Abstract
Xenobiotic Triclosan (TCS) is of great concern because of its existence in a variety of personal, household and healthcare products and continuous discharge in water worldwide. Excessive use of TCS-containing sanitizers and antiseptic products during the COVID-19 pandemic further increased its content in aquatic ecosystems. The present study deals with the cyto-genotoxic effects and biochemical alterations in the hatchlings of Labeo rohita on exposure to environmentally relevant concentrations of TCS. Three-days-old hatchlings were exposed to tap water, acetone (solvent control) and 4 environmentally relevant concentrations (6.3, 12.6, 25.2 and 60 µg/L) of TCS for 14 days and kept for a recovery period of 10 days. The significant concentration-dependent decline in cell viability but increase in micronucleated cells, nucleo-cellular abnormalities (NCAs) and DNA damage parameters like tail length, tail moment, olive tail moment and percent of tail DNA after exposure persisted till the end of recovery period. Glucose, triglycerides, cholesterol, total protein, albumin, total bilirubin, uric acid and urea (except for an increase at 60 µg/L) showed significant (p ≤ 0.05) concentration-dependent decrease after 14 days of exposure. The same trend (except for triglycerides, albumin and total bilirubin) continued till 10 days post exposure. In comparison to control, transaminases (alanine and aspartate aminotransferases) increased (p ≤ 0.05) after exposure as well as the recovery period, while a decline in alkaline phosphatase after exposure was followed by a significant increase during the recovery period. The results show that the environmentally relevant concentrations of TCS cause deleterious effects on the hatchlings of L. rohita.
1. Introduction
Excessive use of pharmaceuticals and personal care products (PPCPs) by the modern population has loaded the aquatic ecosystems with xenobiotics [1]. PPCPs are a class of emerging contaminants ubiquitously found in water and soil all over the world and cause deleterious effects on humans and non-target organisms. Triclosan (TCS), a common antibacterial and antifungal agent, is incorporated in a majority of household products such as soap, shampoo, detergent, cleansing kits, chopping boards and containers. During the COVID-19 pandemic, excessive use of TCS-containing sanitizers and handwash has further increased its discharge into water bodies. One of the serious issues related to TCS is its incomplete removal by the conventional waste water treatment plants [2]. Dhillon et al. [3] reported concentrations of TCS in the range of 0.0014–40 µg/L in the surface water of lakes, rivers and streams with direct input of raw waste water and in the range of 100–53,000 µg/kg dry weight in the sediments of fresh water bodies. The concentration of TCS has been reported to be 3.8–5.16 µg/L in the Tamiraparani River of India [4]. However, Nag et al. [5] detected TCS levels in the range of 1.1–9.65 µg/L in the surface water, 5.11–50.36 µg/kg in the sediments and 13–1040 µg/kg in the fish of the Gomti River in India. High concentrations of TCS have also been recorded in different fish species (91.1–589 µg/kg) of the Torsa River in India [6].
TCS is reported to cause varying degrees of toxicity in aquatic organisms such as developmental abnormalities [7], behavioral alterations [8], hematological and histopathological changes [9], endocrine disruption [10], oxidative stress [7,11] and transcriptomic alterations [12,13]. Due to its antiseptic nature, it disturbs normal cell functions, which leads to cytotoxic [14], clastogenic and aneugenic effects in organisms. Earlier studies have reported significant cytotoxic and genotoxic effects from TCS in Dreissena polymorpha [15], Oreochromis niloticus [16], embryos of Danio rerio [17], Pangasianodon hypophthalmus [18,19], adult zebra fish [20] and Labeo rohita [9,13].
Of all the organisms, fishes are sensitive to even low levels of such xenobiotics in a water body, as these may enter the fish body from water as well as food at the same time and affect its normal physiology, biochemistry and metabolism [21,22,23,24]. Biochemical profiling in fishes is consideredas an essential tool against environmental stress, as it provides an early warning signal for the target organs of toxicity and health status of fish and aquatic ecosystem [25]. TCS-induced significant biochemical changes have been reported in zebra fish [26], Channa punctatus [27], Oreochromis niloticus [16], Labeo rohita [9] and Catla catla [28]. Marked variations in biochemical parameters may ultimately cause harmful effects in both exposed fishes and consumers.
The goal of the present study was to evaluate the cyto-genotoxicity and biochemical toxicity of 4 environmentally relevant concentrations (6.3, 12.6, 25.2 and 60 µg/L) of TCS to the hatchlings of an important food fish, L. rohita, after 14 days of exposure and 10-days depuration period. The selected concentrations were 1/20, 1/10, 1/5 and 1/2 of 96-h LC50 of TCS for the hatchlings already reported in our previous study [13], and the interaction of fish with these levels of TCS is expected in nature. The selected concentrations were non-lethal, and evaluation of the biochemical and genotoxicity parameters after extended exposure to these concentrations had its own importance because of the absence of immediate visible signs of toxicity. Physiological similarity of fish with mammals, higher sensitivity and susceptibility in their early stages to stress [11,29,30] and importance of fish in the food chain of man make the results suitable for setting safety limits for food fish. To the best of our knowledge, no study has reported the effect of sublethal concentrations of TCS on the selected parameters in the early life stages of fish till date.
2. Materials and Methods
2.1. Chemicals
TCS, with the commercial name Irgasan (CAS 3380-34-5 and purity ≥97%), was purchased from Sigma-Aldrich (Burlington, MA, USA), and a stock solution of 10 mg/mL was prepared in acetone. All other chemicals used in the study were of analytical grade.
