Evaluation of Stress Distribution of Isotropic, Composite, and FG Beams with Different Geometries in Nonlinear Regime via Carrera-Unified Formulation and Lagrange Polynomial Expansions
Abstract
:1. Introduction
2. Preliminaries
2.1. Constitutive Relations
2.2. Adopted Refined Beam Theory
2.3. Nonlinear FE Equations
3. Numerical Results
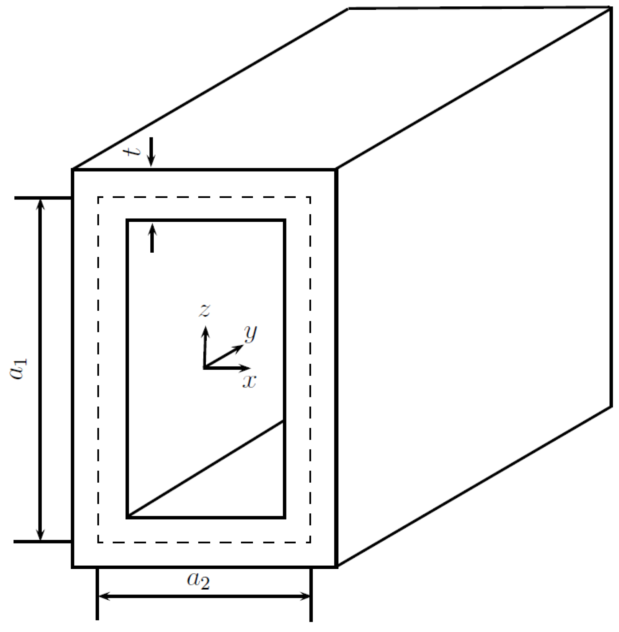
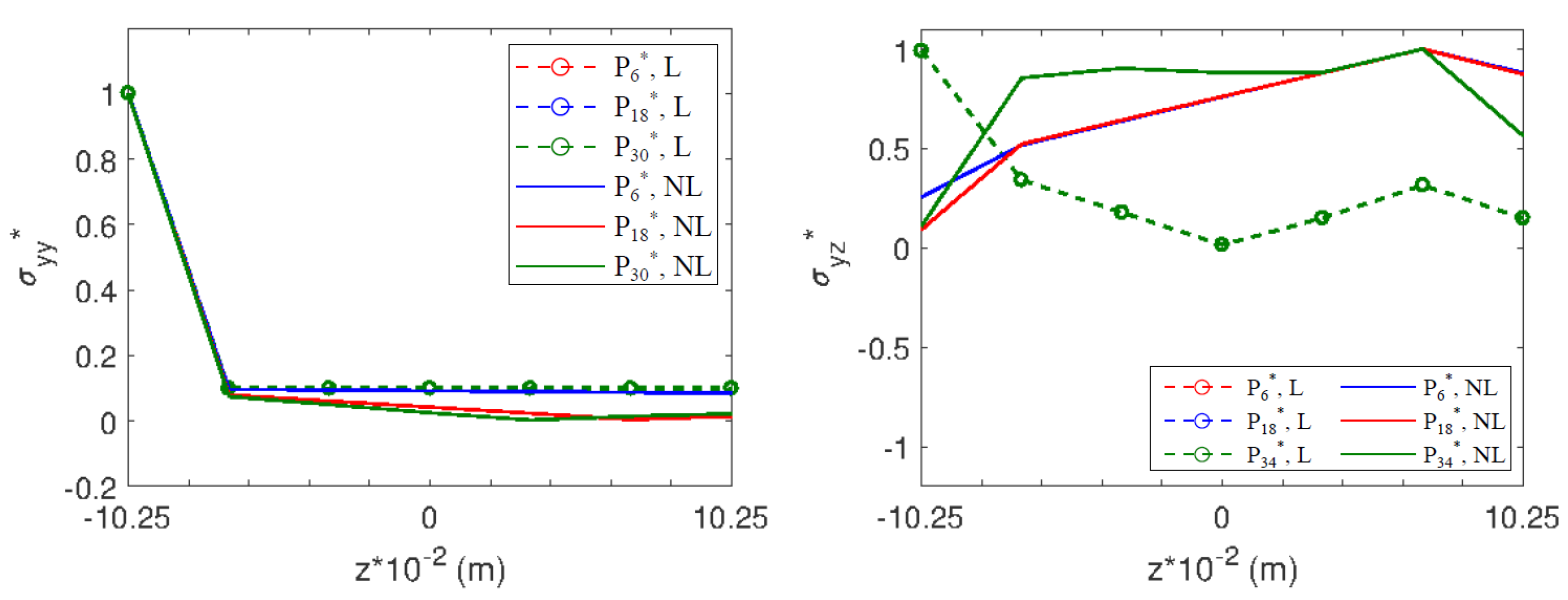
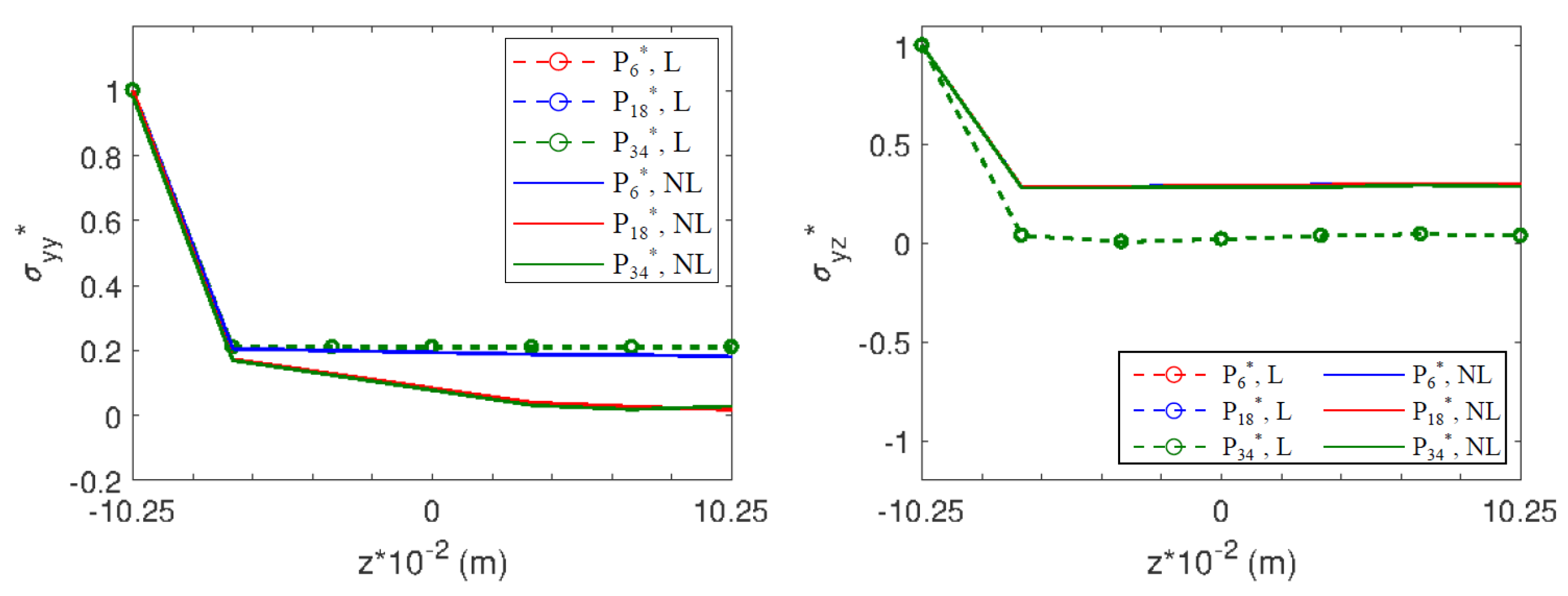
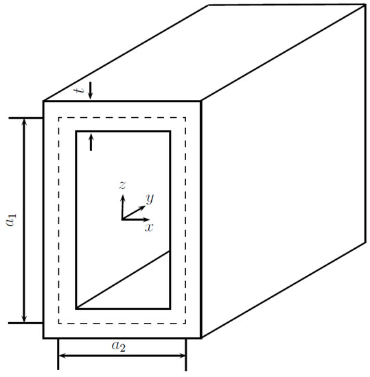
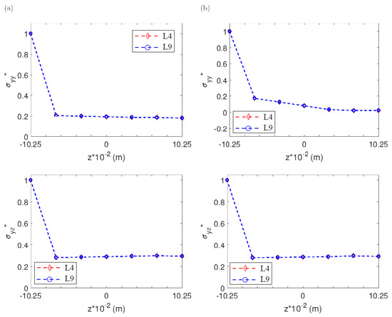
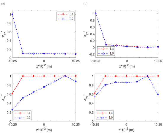
3.1. Thin-Walled Single-Cell Isotopic Box Beam
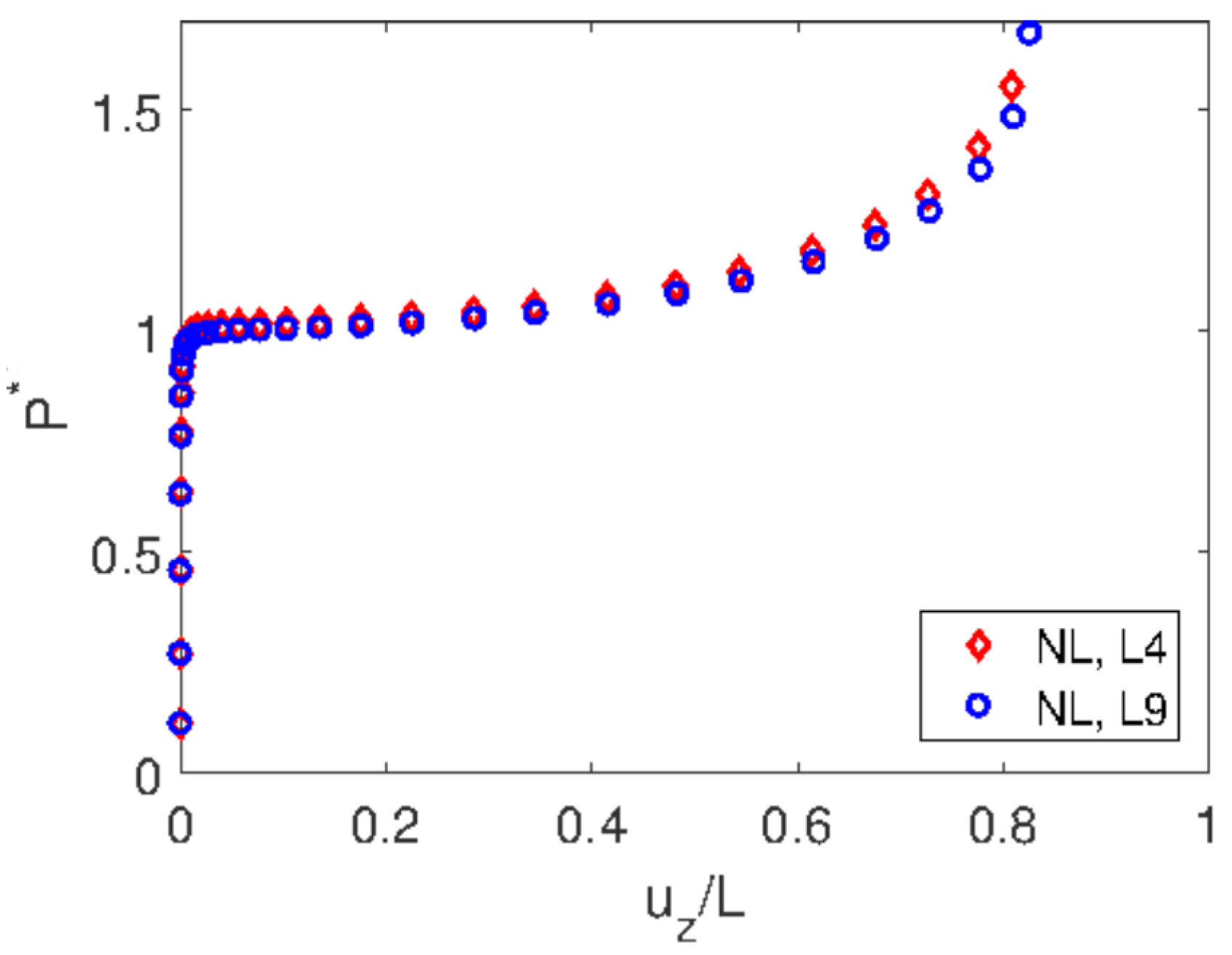
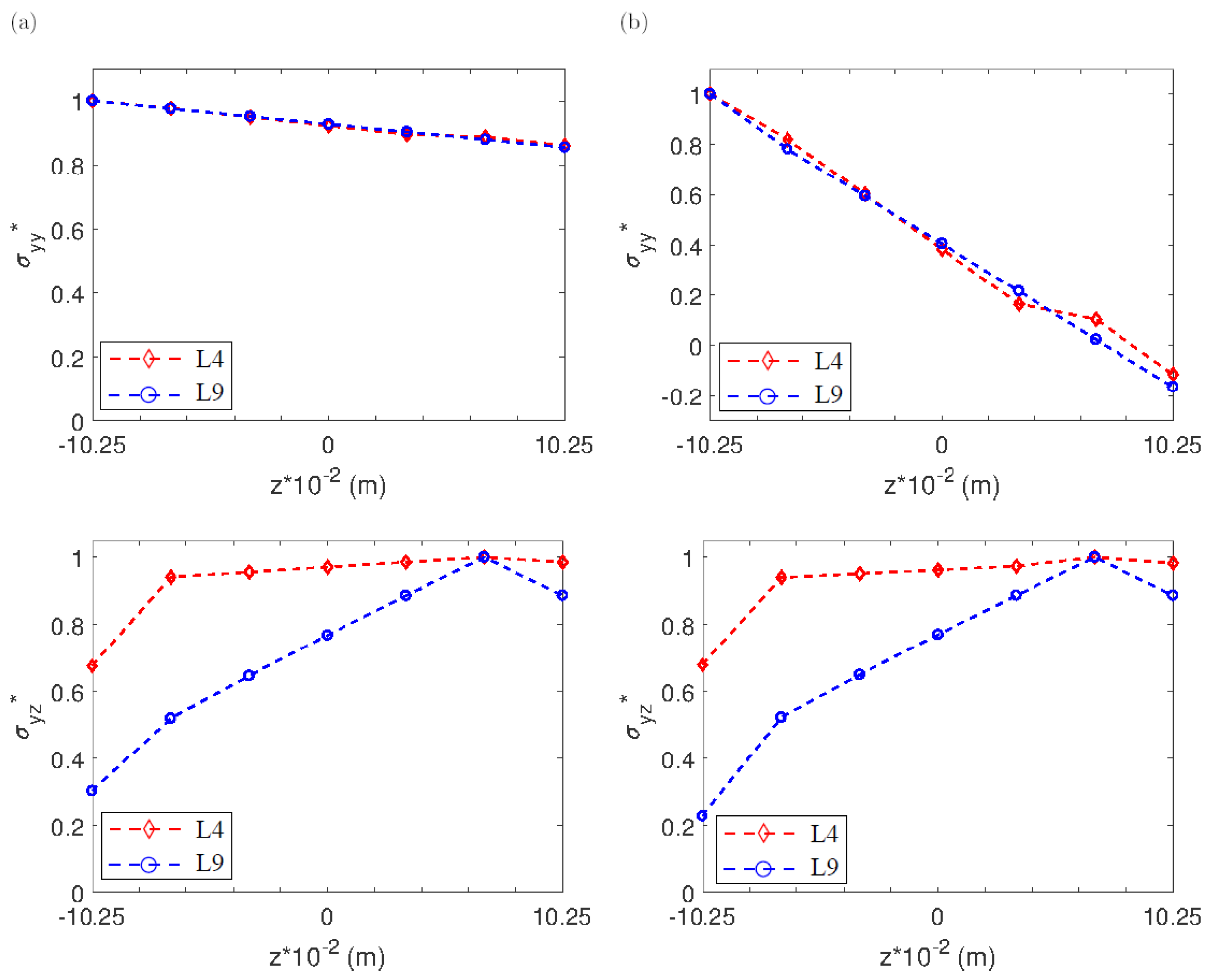
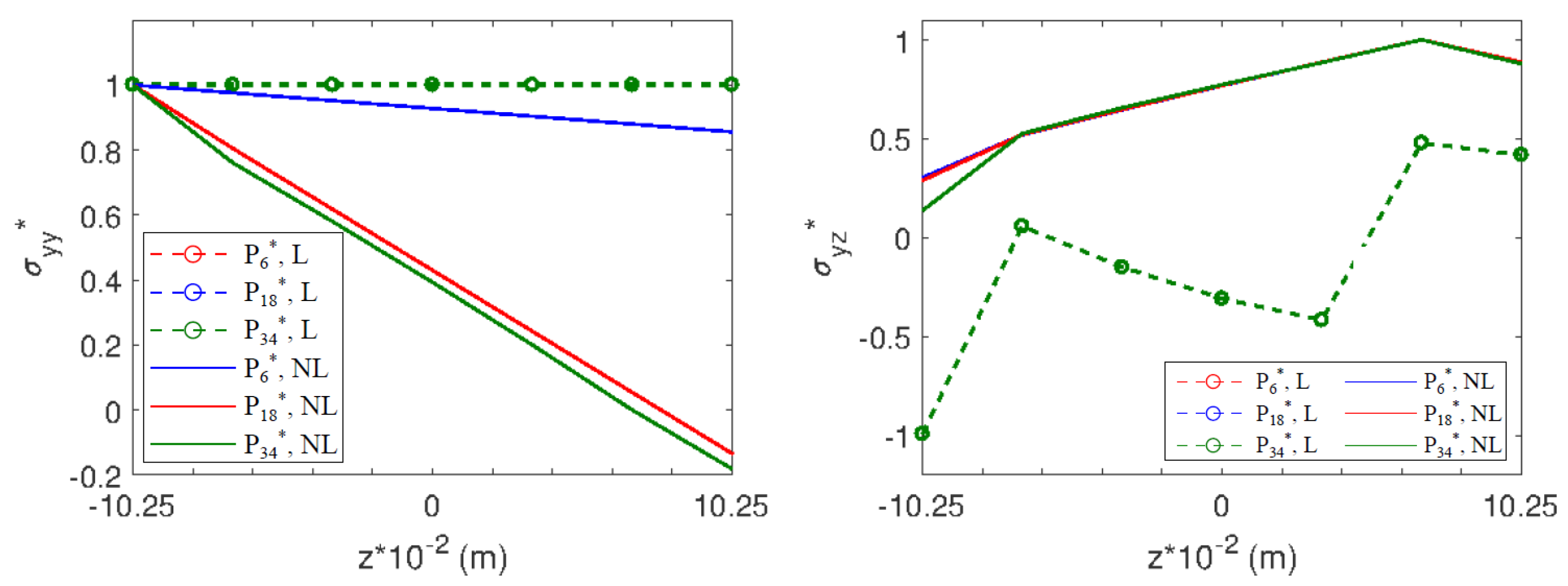
Large Deflection of Cantilever Thin-Walled Single-Cell Isotopic Box Beam for Post-Buckling
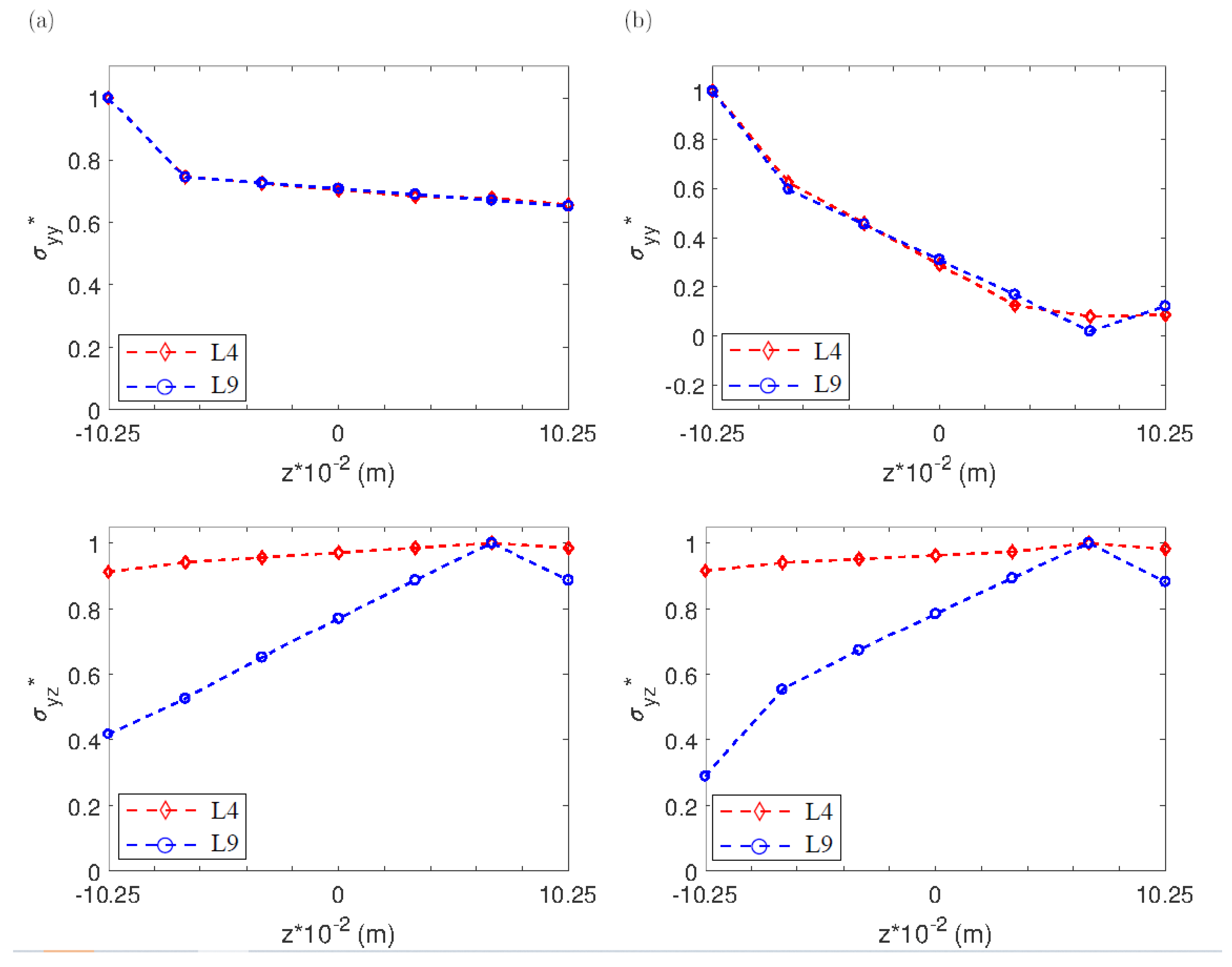
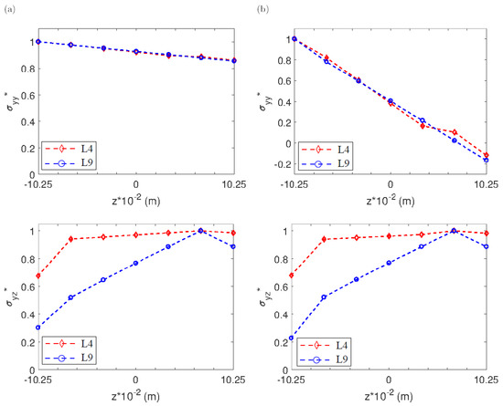
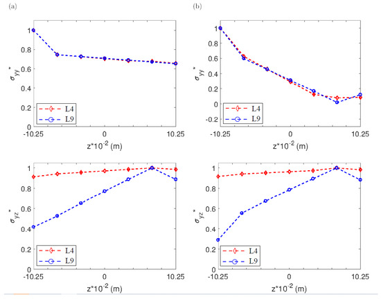
3.2. Thin-Walled Single-Cell Composite Box Beam
Large Deflection of Cantilever Thin-Walled Single-Cell Composite Box Beam for Post-Buckling
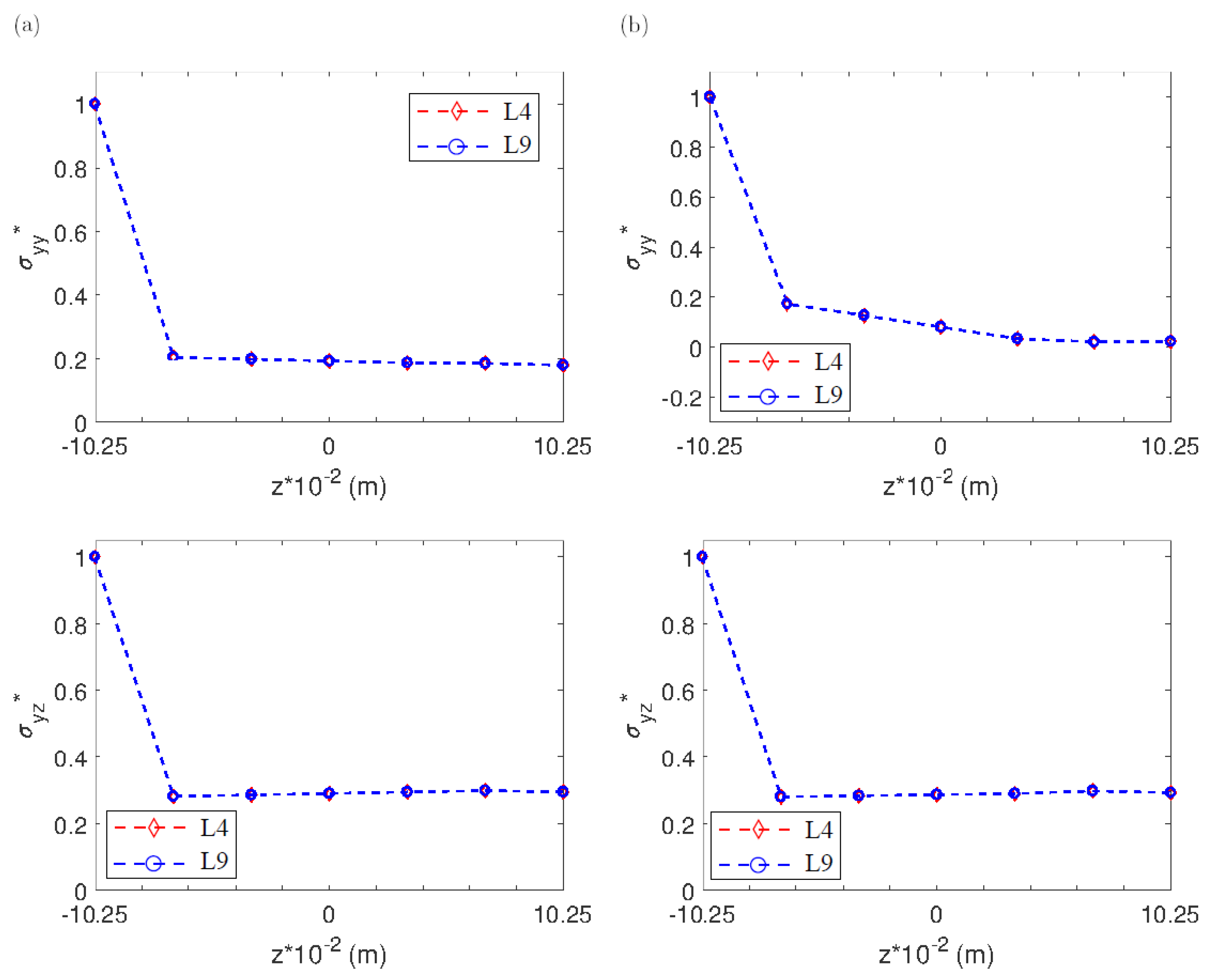
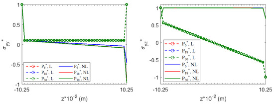
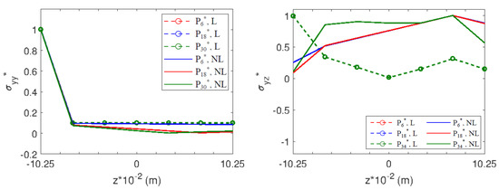
3.3. Thin-Walled Single-Cell FG Box Beam
Large Deflection of Cantilever Thin-Walled Single-Cell FG Box Beam for Post-Buckling
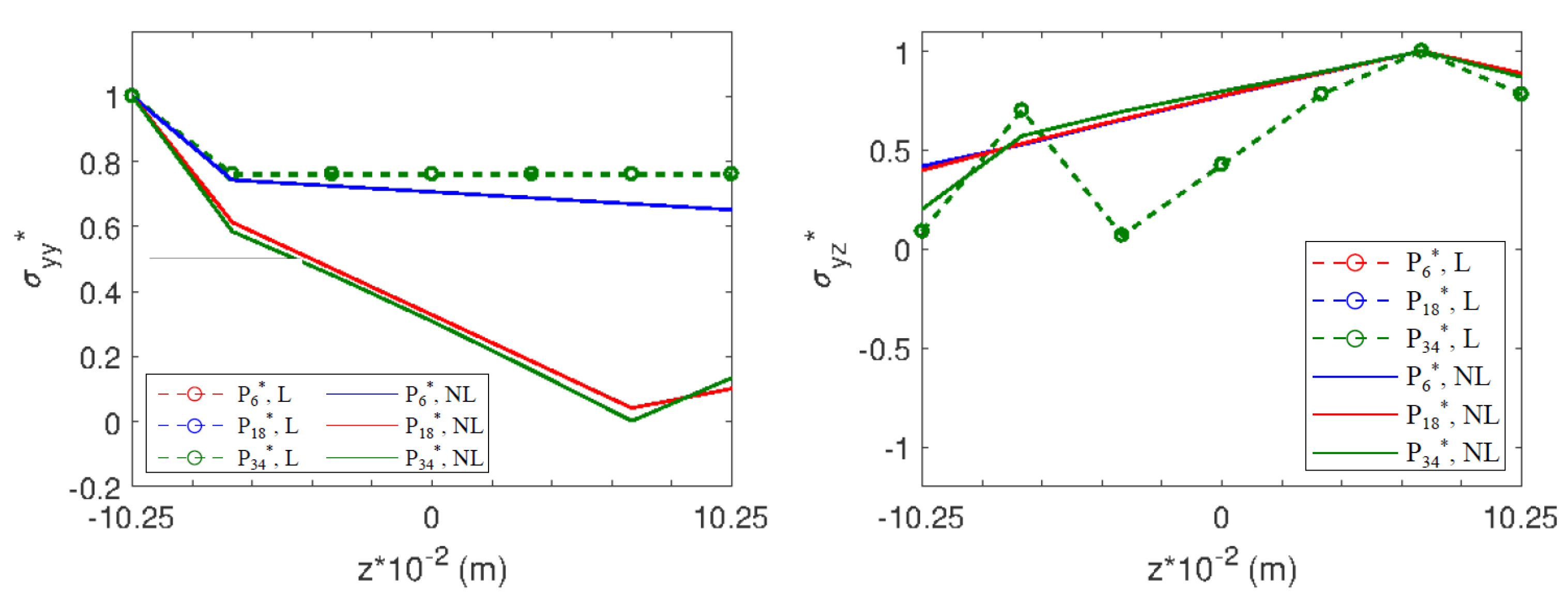
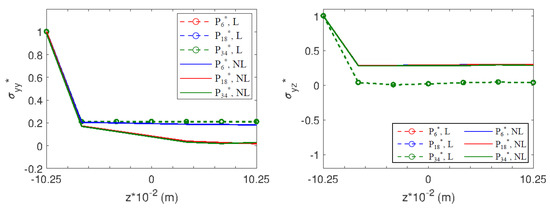
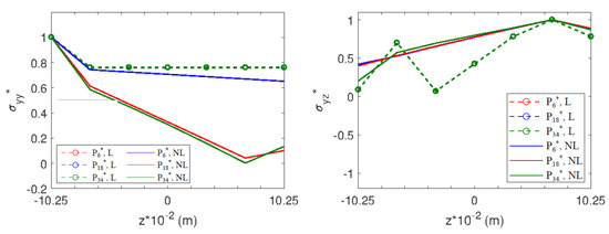
3.4. Thin-Walled Two-Cell Composite Box Beam
Large Deflection of Thin-Walled Two-Cell Composite Box Beam for Post-Buckling
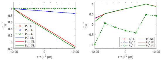
3.5. Thin-Walled Two-Cell FG Box Beam
Large Deflection of Thin-Walled Two-Cell FG Box Beam for Post-Buckling
4. Conclusions
