving and social network surrounding. First, the time-evolving and surrounding attention networks are constructed. Then, two attention context vectors are incorporated, time-evolving information and surrounding information, into the emotion prediction task.
- Aiming at the problem of irregular time series data, a variant long short-term memory (LSTM) network is introduced as the encoder of the proposed model, to extract the underlying structure in irregular time series data, allowing it to capture individual emotional changes more precisely. To the best of the authors knowledge, there is a lack of research on emotion prediction for irregular time series data based on surrounding influence and deep learning techniques.
- Extensive experiments were conducted to validate the proposed model over several baseline methods. The experimental results show that the micro F1 of SAEP can reach 60.20% and 63.33% on Twitter and Microblog datasets, respectively.
2. Related Work
2.1. Emotion Classification
2.2. Emotion Prediction
3. Preliminaries
Notations and Definitions
4. Observations
- The association of individual emotional states in the adjacent times, including the continuity of the same individual emotions and the transference of different emotions.
- When neighbors share their individual emotions, these individual emotions influence the other’s individual emotions in social networks.
4.1. Time-Evolving Influence Observation
4.2. Surrounding Influence Observation
- One’s future individual emotional states are related to their past individual emotional states.
- One’s future individual emotional states are influenced by their neighbor individual emotional states.
5. Surrounding-Aware Individual Emotion Prediction Model
5.1. Architecture
5.2. T-LSTM Network
5.3. Time-Evolving Attention Network
| Algorithm 1: Time-evolving context vector calculation | 
| Input: Observed series , Time interval series , Number of time-evolving context vector Z, Dimensionality of the cell states D | 
| Output: Time-evolving context | 
| 1: //Encoding phase | 
| 2: Obtain encoder hidden state according to Equation (9). | 
| 3: Compute position encoding matrix L by Equation (12); | 
| 4: Compute score vector according to Equation (11). | 
| 5: for z from 1 to Z do | 
| 6: Compute fixed-size memory representation by using Equation (10). | 
| 7:end for | 
| 8: //Decoding phase | 
| 9: Obtain decoder hidden state by using Equation (15). | 
| 10: Calculate score vector according to Equation (14). | 
| 11: Compute time-evolving context by using Equation (13); | 
5.4. Surrounding Attention Network
| Algorithm 2: Surrounding context vector calculation | 
| Input: The set of observation series , The set of time interval series , Number of time-evolving context vector Z, Dimensionality of the cell states D | 
| Output: Surrounding context vector | 
| 1: //Encoding phase | 
| 2: for each neighbor do | 
| 3: Obtain encoder hidden state according to Equation (16); | 
| 4: Compute position encoding matrix L by using Equation (12); | 
| 5: Compute score vector according to Equation (18); | 
| 6: for z from 1 to Z do | 
| 7: Compute fixed-size memory representation by Equation (17); | 
| 8: end for | 
| 9: end for | 
| 10: Concatenate the neighbors’ memory and obtain surrounding memory representation ; | 
| 11: //Decoding phase | 
| 12: Obtain decoder hidden state by using Equation (21); | 
| 13: Calculate score vector according to Equation (20); | 
| 14: Compute surrounding context vector by using Equation (19); | 
5.5. Learning and Prediction
| Algorithm 3: Training and prediction algorithm for SAEP | 
| Input: Social network , The set of emotion time series , Number of time-evolving context vector Z, Dimensionality of the cell states D, The number of samples in each batch, The number of epoch | 
| Output:Emotion label | 
| 1: Initializing the network structure parameters; | 
| 2: for for numbers of training epochs do | 
| 3: for numbers of iteration times do | 
| 4: draw a mini-batch of sequences X and their corresponding neighbors’ context sequence sets ; | 
| 5: //forward pass to encoder network | 
| 6: Compute surrounding context vector ; | 
| 7: Compute time-evolving context vector ; | 
| 8: Concatenate surrounding context and time-evolving context by using Equation (22); | 
| 9: Predict emotion by using Equation (23); | 
| 10: Compute the loss function according to Equation (24). | 
| 11: //backward pass | 
| 12: Compute gradients; | 
| 13: Update parameters; | 
| 14: end for | 
| 15: end for | 
| 16: for user in G do | 
| 17: Compute surrounding context vector ; | 
| 18: Compute time-evolving context vector ; | 
| 19: Concatenate surrounding context and time-evolving context by using Equation (22); | 
| 20: Predict emotion by using Equation (23); | 
| 21: end for | 
6. Experiments
6.1. Dataset Description
- Twitter: This dataset sample from 1 November 2015 to 5 March 2016, in which the entire time period has been divided into several time slices in day. For each time slice, the last post from the user within that time (the user’s emotion is influenced by the neighbor and the time-evolving) is saved. In this dataset, the emotion time series size of each user was . Because users’ post time is irregular, it causes the emotion time series to be missing. The missing data rate of this dataset was .