2.2. Test Organisms
Fertilized eggs of L. rohita were collected from the circular hatchery of the government fish seed farm, Rajasansi, Amritsar. The embryos were transported in oxygenated bags to laboratory and kept for hatching in plastic pools (10-L capacity) containing dechlorinated tap water (pH 7.3–7.9 and temperature 25 ± 1.2 °C). Three-days-old hatchlings (total: 1200; 200/concentration with 5 replicates containing 40 hatchlings each) were exposed to tap water (control), acetone (vehicle control) 6.3, 12.6, 25.2 and 60 µg/L TCS for 14 days. The highest concentration (60 µg/L) was LC0 in our previous study [13]. The test water was changed on alternate days after 1 h of feeding the hatchlings with boiled egg yolk. After 14 days, pooled hatchlings from each replicate were used for cyto-genotoxicity [cell viability (10), comet (20) and micronucleus assays (20)] and biochemical studies (50), and the remainingr were kept for 10 days in tap water to recover from the stress of TCS exposure. The same tests were performed after recovery, and the number of hatchlings used for the cell viability, comet, MN and biochemical studies were 6, 12, 12 and 30, respectively. Average weight of the hatchlings after exposure and the recovery period were 2.0 and 3.4 mg, respectively.
2.3. Cell Viability Test
Hatchlings were homogenized in 500 µL of phosphate buffer saline (pH 7.4) and centrifuged at 500× g for 10 min. Supernatant was discarded, and the pellet was resuspended in 500 µL PBS and centrifuged again. After 3–4 consecutive centrifugations, the pellet was resuspended in 100 µL PBS. Then, 5 µL of cell suspension and 24 µL of dye (100 µg/mL ethidium bromide and 100 µg/mL acridine orange) were taken on a slide, covered with a coverslip, scanned under a Nikon ECLIPSE E200 (Tokyo, Japan) fluorescent microscope at 40× and photographed with Nikon D5300 camera. The viable cells appeared green, the necrotic cells were red, and the apoptotic cells were yellow (Figure 1) as suggested by Er et al. [31]. A total of 1500 cells/exposure group (500/replicate) were scored for this study.
Figure 1.
Photographs showing viable cells (green), necrotic cells (red) and apoptotic cells (yellow).
2.4. Micronucleus Assay
Micronucleus assay was performed by the protocol of Sharma and Chadha [32] with some modifications. Hatchlings were kept in 1 mL Carnoy’s fixative (6:3:1 ethanol:chloroform:acetic acid) for 1 h. The hatchlings were then kept in 25% acetic acid for 15 min, homogenized and centrifuged at 500× g for 10 min. Supernatant was discarded, and centrifugation was repeated 2–3 times after the addition of fresh 25% acetic acid. Finally, the pellet was resuspended in 100 µL of acetic acid and smeared on a clean slide. The slide was dried at room temperature and stained with 5% Giemsa for 30 min. The slides were destained with distilled water, dried properly and scanned under an Olympus BX43 microscope at 100× magnification. A total of 1500 cells/treatment (500 per replicate) were scored for the presence of micronuclei (MN) and nucleo-cellular abnormalities (NCAs).
2.5. Comet Assay
Comet assay was performed according to the method of Singh et al. [33] with slight modifications. Cell suspension was prepared by homogenizing approximately 40 mg of hatchlings in 1 mL of PBS (pH 7.4). The glass slides were coated with 1% normal melting point agarose 12 h prior to second layer. The second layer of 35 µL of the cell suspension mixed with 120 µL of 0.5% low melting point agarose (LMPA) was applied over the base layer and covered with a coverslip. Slides were again coated with 150 µL of 0.5% LMPA. After complete gel solidification, slides were immersed in lysis buffer (pH 10) for 3 h at 4 °C in dark. Then, the slides were subjected to electrophoresis for 20 min in electrophoresis buffer at 300 mA and 20 V. Finally, the slides were neutralized with Tris buffer (pH 7.4) for 15 min and stained with ethidium bromide. A total of 300 cells per exposure group (100 per replicate) were scanned under a fluorescent microscope (Nikon ECLIPSE E200) at 40× and photographed with a Nikon D5300 camera. Casp Lab software was used to evaluate the extent of DNA damage in the form of tail length (TL), tail moment (TM), olive tail moment (OTM) and percent tail DNA (%TDNA).
2.6. Biochemical Changes
The hatchlings (100 mg) were homogenized in 1 mL of PBS (7.4) and centrifuged at 10,000 rpm for 25 min. The levels of glucose (Glu), triglycerides (TG), cholesterol (Chol), total protein (TP), albumin (Alb), urea (U), uric acid (UA), total bilirubin (Tbili), alkaline phosphatase (ALP), aspartate transaminase (AST) and alanine transaminase (ALT) were estimated by a Benesphera Clinical Chemistry C71 analyzer, Pennsylvania, United States (using Ebra Mannheim kits).
2.7. Statistical Analysis
One-way ANOVA was used to find out significance level (p ≤ 0.05 and p ≤ 0.01) between treatments, and t-test was used for comparing the exposure and recovery values. Tukey’s HSD test was performed to obtain differences among the means. The results have been presented as mean ± SD. Statistical analysis was carried out with the help of SPSS version 16.0.
3. Results
3.1. Cytotoxicity
There was a significant (p ≤ 0.01) concentration-dependent reduction in the frequency of viable cells after exposure as well as the recovery period (Table 1). The decline at 6.3, 12.6, 25.2 and 60 µg/L was 4.9, 6.3, 14.43 and 17.82% after exposure and 1.42, 6.96, 8.69 and 12.65% after the recovery period, respectively. The necrotic and apoptotic cell frequencies, on the other hand, increased significantly (p ≤ 0.01) in a concentration-dependent manner after exposure and recovery. After 14 days of exposure, the increase at 6.3, 12.6, 25.2 and 60 µg/L was 34.28, 45.71, 116.14 and 151.43% for the necrotic cells and 83.40, 102.43, 199.59 and 223.89% for the apoptotic cells, respectively. Percent increase over control after recovery was 9.61, 28.09, 47.45 and 91.12% for necrotic cells and 14.74, 104.67, 109.58 and 122.85% for the apoptotic cells at 6.3, 12.6, 25.2 and 60 µg/L, respectively. After recovery, percentage of viable and apoptotic cells increased significantly (p ≤ 0.01) over exposure values only at 60 and 12.6 µg/L, respectively, while that of necrotic cells declined significantly only at the highest concentration.