Author Contributions
Funding
Institutional Review Board Statement
Informed Consent Statement
Data Availability Statement
Conflicts of Interest
References
- Pai, P.F. Highly FLEXIBLE structures: Modeling, Computation, and Experimentation; AIAA Education Series; AIAA: Reston, VA, USA, 2007. [Google Scholar] [CrossRef]
- Euler, L. De Curvis Elasticis; Bousquet: Lausanne, Switzerland, 1744. [Google Scholar]
- Barsoum, R.S.; Gallagher, R.H. Finite element analysis of torsional and torsional–flexural stability problems. Int. J. Numer. Methods Eng. 1970, 2, 335–352. [Google Scholar] [CrossRef]
- Woolcock, S.T.; Trahair, A.M. Post-buckling behaviour of determinate beams. J. Eng. Mech. Div. ASCE 1974, 100, 151–171. [Google Scholar] [CrossRef]
- Timoshenko, S.P. On the transverse vibrations of bars of uniform cross section. Philos. Mag. 1922, 43, 125–131. [Google Scholar] [CrossRef] [Green Version]
- Pai, P.F.; Palazotto, A.N. Large-deformation analysis of flexible beams. Int. J. Solids Struct. 1966, 33, 1335–1353. [Google Scholar] [CrossRef]
- Gruttmann, F.; Sauer, R.; Wagner, W. A geometrical nonlinear eccentric 3D-beam element with arbitrary cross-sections. Comput. Methods Appl. Mech. Eng. 1998, 160, 383–400. [Google Scholar] [CrossRef]
- Mohyeddin, A.; Fereidoon, A. An analytical solution for the large deflection problem of timoshenko beams under three-point bending. Int. J. Mech. Sci. 2014, 78, 135–139. [Google Scholar] [CrossRef]
- Bazant, Z.P.; El Nimeiri, M. Large-deflection spatial buckling of thin walled beams and frames. J. Eng. Mech. Div. ASCE 1973, 99, 1259–1281. [Google Scholar] [CrossRef]
- Bathe, K.J.; Bolourchi, S. Large displacement analysis of three-dimensional beam structures. Int. J. Numer. Methods Eng. 1979, 14, 961–986. [Google Scholar] [CrossRef]