- Microblog: The Microblog API is used to randomly download a dataset from Microblog, from 23 January 2018 to 28 April 2018. The same method is used as the Twitter dataset to preprocess and split the Microblog dataset. In this dataset, the emotion time series size of each user was . The missing data rate of this dataset was .
6.2. Data Preparation
6.3. Baseline Methods
- Conditional Random Field (CRF) [47]: It is a graphical model based on conditional random field. The model predicts emotions by combining social correlations with emotional features.
- LSTM [50]: An RNN model with a LSTM cell is trained to predict users’ emotions, which impute the missing data with mean values in emotion time series.
- GRU-D [51]: GRU-D is a novel deep learning model based on GRU. It takes two missing data patterns, masking and time intervals, to extract long-range temporal missing patterns in the time series and capture the informative missing data. GRU-D utilizes long-term temporal dependencies to achieve a better prediction performance.
- Stacked Auto-Encoder (SAE) [52]: SAE is a famous deep learning model, which uses auto encoders as the basic components of deep network. It predicts emotions by learning temporal correlations in the emotion time series.
- Temporal Convolutional Network (TCN) [53]: TCN is a forecasting framework based on convolutional neural network. TCN constructs stacked residual blocks based on dilated causal convolutional networks to capture the temporal dependencies of the emotion time series.
6.4. Hyperparameter Settings
6.5. Evaluation Measures
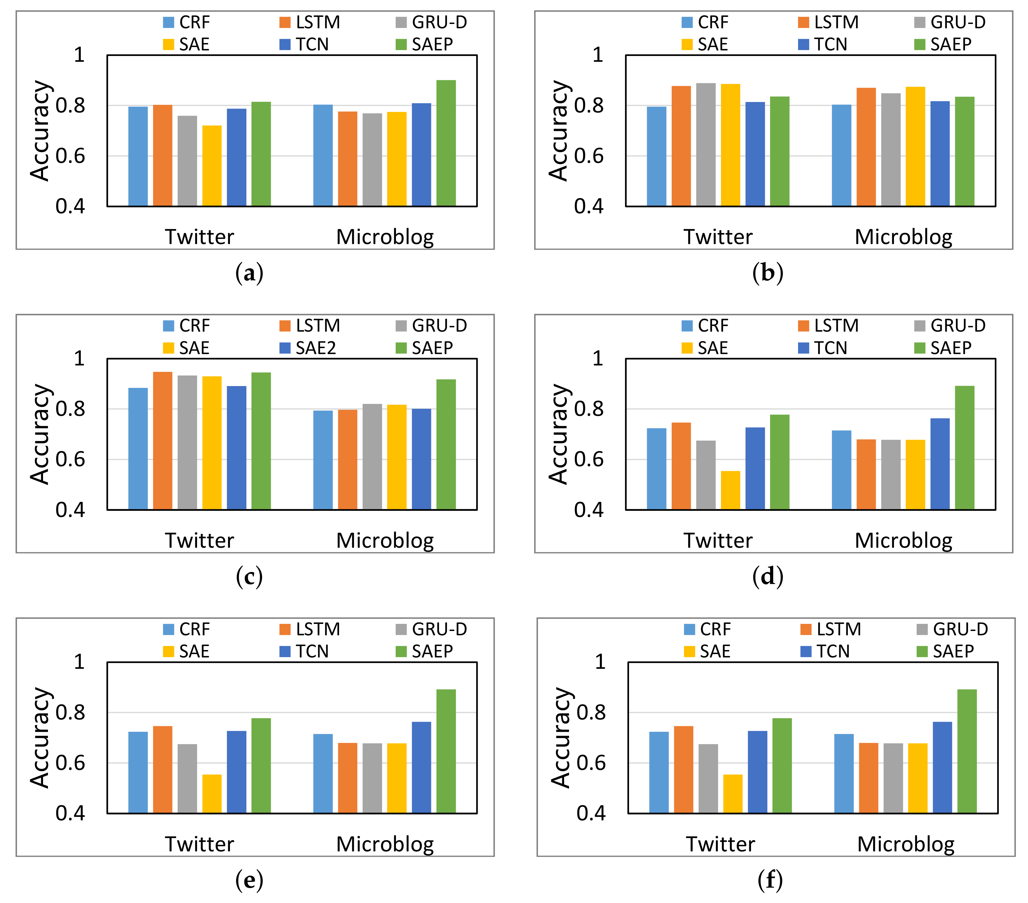
6.6. Performance Comparison
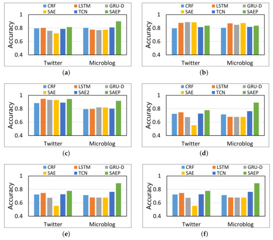
6.7. Ablation Analysis
- SAEP: This is the proposed complete model. The parameter settings for this model are described in Section 6.4.