Table 1.
TCS-induced variation in viable, necrotic and apoptotic cells during the exposure and recovery period.
3.2. Micronucleus Assay
Frequency of MN and NCA increased significantly (p ≤ 0.01) in a concentration-dependent manner after the exposure and recovery period. After depuration, the frequency of NCA was also significantly (p ≤ 0.01) higher than the respective exposure values (Table 2). After 14 days of exposure, only micronuclei, binucleated cells and nuclear fragmentation were observed, but after recovery, along with these, blebbed nuclei, notched nuclei, nuclear buds, deformed nuclei, vesicle formation, extrusion of nuclei, ghost cells, stickiness, cytoplasmic bridges, vacuolation and lytic or necrotic cells were prominent (Figure 2). The maximum increase over control was observed in the frequency of cells with nuclear fragmentation (4.39-fold) and binucleated cells (2.05-fold) after 10 days of recovery at the highest concentration. The increase over control in MN and NCA frequencies at the highest concentration was 5.45- and 3.46-fold, respectively, after exposure, while it was 6.36- and 4.79-fold, respectively, after recovery.
Table 2.
TCS-induced variation in micronucleated cells (MN) and nucleo-cellular abnormalities (NCAs) during the exposure and recovery period.
Figure 2.
TCS-induced nuclear and cellular abnormalities during the exposure and recovery period: normal cell (a), micronucleus (b), binucleated or dacrocyte (c), blebbed nucleus (d), nuclear notch (e), deformed nucleus (f), nuclear bud (g), extrusion nucleus (h,i), ghost cell and nucleoid (j), nuclear fragmentation (k), vesicle formation (l), vacuolation (m), stickiness (n), cytoplasmic bridge (o), chain of cells (p) and lytic or necrotic cells (q,r). cy = cytoplasm and nu-nucleus.
3.3. Comet Assay
TCS-induced significant (p ≤ 0.01) concentration-dependent DNA damage in the form of increased TL, TM, OTM and TDNA (Table 3, Figure 3). At the highest concentration of TCS, the increase over control after 14 days was 0.78-fold for TL, 1.98-fold for TM, 1.22-fold for OTM and 0.81-fold for TDNA, while after recovery, it was 0.41-, 0.90-, 0.50- and 0.47-fold for TL, TM, OTM and TDNA, respectively. Compared with the 14-days values, a significant (p ≤ 0.05) decrease was observed in all the parameters after recovery. The decline for TL, TM and OTM was significant (p ≤ 0.05) at all concentrations, but for TDNA, it was significant (p ≤ 0.05) at 25.2 and 60 µg/L only.
Table 3.
TCS-induced variation in tail length (TL), tail moment (TM), olive tail moment (OTM) and percent tail DNA (TDNA) after the exposure and recovery period.
Figure 3.
TCS-induced DNA damage during the exposure and recovery period. ND = no damage; MD = mild damage; SD = severe damage.
3.4. Biochemical Changes
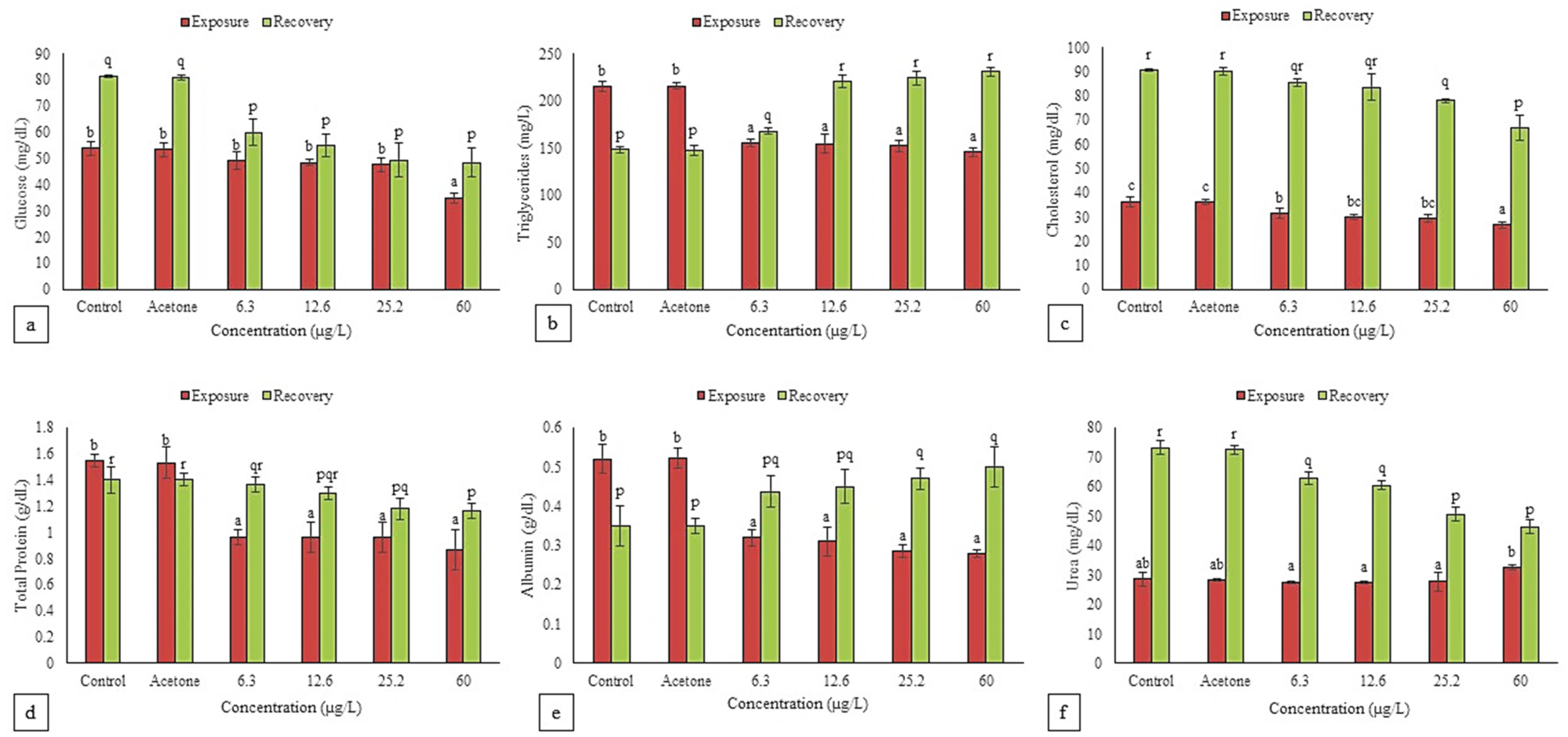
Values of all the parameters for solvent control were non-significantly different from control. TCS caused concentration-dependent alterations in the biochemical parameters after exposure, and the stress prolonged till the end of recovery period (Figure 4 and Figure 5). Decline was observed in Glu, Chol, TP, UA and U (except for an increase at 60 µg/L after exposure) after exposure as well as the recovery period. On the other hand, decline in TG, Alb, Tbili and ALP after exposure was followed by an increase after recovery, while AST and ALT increased after exposure and recovery.