- Yang, Y.B.; McGuire, W. Stiffness matrix for geometric non-linear analysis. J. Struct. Eng. 1986, 112, 853–877. [Google Scholar] [CrossRef]
- Hasegawa, A.; Liyanage, K.K.; Nishino, F. Spatial instability and non-linear finite displacement analysis of thin-walled members and frames. J. Fac. Eng. Univ. Tokyo 1986, 38, 19–78. [Google Scholar] [CrossRef]
- Bull, J.W. Finite Element Applications to Thin-Walled Structures; Elsevier Applied Science: London, UK, 1990. [Google Scholar]
- Chen, H.; Blandford, G.E. Thin-walled space frames. II: Algorithmic details and applications. J. Struct. Eng. ASCE 1991, 117, 2521–2539. [Google Scholar] [CrossRef]
- Hsiao, K.M.; Lin, W.Y. A co-rotational finite element formulation for buckling and postbuckling analysis of spatial beams. Comput. Methods Appl. Mech. Eng. 2000, 188, 567–594. [Google Scholar] [CrossRef]
- Hsiao, K.M.; Lin, W.Y. A co-rotational formulation for thin-walled beams with monosymmetric open section. Comput. Methods Appl. Mech. Eng. 2000, 190, 1163–1185. [Google Scholar] [CrossRef]
- Lin, W.Y.; Hsiao, K.M. Co-rotational formulation for geometric non-linear analysis of doubly-symmetric thin-walled beams. Comput. Methods Appl. Mech. Eng. 2001, 190, 6023–6052. [Google Scholar] [CrossRef]
- Rizzetto, F.; Jansen, E.; Strozzi, M.; Pellicano, F. Nonlinear dynamic stability of cylindrical shells under pulsating axial loading via Finite Element analysis using numerical time integration. Thin-Walled Struct. 2019, 143, 106213. [Google Scholar] [CrossRef]
- Gonçalves, P.B.; Del Prado, Z.J.G.N. Nonlinear oscillations and stability of parametrically excited cylindrical shells. Meccanica 2002, 37, 569–597. [Google Scholar] [CrossRef]