- SAEP-s: This model removes the surrounding attention network.
- SAEP-s-t: This variant removes both surrounding and time-evolving attention networks in the proposed model, meaning it is an RNN with a LSTM cell.
- SAEP-TLSTM: This model employs the standard LSTM as the encoder instead of T-LSTM. The remaining settings for this model are the same as for SAEP model.
6.8. Parameter Analysis
6.8.1. Effect of Cell Size for Prediction Accuracy
6.8.2. Effect of Memory Size for Predict Accuracy
6.8.3. Effect of Memory Size for Learning Procedure
6.9. Visualization
7. Conclusions
Author Contributions
Funding
Institutional Review Board Statement
Informed Consent Statement
Data Availability Statement
Conflicts of Interest
References
- Shahriar, S.; Kim, Y. Audio-Visual Emotion Forecasting: Characterizing and Predicting Future Emotion Using Deep Learning. In Proceedings of the 2019 14th IEEE International Conference on Automatic Face Gesture Recognition, Lille, France, 14–18 May 2019; pp. 1–7. [Google Scholar] [CrossRef]
- Yamane, H.; Mori, Y.; Harada, T. Humor meets morality: Joke generation based on moral judgement. Inf. Process. Manag. 2021, 58, 102520. [Google Scholar] [CrossRef]
- Ge, Y.; Qiu, J.; Liu, Z.; Gu, W.; Xu, L. Beyond negative and positive: Exploring the effects of emotions in social media during the stock market crash. Inf. Process. Manag. 2020, 57, 102218. [Google Scholar] [CrossRef]
- Du, Y.; Zhou, Q.; Luo, J.; Li, X.; Hu, J. Detection of key figures in social networks by combining harmonic modularity with community structure-regulated network embedding. Inf. Sci. 2021, 570, 722–743. [Google Scholar] [CrossRef]
- Gong, C.; Du, Y.; Li, X.; Chen, X.; Li, X.; Wang, Y.; Zhou, Q. Structural hole-based approach to control public opinion in a social network. Eng. Appl. Artif. Intell. 2020, 93, 103690. [Google Scholar] [CrossRef]
- Li, Y.; Wang, S.; Pan, Q.; Peng, H.; Yang, T.; Cambria, E. Learning binary codes with neural collaborative filtering for efficient recommendation systems. Knowl.-Based Syst. 2019, 172, 64–75. [Google Scholar] [CrossRef]
- Lomanowska, A.M.; Guitton, M.J. Online intimacy and well-being in the digital age. Internet Interv. 2016, 4, 138–144. [Google Scholar] [CrossRef] [Green Version]
- Hill, A.L.; Rand, D.G.; Nowak, M.A.; Christakis, N.A. Emotions as infectious diseases in a large social network: The SISa model. Proc. R. Soc. B 2010, 277, 3827–3835. [Google Scholar] [CrossRef]
- Bond, R.M.; Fariss, C.J.; Jones, J.J.; Kramer, A.D.I.; Marlow, C.; Settle, J.E.; Fowler, J.H. A 61-million-person experiment in social influence and political mobilization. Nature 2012, 489, 295–298. [Google Scholar] [CrossRef] [Green Version]
- Neil, D.; Pfeiffer, M.; Liu, S.C. Phased LSTM: Accelerating Recurrent Network Training for Long or Event-Based Sequences. In Proceedings of the 30th International Conference on Neural Information Processing Systems, Barcelona, Spain, 5–10 December 2016; pp. 3889–3897. [Google Scholar]
- Ekman, P. An argument for basic emotions. Cogn. Emot. 1992, 6, 169–200. [Google Scholar] [CrossRef]