Figure 4.
TCS-indued variation in the contents of glucose (a), triglycerides (b), cholesterol (c), total protein (d), albumin (e) and urea (f) in the hatchlings of L. rohita after the exposure and recovery period. Values are mean ± SD, n = 3, and different alphabets represent significant (p ≤ 0.05) differences within the treatments after exposure (a–c) and recovery (p–r).
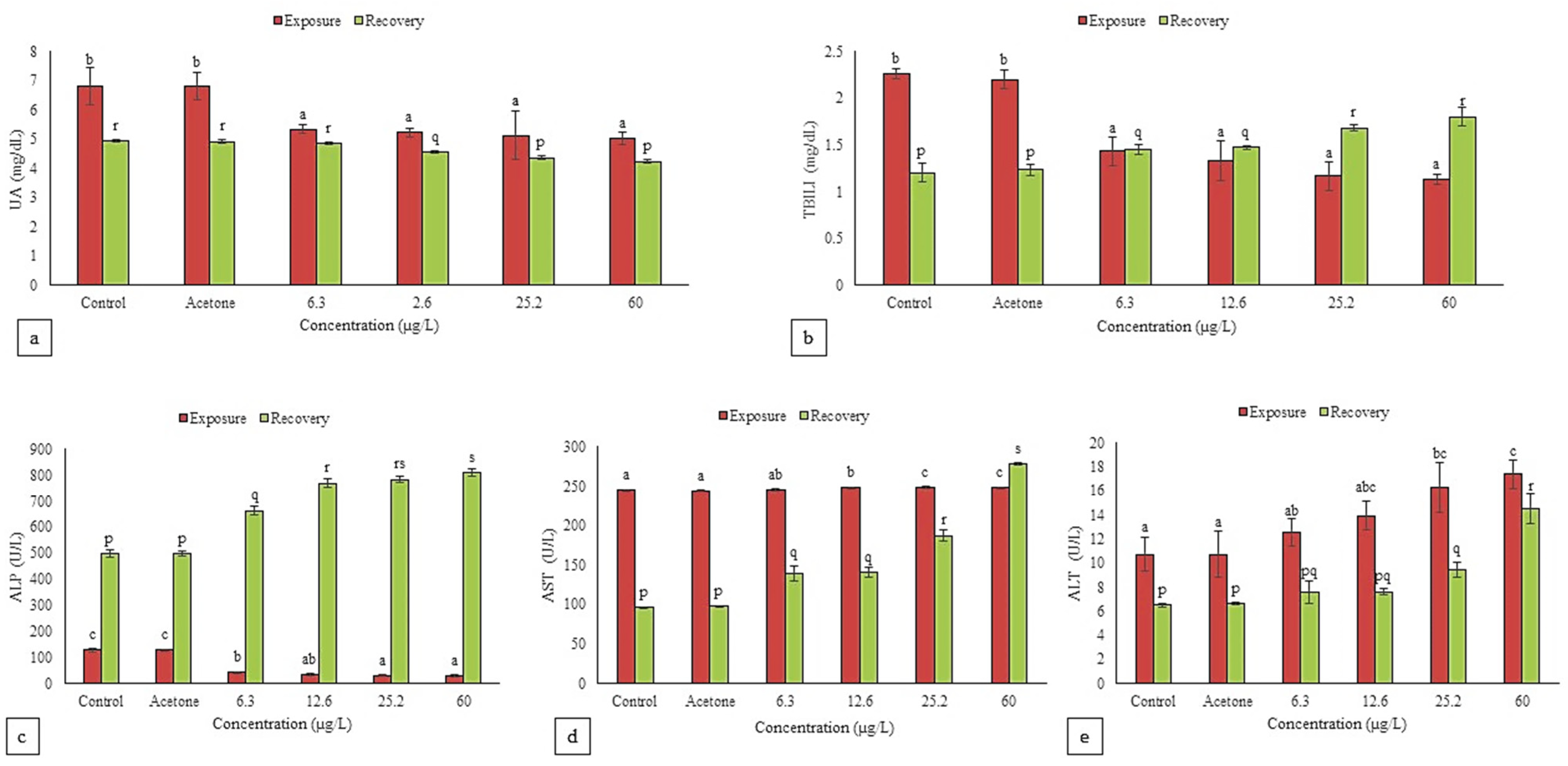
Figure 5.