- Popov, A.A. Parametric resonance in cylindrical shells: A case study in the nonlinear vibration of structural shells. Eng. Struct. 2003, 25, 789–799. [Google Scholar] [CrossRef]
- Yu, W.; Volovoi, V.V.; Hodges, D.H.; Hong, X. Validation of the variational asymptotic beam sectional analysis (VABS). AIAA J. 2002, 40, 2105–2112. [Google Scholar] [CrossRef] [Green Version]
- Yu, W.; Hodges, D.H.; Volovoi, V.V.; Fuchs, E.D. A Generalized vlasov theory for composite beams. Thin-Walled Struct. 2005, 43, 1493–1511. [Google Scholar] [CrossRef]
- Basaglia, C.; Camotim, D.; Silvestre, N. Post-buckling analysis of thin-walled steel frames using generalised beam theory (GBT). Thin-Walled Struct. 2013, 62, 229–242. [Google Scholar] [CrossRef]
- Genoese, A.; Genoese, A.; Bilotta, A.; Garcea, G. A Geometrically exact beam model with non-uniform warping coherently derived from the saint venant rod. Eng. Struct. 2014, 68, 33–46. [Google Scholar] [CrossRef]
- Magisano, D.; Leonetti, L.; Garcea, G. Advantages of the mixed format in geometrically nonlinear analysis of beams and shells using solid finite elements. International J. Numer. Methods Eng. 2017, 109, 1237–1262. [Google Scholar] [CrossRef]
- Carrera, E.; Parisch, H. An Evaluation of geometrical nonlinear effects of thin and moderately thick multilayered composite shells. Comp. Struct. 1997, 40, 11–24. [Google Scholar] [CrossRef]
- Kim, D.; Chaudhuri, R.A. Full and von karman geometrically nonlinear analyses of laminated cylindrical panels. AIAA J. 1995, 33, 2173–2181. [Google Scholar] [CrossRef]
- Carrera, E.; Giunta, G.; Petrolo, M. Beam Structures: Classical and Advanced Theories; John Wiley and Sons: Hoboken, NJ, USA, 2010. [Google Scholar]
- Carrera, E.; Cinefra, M.; Petrolo, M.; Zappino, E. Finite Element Analysis of Structures through Unified Formulation; John Wiley and Sons: Hoboken, NJ, USA, 2014. [Google Scholar] [CrossRef]