- Yang, Y.; Jia, J.; Wu, B.; Tang, J. Social Role-Aware Emotion Contagion in Image Social Networks. In Proceedings of the 30th AAAI Conference on Artificial Intelligence, Phoenix, AZ, USA, 12–17 February 2016; pp. 65–71. [Google Scholar]
- Keshavarz, H.; Abadeh, M.S. ALGA: Adaptive lexicon learning using genetic algorithm for sentiment analysis of microblogs. Knowl.-Based Syst. 2017, 122, 1–16. [Google Scholar] [CrossRef] [Green Version]
- Chekima, K.; Alfred, R. Non-English Sentiment Dictionary Construction. Adv. Sci. Lett. 2018, 24, 1416–1420. [Google Scholar] [CrossRef]
- Song, J.; Kim, K.; Lee, B.; Kim, S.; Youn, H. A novel classification approach based on Naive Bayes for Twitter sentiment analysis. KSII Trans. Internet Inf. Syst. 2017, 11, 2996–3011. [Google Scholar] [CrossRef]
- Liu, Y.; Bi, J.W.; Fan, Z.P. A method for multi-class sentiment classification based on an improved one-vs-one (OVO) strategy and the support vector machine (SVM) algorithm. Inf. Sci. 2017, 394–395, 38–52. [Google Scholar] [CrossRef] [Green Version]
- Xie, X.; Ge, S.; Hu, F.; Xie, M.; Jiang, N. An Improved Algorithm for Sentiment Analysis Based on Maximum Entropy. Soft Comput. 2019, 23, 599–611. [Google Scholar] [CrossRef]
- Colnerič, N.; Demšar, J. Emotion Recognition on Twitter: Comparative Study and Training a Unison Model. IEEE Trans. Affect. Comput. 2020, 11, 433–446. [Google Scholar] [CrossRef]
- Wang, Y.; Huang, M.; Zhao, L.; Zhu, X. Attention-based LSTM for Aspect-level Sentiment Classification. In Proceedings of the 2016 Conference on Empirical Methods in Natural Language Processing, Austin, TX, USA, 1–5 November 2016; pp. 606–615. [Google Scholar]
- Wang, R.; Li, Z.; Cao, J.; Chen, T.; Wang, L. Convolutional Recurrent Neural Networks for Text Classification. In Proceedings of the 2019 International Joint Conference on Neural Networks, Budapest, Hungary, 14–19 July 2019; pp. 1–6. [Google Scholar] [CrossRef]
- Cambria, E. Affective Computing and Sentiment Analysis. IEEE Intell. Syst. 2016, 31, 102–107. [Google Scholar] [CrossRef]
- Borg, A.; Boldt, M. Using VADER sentiment and SVM for predicting customer response sentiment. Expert Syst. Appl. 2020, 162, 113746. [Google Scholar] [CrossRef]
- Adikari, A.; Gamage, G.; de Silva, D.; Mills, N.; Wong, S.M.J.; Alahakoon, D. A self structuring artificial intelligence framework for deep emotions modeling and analysis on the social web. Future Gener. Comput. Syst. 2021, 116, 302–315. [Google Scholar] [CrossRef]
- Zhang, X.; Li, W.; Ying, H.; Li, F.; Tang, S.; Lu, S. Emotion Detection in Online Social Networks: A Multilabel Learning Approach. IEEE Internet Things J. 2020, 7, 8133–8143. [Google Scholar] [CrossRef]
- Wang, Y.; Han, L. Adaptive time series prediction and recommendation. Inf. Process. Manag. 2021, 58, 102494. [Google Scholar] [CrossRef]
- Luo, Y.; Yao, C.; Mo, Y.; Xie, B.; Yang, G.; Gui, H. A creative approach to understanding the hidden information within the business data using Deep Learning. Inf. Process. Manag. 2021, 58, 102615. [Google Scholar] [CrossRef]