TCS-induced variations in the contents of uric acid (a) and total bilirubin (b) and activity of ALP (c), AST (d) and ALT (e) in the hatchlings of L. rohita after the exposure and recovery period. Values are mean ± SD, n = 3, and different alphabets represent significant (p ≤ 0.05) differences within the treatments after exposure (a–c) and recovery (p–s).
3.4.1. Glucose
Decline over control in Glu was significant (p ≤ 0.01) only at 60 µg/L after exposure but at all the concentrations after 10 days of recovery. Although there was an increase over the exposure values in the level of Glu after recovery, but it was much less than that of control. At the highest concentration of TCS, decline over control was 35% after exposure and 41% after recovery.
3.4.2. Cholesterol and Triglycerides
Chol declined significantly (p ≤ 0.01) over control after exposure and recovery, while decline in TG (p ≤ 0.01) after exposure was followed by an increase (p ≤ 0.01) after recovery. In the recovered hatchlings, levels of both TG (except for a significant decline at control and solvent control) and Chol increased significantly (p ≤ 0.05) compared with the 14d values. Decline in Chol over control after recovery was lower compared with the exposure values at 6.3, 12.6 and 25.2 µg/L but the same at 60 µg/L (26%). Decline in TG after exposure (32%) was followed by an increase (55%) over control after recovery at the highest concentration.
3.4.3. Total Protein and Albumin
TP showed a significant (p ≤ 0.01) decline over control after exposure and recovery, while decline (p ≤ 0.01) in Alb after exposure was followed by an increase (p ≤ 0.01) after recovery. The recovery values of both TP and Alb were more than their respective exposure values. At the highest concentration, TP declined over control by 44% and 16% after exposure and recovery, respectively, while Alb declined over control by 46% after exposure but increased by 43% over control after recovery.
3.4.4. Urea, Uric Acid and Total Bilirubin
U (except for a significant increase at 60 µg/L) and UA declined significantly (p ≤ 0.01) over control after exposure and recovery, while decline (p ≤ 0.01) in Tbili after exposure was followed by an increase over control (p ≤ 0.01) after recovery. Recovery values of U and Tbili (except for a decline in control and solvent control) were greater than the exposure values. However, UA after recovery was significantly (p ≤ 0.05) lower than the exposure level at all the concentrations.
3.4.5. ALP, AST and ALT
A significant decline (p ≤ 0.01) over control in ALP after exposure was followed by a significant increase (p ≤ 0.01) after recovery. At 60 µg/L, it declined by 77% after exposure but increased by 62% after recovery. AST and ALT were significantly (p ≤ 0.01) induced by TCS during exposure as well as recovery period. At the highest concentration, increase over control in the activity of AST and ALT after recovery was much higher (190 and 124%, respectively) than the exposure (1.5 and 62%, respectively). However, in comparison with the exposure levels, AST (except for a significant rise at 60 µg/L) and ALT showed decline (significant only at control 12.6 and 25.2 µg/L), while the activity of ALP increased significantly (p ≤ 0.01) at all concentrations after recovery.
4. Discussion
PPCPs are found in majority of water bodies [34], so understanding the adverse effects of the environmentally relevant concentrations of these toxicants on aquatic organisms seems to be an integral component of environmental monitoring and management. Monitoring their effects on food fishes is very pertinent, as contaminated fish pose a direct threat to consumers, especially humans. The cyto-genotoxic effects of the selected concentrations of TCS were clearly visible from a concentration-dependent increase in the frequency of necrotic and apoptotic cells and the elevation of MN, NCA and comet parameters. Cyto-genotoxicity of TCS seems mainly due to the formation of crosslinks by the chemical with DNA and the intercalating nature of its metabolites like 2, 8-dichlorodibenzo-P-dioxin [35]. Martin et al. [36] suggested that the main reason behind apoptosis caused by a xenobiotic is the activation of endogenous nucleases and the formation of oligonucleosomal fragments of DNA. The fragmentation of DNA is directly associated with an increase in the frequency of apoptotic cells [37], as is clear from the concentration-dependent increase in nuclear fragmentation and cell lysis during the depuration period.
TCS-induced stress is reported to elevate expression of caspase 3 and Bax in the neural stem cells of rats [38] and that of caspases (8, 9 and 3) and fas receptors in the neocortical neurons of Swiss mice [39]. Caspase 8 initiates exogenous pathway, while caspase 9 initiates endogenous pathway of apoptosis in stressed cells. TCS causes concentration-dependent membrane disruption, cell lysis and inhibition of protein synthesis, as suggested by Schweizer [14]. This directly supports our observations, and it could be the possible cause of cytotoxic effect of TCS. When defense system of a cell is unable to repair severe DNA damage, the damaged cell undergoes necroptosis or necrosis. In the present study, decreased cell viability and increased necrotic and apoptotic cell frequency in the hatchlings were supported by the results of Parenti et al. [17], who observed that 1 µg/L TCS for 120 h significantly decreased cell viability and increased necrotic cell frequency in the embryos of Danio rerio. Our study is also corroborated by Binelli et al. [15], who observed that exposure of 1, 2 and 3 nM TCS for 96 h caused a dose-dependent increase in apoptotic cell frequency in the hemocytes of zebra mussel. Decreased cell viability and increased apoptotic cell frequency were also reported in hepatocyte cell lines of zebra fish after 24 h of exposure to 0.5, 1 and 2 mg/L TCS [40].