- Cinefra, M. Free-vibration analysis of laminated shells via refined MITC9 elements. Mech. Adv. Mater. Struct. 2016, 23, 937–947. [Google Scholar] [CrossRef] [Green Version]
- Pagani, A.; De Miguel, A.G.; Petrolo, M.; Carrera, E. Analysis of laminated beams via unified formulation and legendre polynomial expansions. Comp. Struct. 2016, 156, 78–92. [Google Scholar] [CrossRef] [Green Version]
- Pagani, A.; Carrera, E. Unified formulation of geometrically nonlinear refined beam theories. Mech. Adv. Mater. Struct. 2016, 25, 15–31. [Google Scholar] [CrossRef] [Green Version]
- Pagani, A.; Carrera, E. Large-deflection and post-buckling analyses of laminated composite beams by Carrera Unified Formulation. Comp. Struct. 2017, 170, 40–52. [Google Scholar] [CrossRef] [Green Version]
- Zappino, E.; Viglietti, A.; Carrera, E. The analysis of tapered structures using a component-wise approach based on refined one-dimensional models. Aerospace Sci. Technol. 2017, 65, 141–156. [Google Scholar] [CrossRef]
- Arruda, M.R.T.; Castro, L.M.S.; Ferreira, A.J.M.; Martins, D.; Correia, J.R. Physically non-linear analysis of beam models using Carrera Unified Formulation. Comp. Struct. 2018, 195, 60–73. [Google Scholar] [CrossRef] [Green Version]
- Augello, R.; Carrera, E.; Pagani, A. Unified theory of structures based on micropolar elasticity. Meccanica 2019, 54, 1785–1800. [Google Scholar] [CrossRef]
- Xu, X.; Augello, R.; Yang, H. The generation and validation of a CUF-based FEA model with laser-based experiments. Mech. Adv. Mater. Struct. 2019, 2019, 1–8. [Google Scholar] [CrossRef]
- Severino, S.; Zappino, E.; Pagani, A.; Gigliotti, M.; Pannier, Y.; Carrera, E. A variable kinematic one-dimensional model for the hygro-mechanical analysis of composite materials. Comp. Struct. 2020, 242, 11208. [Google Scholar] [CrossRef] [Green Version]