- Majumder, N.; Poria, S.; Hazarika, D.; Mihalcea, R.; Cambria, E. DialogueRNN: An attentive rnn for emotion detection in conversations. In Proceedings of the 33rd AAAI Conference on Artificial Intelligence, Honolulu, HI, USA, 27 January–1 February 2019; pp. 6818–6825. [Google Scholar] [CrossRef] [Green Version]
- Ma, J.; Tang, H.; Zheng, W.L.; Lu, B.L. Emotion Recognition Using Multimodal Residual LSTM Network. In Proceedings of the 27th ACM International Conference on Multimedia, Nice, France, 21–25 October 2019; pp. 176–183. [Google Scholar] [CrossRef]
- Cho, K.; van Merriënboer, B.; Gulcehre, C.; Bahdanau, D.; Bougares, F.; Schwenk, H.; Bengio, Y. Learning Phrase Representations using RNN Encoder–Decoder for Statistical Machine Translation. In Proceedings of the 2014 Conference on Empirical Methods in Natural Language Processing, Doha, Qatar, 25–29 October 2014; pp. 1724–1734. [Google Scholar] [CrossRef]
- Zhang, R.; Wang, Z.; Huang, Z.; Li, L.; Zheng, M. Predicting Emotion Reactions for Human—Computer Conversation: A Variational Approach. IEEE Trans.-Hum.-Mach. Syst. 2021, 51, 279–287. [Google Scholar] [CrossRef]
- Lubis, N.; Sakti, S.; Yoshino, K.; Nakamura, S. Positive Emotion Elicitation in Chat-Based Dialogue Systems. IEEE/ACM Trans. Audio Speech Lang. Process. 2019, 27, 866–877. [Google Scholar] [CrossRef]
- Liu, M.; Bao, X.; Liu, J.; Zhao, P.; Shen, Y. Generating emotional response by conditional variational auto-encoder in open-domain dialogue system. Neurocomputing 2021, 460, 106–116. [Google Scholar] [CrossRef]
- Li, D.; Li, Y.; Wang, S. Interactive double states emotion cell model for textual dialogue emotion prediction. Knowl.-Based Syst. 2020, 189, 105084. [Google Scholar] [CrossRef]
- Tang, H.; Ji, D.; Zhou, Q. Joint multi-level attentional model for emotion detection and emotion-cause pair extraction. Neurocomputing 2020, 409, 329–340. [Google Scholar] [CrossRef]
- Devlin, J.; Chang, M.W.; Lee, K.; Toutanova, K. BERT: Pre-training of Deep Bidirectional Transformers for Language Understanding. In Proceedings of the 2019 Conference of the North American Chapter of the Association for Computational Linguistics: Human Language Technologies, Minneapolis, MN, USA, 2–7 June 2019; pp. 4171–4186. [Google Scholar]
- Sun, X.; Li, J.; Wei, X.; Li, C.; Tao, J. Emotional editing constraint conversation content generation based on reinforcement learning. Inf. Fusion 2020, 56, 70–80. [Google Scholar] [CrossRef]
- Huang, X.; Ren, M.; Han, Q.; Shi, X.; Nie, J.; Nie, W.; Liu, A.A. Emotion Detection for Conversations Based on Reinforcement Learning Framework. IEEE Multimed. 2021, 28, 76–85. [Google Scholar] [CrossRef]
- Ma, H.; Wang, J.; Qian, L.; Lin, H. HAN-ReGRU: Hierarchical attention network with residual gated recurrent unit for emotion recognition in conversation. Neural Comput. Appl. 2021, 33, 2685–2703. [Google Scholar] [CrossRef]
- Li, W.; Shao, W.; Ji, S.; Cambria, E. BiERU: Bidirectional emotional recurrent unit for conversational sentiment analysis. Neurocomputing 2022, 467, 73–82. [Google Scholar] [CrossRef]
- Tang, J.; Zhang, Y.; Sun, J.; Rao, J.; Yu, W.; Chen, Y.; Fong, A. Quantitative Study of Individual Emotional States in Social Networks. IEEE Trans. Affect. Comput. 2012, 3, 132–144. [Google Scholar] [CrossRef]