The clastogenic pollutants increase the mutation frequency in DNA, which leads to different types of nuclear and cellular abnormalities which can be easily observed with the help of MN assay. Micronuclei are the chromosomal fragments or the lagging chromosomes formed due to improper segregation of chromosomes during cell division or due to mitotic failure [41,42]. It has been highlighted that TCS disturbs genetic balance by blocking cytokinesis of normal cells, which may lead to carcinogenesis [43]. We also observed a concentration-dependent increase in binucleated cells during the post exposure period. TCS induces formation of reactive oxygen species that cause deleterious effects on nucleic acids and macromolecules [44], and this could be the probable reason for the greater increase in the MN and NCA frequencies during the post exposure period in the present study. Our results are consistent with the results of Binelli et al. [15], Emery [45], Vijitha et al. [16] and Paul et al. [18,19]. An increase in nuclear abnormalities has also been reported in blood cells of gold fish after exposure to 0.1399, 0.2798 and 0.5596 mg/L TCS for 14 days [46] and in Clarias gariepinus after 14 and 28 days of exposure to 0.30 and 1.60 mg/L TCS [47].
Comet assay is a simple, rapid and sensitive tool to evaluate the extent of DNA damage. Concentration-dependent increase in DNA damage in the present study was directly proportional to the increased frequency of apoptotic and necrotic cells during exposure as well as in the recovery period. TCS promotes the production of reactive oxygen species which break the crosslinks between DNA histones and DNA strands and cause DNA damage [19]. It has also been observed to alter DNA methylation and transcription of histone methyltransferases in the early life stages of zebra fish [48], which could be the possible reasons behind the dose-dependent increase in DNA damage in our study. The genotoxic potential of TCS has been reported in Driessena polymorpha [15], Tetrahymena thermophila [49], Eisenia fetida [50,51], Carassius auratus [46], Danio rerio [17], Pangasianodon hypophthalmus [18,19] and L. rohita [13]. Our results are supported by Hemalatha et al. [9] and Gyimah et al. [20], who reported significant DNA damage in L. rohita after exposure to 0.039 and 0.078 mg/L TCS for 7, 14, 21, 28 and 35 days and in the liver of zebrafish after exposure of 50, 100 and 150 µg/L TCS for 30 days, respectively.
Glucose monitoring is highly preferred in ecotoxicological studies because it indicates the physiological health of an organism. The significant decline in glucose content after exposure and recovery period might be attributed to an enhanced rate of glycolysis in the hatchlings under the stress of TCS. Rapid utilization of glucose to compensate for high energy demand during oxidative stress might be the possible reason behind the decrease in glucose level [52]. Similarly, Hemalatha et al. [9] observed a significant decline in glucose levels of L. rohita after 35 days of exposure to 39 and 78 µg/L TCS. Hypoglycemia has also been reported in C. punctatus under the stress of monocrotophos [21] and malathion [53]. Chol and TG are essential components of the cell membrane and important energy sources. These are also involved in cell signaling and molecular recognition pathways [54]. The probable cause of reduced Chol and TG levels in the present study seems to be malnutrition, low absorption and improper biosynthesis, as suggested by Hatami et al. [55]. Not only during exposure, but even during the recovery period, the TCS-exposed hatchlings ate much less, and their weight was also lower compared with the control hatchlings. TCS impairs lipid metabolism [56], which could be the possible reason for decrease in TG and Chol levels in exposed hatchings. Agrahari et al. [21] suggested that the accumulation of pesticides in fish tissues may inhibit the synthesis of Chol. The decline in TG content could also be corelated with its mobilization to meet the constant energy demand and utilization in membrane biogenesis under stress [54,57]. The increased concentration of TG after recovery may be attributed to nephritic syndrome and metabolic disorders [58,59]. Similar results were reported in C. punctatus after 21 days of exposure to 200 and 400 µg/L paraquat [60] and 25 and 50 µg/L chlorpyrifos [55].
Proteins are the important biomolecules that play a critical role in almost all the structures and functions of living organisms [61]. The depleted protein content in the present study may be due to proteolysis as a result of elevated energy demand for maintaining homeostasis, tissue repair and detoxification reactions during stress. Previous reports also showed that TCS significantly decreased the protein content in C. punctatus [27], Oreochromis niloticus [16] and Oreochromis mossambicus [62]. Alb is the most dominant plasma protein having storage and transport functions [63]. A decline in Alb after exposure may be attributed to cellular destruction, liver necrosis and the impairment of protein synthesis machinery [18]. Our finding is corroborated by Bera et al. [64], who reported a decrease in serum Alb in P. hypophthalmus on exposure to TCS. However, an increase in Alb is suggested due to liver damage [65], and this could be the underlying cause for the observed increase in Alb after the recovery period.
AST and ALT are important transaminases that act as crucial links between protein and carbohydrate metabolism and the mobilization of amino acids for gluconeogenesis [9]. Increased activity of AST and ALT after exposure and recovery period suggests enhanced transamination for the channeling of amino acids in the citric acid cycle [55]. The liver is the main site for detoxification and removal of xenobiotics, so a high concentration of transaminases is found in hepatocytes. Hepatic injuries and disruption of the cell membrane by xenobiotics elevate the activity of AST and ALT [55,66,67]. Enhanced activity of transaminases after TCS exposure has also been reported in L. rohita and Catla catla [9,28] and in embryos of L. rohita, Cyprinus carpio, Ctenopharyngodon idella and Cirrhinus mrigala [11,68]. ALP is an important enzyme present in the liver and cellular membranes and plays a key role in detoxification and membrane transport. The cells that line the bile duct of liver produce this enzyme [69]. The declined activity of ALP after exposure could be due to disruption of the plasma membrane, the inability of ion exchange channels to function and liver necrosis [55]. Exposure to TCS for 14 days and chlorpyrifos for 21 days was observed to significantly decrease the activity of ALP in catfish Pseudoplatystoma magdaleniatum [70] and C. carpio [55], respectively. However, increased ALP activity after recovery indicates damage to bile ducts [71]. During oxidative stress, rapid mobilization of metabolites and necrosis of cells can be linked with enhanced ALP activity [72], which directly supports our observations of a consecutive concentration-dependent increase in ALP activity and necrotic cells during exposure and recovery period.