- Demirbas, M.D.; Caliskan, U.; Xu, X.; Filippi, M. Evaluation of the bending response of and thin-walled FG beams with CUF. Mech. Adv. Mater. Struct. 2020, 2020, 1–10. [Google Scholar] [CrossRef]
- De Pietro, G.; Giunta, G.; Hui, Y.; Belouettar, S.; Hu, H.; Carrera, E. A novel computational framework for the analysis of bistable composite beam structure. Comp. Struct. 2021, 257, 113167. [Google Scholar] [CrossRef]
- Filippi, M.; Carrera, E. Stress analyses of viscoelastic three-dimensional beam-like structures with low- and high-order one-dimensional finite elements. Meccanica 2020. In press. [Google Scholar] [CrossRef]
- Wu, B.; Pagani, A.; Filippi, M.; Chen, W.Q.; Carrera, E. Accurate stress fields of post-buckled laminated composite beams accounting for various kinematics. Int. J. Non-Linear Mech. 2019, 111, 60–71. [Google Scholar] [CrossRef]
- Pagani, A.; Augello, R.; Carrera, E. Frequency and mode change in the large deflection and post-buckling of and thin-walled beams. J. Sound Vibrat. 2018, 432, 88–104. [Google Scholar] [CrossRef]
- Carrere, E.; Pagani, A.; Augello, R. Effect of large displacements on the linearized vibration of composite beams. Int. J. Non-Linear Mech. 2020, 120, 103390. [Google Scholar] [CrossRef]
- Carrera, E.; Pagani, A.; Azzara, R.; Augello, R. Vibration of metallic and composite shells in geometrical nonlinear equilibrium states. Thin-Walled Struct. 2020, 157, 107131. [Google Scholar] [CrossRef]
- Carrera, E.; Pagani, A.; Augello, R. On the role of large cross-sectional deformations in the nonlinear analysis of composite thin-walled structures. Arch. Appl. Mech. 2020, 91, 1605–1621. [Google Scholar] [CrossRef]