- Gökdağ, C. How does interpersonal emotion regulation explain psychological distress? The roles of attachment style and social support. Personal. Individ. Differ. 2021, 176, 110763. [Google Scholar] [CrossRef]
- Hochreiter, S.; Schmidhuber, J. Long Short-Term Memory. Neural Comput. 1997, 9, 1735–1780. [Google Scholar] [CrossRef]
- Weerakody, P.B.; Wong, K.W.; Wang, G.; Ela, W. A review of irregular time series data handling with gated recurrent neural networks. Neurocomputing 2021, 441, 161–178. [Google Scholar] [CrossRef]
- Baytas, I.M.; Xiao, C.; Zhang, X.; Wang, F.; Jain, A.K.; Zhou, J. Patient Subtyping via Time-Aware LSTM Networks. In Proceedings of the 23th ACM SIGKDD International Conference on Knowledge Discovery and Data Mining, Halifax, NS, Canada, 13–17 August 2017; pp. 65–74. [Google Scholar] [CrossRef]
- Ji, Y.; Zhang, H.; Zhang, Z.; Liu, M. CNN-based encoder–decoder networks for salient object detection: A comprehensive review and recent advances. Inf. Sci. 2021, 546, 835–857. [Google Scholar] [CrossRef]
- Britz, D.; Guan, M.; Luong, M.T. Efficient Attention using a Fixed-Size Memory Representation. In Proceedings of the 2017 Conference on Empirical Methods in Natural Language Processing, Copenhagen, Denmark, 9–11 September 2017; pp. 392–400. [Google Scholar] [CrossRef] [Green Version]
- Wang, X.; Jia, J.; Tang, J.; Wu, B.; Cai, L.; Xie, L. Modeling Emotion Influence in Image Social Networks. IEEE Trans. Affect. Comput. 2015, 6, 286–297. [Google Scholar] [CrossRef] [Green Version]
- Yang, Y.; Jia, J.; Zhang, S.; Wu, B.; Chen, Q.; Li, J.; Xing, C.; Tang, J. How Do Your Friends on Social Media Disclose Your Emotions? In Proceedings of the 28th AAAI Conference on Artificial Intelligence, Québec City, QC, Canada, 27–31 July 2014; pp. 306–312. [Google Scholar]
- Yuan, Z.; Purver, M. Predicting Emotion Labels for Chinese Microblog Texts. In Proceedings of the 1st International Workshop on Sentiment Discovery from Affective Data, Bristol, UK, 28 September 2012; Volume 917, pp. 40–47. [Google Scholar]
- Yang, B.; Sun, S.; Li, J.; Lin, X.; Tian, Y. Traffic flow prediction using LSTM with feature enhancement. Neurocomputing 2019, 332, 320–327. [Google Scholar] [CrossRef]
- Che, Z.; Purushotham, S.; Cho, K.; Sontag, D.; Liu, Y. Recurrent Neural Networks for Multivariate Time Series with Missing Values. Sci. Rep. 2018, 8, 6085. [Google Scholar] [CrossRef] [Green Version]
- Lv, Y.; Duan, Y.; Kang, W.; Li, Z.; Wang, F.Y. Traffic Flow Prediction With Big Data: A Deep Learning Approach. IEEE Trans. Intell. Transp. Syst. 2015, 16, 865–873. [Google Scholar] [CrossRef]
- Chen, Y.; Kang, Y.; Chen, Y.; Wang, Z. Probabilistic forecasting with temporal convolutional neural network. Neurocomputing 2020, 399, 491–501. [Google Scholar] [CrossRef] [Green Version]
- Yang, T.; Li, F.; Ji, D.; Liang, X.; Xie, T.; Tian, S.; Li, B.; Liang, P. Fine-grained depression analysis based on Chinese micro-blog reviews. Inf. Process. Manag. 2021, 58, 102681. [Google Scholar] [CrossRef]
- Li, Y.; Huang, X.; Zhao, G. Micro-expression action unit detection with spatial and channel attention. Neurocomputing 2021, 436, 221–231. [Google Scholar] [CrossRef]