U and UA are the final catabolic products of protein and purines, respectively, and their contents indicate the renal functioning of the organism [73]. Pesticidal exposure is suggested to cause various histopathological changes in the kidneys of fish (e.g., glomerular lesions, reduced nephron numbers, necrosis of hematopoietic tissue and degeneration of renal tubules) [74]. These could be the reasons for the declined contents of U and UA in the hatchlings in the present study. Hemalatha et al. [9] reported that TCS induced shrinkage of glomeruli and necrosis of renal tubules in L. rohita. The decline in U and UA in the present study could also be attributed to the inability of the liver to metabolize proteins and synthesize purines, respectively, as suggested by Adamu and Kori-Siakpere [75]. It seems that defects in renal reabsorption could have caused an increase in U at the highest concentration of TCS. The depletion of Tbili after exposure also indicates hepatic dysfunction, because bilirubin is a predominant hepatic pigment formed from the breakdown of heme and porphyrin rings [76]. A decline in Tbili content has also been reported in fresh water fish C. punctatus after exposure to malathion [53]. The significant elevation in Tbili after recovery could be due to obstructions in bile ducts and liver damage, as suggested by Jyoti and Narayan [77].
5. Conclusions
It is concluded that sublethal concentrations of TCS induced cyto-genotoxicity and biochemical alterations in the hatchlings of L. rohita. TCS showed long-lasting effects, as the toxicity persisted till the end of the recovery period. The data clearly show that TCS disrupts the cellnuclear membranes and normal functioning of cell. It altered the levels of biochemical constituents by inducing hepatic and renal toxicity. Collectively, these changes may become the underlying cause for altering fish diversity of the natural ecosystems in the long run.
Author Contributions
A.K. and S.S. (Sunil Sharma) designed the experiment. S.S. (Sunil Sharma), O.I.D., M.A. and S.S. (Simran Sharma) performed the experiments and analyzed the data. A.K., S.S. (Sunil Sharma) and C.F. drafted the manuscript. All authors have read and approved the final manuscript.
Funding
This research was funded by the Council of Scientific and Industrial Research (CSIR, Grant no. 09/254 (0272)- 2017-EMR-1) and the University Grant Commission’s Special Assistance Programme (UGC-SAP, Grant no. 4-4/2016/DRS-1).
Institutional Review Board Statement
Not applicable.
Informed Consent Statement
Not applicable.
Data Availability Statement
The data analyzed or generated during this study have been presented in the manuscript.
Acknowledgments
The authors are thankful to the Head, Department of Zoology Guru Nanak Dev University Amritsar for providing research facilities and the government fish seed farm Rajasansi, Amritsar for providing embryos of the experimental fish.
Conflicts of Interest
The authors declare no conflict of interest.
References
- Dann, A.B.; Hontela, A. Triclosan: Environmental exposure, toxicity and mechanisms of action. J. Appl. Toxicol. 2011, 31, 285–311. [Google Scholar] [CrossRef]
- Kasprzyk-Hordern, B.; Dinsdale, R.M.; Guwy, A.J. The removal of pharmaceuticals, personal care products, endocrine disruptors and illicit drugs during wastewater treatment and its impact on the quality of receiving waters. Water Res. 2009, 43, 363–380. [Google Scholar] [CrossRef]
- Dhillon, G.S.; Kaur, S.; Pulicharla, R.; Brar, S.K.; Cledón, M.; Verma, M.; Surampalli, R.Y. Triclosan: Current status, occurrence, environmental risks and bioaccumulation potential. Int. J. Environ. Res. Public Health 2015, 12, 5657–5684. [Google Scholar] [CrossRef]
- Ramaswamy, B.R.; Shanmugam, G.; Velu, G.; Rengarajan, B.; Larsson, D.G.J. GC-MS analysis and ecotoxicological risk assessment of triclosan, carbamazepine and parabens in Indian rivers. J. Hazard. Mater. 2011, 186, 1586–1593. [Google Scholar] [CrossRef]
- Nag, S.K.; Das Sarkar, S.; Manna, S.K. Triclosan–an antibacterial compound in water, sediment and fish of River Gomti, India. Int. J. Environ. Health Res. 2018, 28, 461–470. [Google Scholar] [CrossRef]
- Das, S.; Subir, S.; Nag, K.; Kumari, K.; Saha, K.; Bandyopadhyay, S. Occurrence and Safety Evaluation of Antimicrobial Compounds Triclosan and Triclocarban in Water and Fishes of the Multitrophic Niche of River Torsa, India. Arch. Environ. Contam. Toxicol. 2020, 79, 488–499. [Google Scholar] [CrossRef]
- Dar, O.I.; Sharma, S.; Singh, K.; Kaur, A. Teratogenicity and accumulation of triclosan in the early life stages of four food fish during the bioassay. Ecotoxicol. Environ. Saf. 2019, 176, 346–354. [Google Scholar] [CrossRef]
- Sahu, V.K.; Karmakar, S.; Kumar, S.; Shukla, S.P.; Kumar, K. Triclosan toxicity alters behavioral and hematological parameters and vital antioxidant and neurological enzymes in Pangasianodon hypophthalmus (Sauvage, 1878). Aquat. Toxicol. 2018, 202, 145–152. [Google Scholar] [CrossRef]