- Demirbas, M.D.; Xu, X.; Carrera, E.; Yang, H.; Augello, R. Evaluation of stress distributions in the geometrical nonlinear regime of functionally graded structures. Comp. Struct. 2020, 246, 112385. [Google Scholar] [CrossRef]
- Carrera, E.; Pagani, A.; Augello, R. Large deflection and post-buckling of thin-walled structures by finite elements with node-dependent kinematics. Acta Mech. 2021, 232, 591–617. [Google Scholar] [CrossRef]
- Kvaternik, S.; Filippi, M.; Lanc, D.; Turkalj, G.; Carrera, E. Comparison of classical and refined beam models applied on isotropic and FG thin-walled beams in nonlinear buckling response. Comp. Struct. 2019, 229, 111490. [Google Scholar] [CrossRef]
- Bathe, K.J. Finite Element Procedure; Prentice-Hall: Upper Saddle River, NJ, USA, 1996. [Google Scholar]
- Hughes, T.J.R. The Finite Element Method: Linear Static and Dynamic Finite Element Analysis; Courier Corporation: North Chelmsford, MA, USA, 2012. [Google Scholar]
- Carrera, E.; Petrolo, M. Refined beam elements with only displacement variables and plate/shell capabilities. Meccanica 2012, 47, 537–556. [Google Scholar] [CrossRef]
- Carrera, E.; Petrolo, M. Refined one-dimensional formulations for laminated structure analysis. AIAA J. 2012, 50, 176–189. [Google Scholar] [CrossRef]
- Carrera, E.; Pagani, A. Free vibration analysis of civil engineering structures by component-wise models. J. Sound Vib. 2014, 333, 4597–4620. [Google Scholar] [CrossRef]
- Nemat-Alla, M. Reduction of thermal stresses by developing two dimensional functionally graded materials. Int. J. Solids Struct. 2003, 40, 7339–7356. [Google Scholar] [CrossRef]
- Mori, T.; Tanaka, K. Average stress in matrix and average elastic energy of materials with misfittings inclusions. Acta Metall. 1973, 21, 517–574. [Google Scholar] [CrossRef]

