| Datasets | ||||
|---|---|---|---|---|
| 5136 | 27,142 | 451,029 | 705,018 | |
| Microblog | 5068 | 12,036 | 66,480 | 158,240 | 
| Dataset | Method | Accuracy | |||||
|---|---|---|---|---|---|---|---|
| Anger | Disgust | Fear | Happiness | Sadness | Surprise | ||
| CRF | 79.52 | 81.25 | 88.42 | 72.41 | 78.28 | 71.63 | |
| LSTM | 80.31 | 87.75 | 94.72 | 74.65 | 89.17 | 27.60 | |
| GRU-D | 75.92 | 88.90 | 93.28 | 67.52 | 89.33 | 74.35 | |
| SAE | 72.09 | 88.58 | 92.96 | 55.42 | 88.67 | 67.10 | |
| TCN | 78.76 | 81.42 | 89.09 | 72.69 | 85.14 | 66.00 | |
| SAEP | 81.49 | 83.54 | 94.49 | 77.77 | 89.56 | 76.44 | |
| Microblog | CRF | 80.33 | 81.94 | 79.36 | 71.52 | 82.27 | 69.38 | 
| LSTM | 77.59 | 87.03 | 79.68 | 67.96 | 82.78 | 58.83 | |
| GRU-D | 76.87 | 84.87 | 82.02 | 67.78 | 85.00 | 57.92 | |
| SAE | 77.47 | 87.47 | 81.76 | 67.78 | 84.62 | 58.19 | |
| TCN | 80.91 | 81.74 | 80.11 | 76.32 | 87.10 | 64.31 | |
| SAEP | 91.31 | 83.48 | 91.81 | 89.23 | 90.29 | 87.35 | |
| Dataset | Method | Accuracy | |||||
|---|---|---|---|---|---|---|---|
| Anger | Disgust | Fear | Happiness | Sadness | Surprise | ||
| SAEP-s | 80.45 | 79.6 | 94.23 | 75.89 | 54.96 | 65.34 | |
| SAEP-s-t | 79.84 | 80.46 | 94.11 | 72.2 | 58.93 | 71.57 | |
| SAEP-TLSTM | 74.42 | 82.86 | 93.66 | 73.67 | 82.99 | 64.97 | |
| SAEP | 81.49 | 83.54 | 94.49 | 77.77 | 89.56 | 76.44 | |
| Microblog | SAEP-s | 74.85 | 69.66 | 88.43 | 81.58 | 83.82 | 65.22 | 
| SAEP-s-t | 83.2 | 68.26 | 85.62 | 69.16 | 85.46 | 61.15 | |
| SAEP-TLSTM | 78.21 | 67.54 | 86.94 | 80.62 | 87.33 | 48.84 | |
| SAEP | 91.31 | 83.48 | 91.81 | 89.23 | 90.29 | 87.35 | |
| Publisher’s Note: MDPI stays neutral with regard to jurisdictional claims in published maps and institutional affiliations. | 
© 2021 by the authors. Licensee MDPI, Basel, Switzerland. This article is an open access article distributed under the terms and conditions of the Creative Commons Attribution (CC BY) license (https://creativecommons.org/licenses/by/4.0/).
Share and Cite
Wang, Y.; Du, Y.; Hu, J.; Li, X.; Chen, X. SAEP: A Surrounding-Aware Individual Emotion Prediction Model Combined with T-LSTM and Memory Attention Mechanism. Appl. Sci. 2021, 11, 11111. https://doi.org/10.3390/app112311111
Wang Y, Du Y, Hu J, Li X, Chen X. SAEP: A Surrounding-Aware Individual Emotion Prediction Model Combined with T-LSTM and Memory Attention Mechanism. Applied Sciences. 2021; 11(23):11111. https://doi.org/10.3390/app112311111
Chicago/Turabian StyleWang, Yakun, Yajun Du, Jinrong Hu, Xianyong Li, and Xiaoliang Chen. 2021. "SAEP: A Surrounding-Aware Individual Emotion Prediction Model Combined with T-LSTM and Memory Attention Mechanism" Applied Sciences 11, no. 23: 11111. https://doi.org/10.3390/app112311111
APA StyleWang, Y., Du, Y., Hu, J., Li, X., & Chen, X. (2021). SAEP: A Surrounding-Aware Individual Emotion Prediction Model Combined with T-LSTM and Memory Attention Mechanism. Applied Sciences, 11(23), 11111. https://doi.org/10.3390/app112311111
 
         
                                                

 
       