| Ref. [49] | ||
|---|---|---|
| critical buckling load |
Publisher’s Note: MDPI stays neutral with regard to jurisdictional claims in published maps and institutional affiliations. |
© 2021 by the authors. Licensee MDPI, Basel, Switzerland. This article is an open access article distributed under the terms and conditions of the Creative Commons Attribution (CC BY) license (https://creativecommons.org/licenses/by/4.0/).
Share and Cite
Carrera, E.; Demirbas, M.D.; Augello, R. Evaluation of Stress Distribution of Isotropic, Composite, and FG Beams with Different Geometries in Nonlinear Regime via Carrera-Unified Formulation and Lagrange Polynomial Expansions. Appl. Sci. 2021, 11, 10627. https://doi.org/10.3390/app112210627
Carrera E, Demirbas MD, Augello R. Evaluation of Stress Distribution of Isotropic, Composite, and FG Beams with Different Geometries in Nonlinear Regime via Carrera-Unified Formulation and Lagrange Polynomial Expansions. Applied Sciences. 2021; 11(22):10627. https://doi.org/10.3390/app112210627
Chicago/Turabian StyleCarrera, Erasmo, Munise Didem Demirbas, and Riccardo Augello. 2021. "Evaluation of Stress Distribution of Isotropic, Composite, and FG Beams with Different Geometries in Nonlinear Regime via Carrera-Unified Formulation and Lagrange Polynomial Expansions" Applied Sciences 11, no. 22: 10627. https://doi.org/10.3390/app112210627
APA StyleCarrera, E., Demirbas, M. D., & Augello, R. (2021). Evaluation of Stress Distribution of Isotropic, Composite, and FG Beams with Different Geometries in Nonlinear Regime via Carrera-Unified Formulation and Lagrange Polynomial Expansions. Applied Sciences, 11(22), 10627. https://doi.org/10.3390/app112210627