- Hemalatha, D.; Nataraj, B.; Rangasamy, B.; Shobana, C.; Ramesh, M. DNA damage and physiological responses in an Indian major carp Labeo rohita exposed to an antimicrobial agent triclosan. Fish Physiol. Biochem. 2019, 45, 1463–1484. [Google Scholar] [CrossRef]
- Rauty, S.A.; Angus, R.A. Triclosan has endocrine-disrupting effects in male western mosquitofish, gambusia affinis. Environ. Toxicol. Chem. 2010, 29, 1287–1291. [Google Scholar] [CrossRef]
- Dar, O.I.; Sharma, S.; Singh, K.; Sharma, A.; Bhardwaj, R.; Kaur, A. Biomarkers for the toxicity of sublethal concentrations of triclosan to the early life stages of carps. Sci. Rep. 2020, 10, 17322. [Google Scholar] [CrossRef]
- Capkin, E.; Ozcelep, T.; Kayis, S.; Altinok, I. Antimicrobial agents, triclosan, chloroxylenol, methylisothiazolinone and borax, used in cleaning had genotoxic and histopathologic effects on rainbow trout. Chemosphere 2017, 182, 720–729. [Google Scholar] [CrossRef]
- Sharma, S.; Dar, O.I.; Singh, K.; Thakur, S.; Kesavan, A.K.; Kaur, A. Genomic Markers for the Biological Responses of Triclosan Stressed Hatchlings of Labeo Rohita. ESPR 2021. [Google Scholar] [CrossRef]
- Schweizer, H.P. Triclosan: A widely used biocide and its link to antibiotics. FEMS Microbiol. Lett. 2001, 202, 1–7. [Google Scholar] [CrossRef]
- Binelli, A.; Cogni, D.; Parolini, M.; Riva, C.; Provini, A. In vivo experiments for the evaluation of genotoxic and cytotoxic effects of Triclosan in Zebra mussel hemocytes. Aquat. Toxicol. 2009, 91, 238–244. [Google Scholar] [CrossRef]
- Vijitha, C.K.; Asifa, K.P.; Chitra, K.C. Assessment of genotoxic and haematological consequence of triclosan in the Assessment of genotoxic and haematological consequence of triclosan in the fish, Oreochromis niloticus (Linnaeus, 1758). Int. J. Appl. Res. 2017, 3, 101–109. [Google Scholar]
- Parenti, C.C.; Ghilardi, A.; Della Torre, C.; Mandelli, M.; Magni, S.; Del Giacco, L.; Binelli, A. Environmental concentrations of triclosan activate cellular defence mechanism and generate cytotoxicity on zebrafish (Danio rerio) embryos. Sci. Total Environ. 2019, 650, 1752–1758. [Google Scholar] [CrossRef]
- Paul, T.; Shukla, S.P.; Kumar, K.; Poojary, N.; Kumar, S. Effect of temperature on triclosan toxicity in Pangasianodon hypophthalmus (Sauvage, 1878): Hematology, biochemistry and genotoxicity evaluation. Sci. Total Environ. 2019, 668, 104–114. [Google Scholar] [CrossRef]
- Paul, T.; Kumar, S.; Shukla, S.P.; Pal, P.; Kumar, K.; Poojary, N.; Biswal, A.; Mishra, A. A multi-biomarker approach using integrated biomarker response to assess the effect of pH on triclosan toxicity in Pangasianodon hypophthalmus (Sauvage, 1878). Environ. Pollut. 2020, 260, 114001. [Google Scholar] [CrossRef]
- Gyimah, E.; Dong, X.; Qiu, W.; Zhang, Z.; Xu, H. Sublethal concentrations of triclosan elicited oxidative stress, DNA damage, and histological alterations in the liver and brain of adult zebrafish. Environ. Sci. Pollut. Res. 2020, 27, 17329–17338. [Google Scholar] [CrossRef]
- Agrahari, S.; Pandey, K.C.; Gopal, K. Biochemical alteration induced by monocrotophos in the blood plasma of fish, Channa punctatus (Bloch). Pestic. Biochem. Physiol. 2007, 88, 268–272. [Google Scholar] [CrossRef]
- Prokić, M.D.; Gavrilović, B.R.; Radovanović, T.B.; Gavrić, J.P.; Petrović, T.G.; Despotović, S.G.; Faggio, C. Studying microplastics: Lessons from evaluated literature on animal model organisms and experimental approaches. J. Hazard. Mater. 2021, 414, 125476. [Google Scholar] [CrossRef]
- Sinha, R.; Jindal, R.; Faggio, C. Protective effect of emblica officinalis in cyprinus carpio against hepatotoxicity induced by malachite green: Ultrastructural and molecular analysis. Appl. Sci. 2021, 11, 3507. [Google Scholar] [CrossRef]
- Vajargah, M.F.; Mohsenpour, R.; Yalsuyi, A.M.; Galangash, M.M.; Faggio, C. Evaluation of Histopathological Effect of Roach (Rutilus rutilus caspicus) in Exposure to Sub-Lethal Concentrations of Abamectin. Water. Air. Soil Pollut. 2021, 232, 1–8. [Google Scholar] [CrossRef]
- Canli, E.G.; Dogan, A.; Canli, M. Serum biomarker levels alter following nanoparticle (Al2O3, CuO, TiO2) exposures in freshwater fish (Oreochromis niloticus). Environ. Toxicol. Pharmacol. 2018, 62, 181–187. [Google Scholar] [CrossRef]
- Sethuraman, S.; Kumar, T.R.; Vivekananthan, T. Triclosan Induced Alterations of Biochemical Parameters in Zebra Fish Brachydaniorerio (Ham.) and their Productive Role by Dietary Supplementation of Garlic Extract and L-Ascorbic acid (Vitamin C). Asian J. Pharmacol. Toxicol. 2015, 03, 5–12. [Google Scholar]
- Kola, R.K.; Mohd, A.R.; Yalavarthy, P.D. Research Article Effect of Triclosan on Total Protein Content in Fresh Water Fish, Channa Punctatus. Int. J. Recent Sci. Res. 2015, 6, 4641–4643. [Google Scholar]
- Hemalatha, D.; Rangasamy, B.; Nataraj, B.; Ramesh, M. Assessment of triclosan impact on enzymatic biomarkers in an Indian major carp, Catla catla. J. Basic Appl. Zool. 2019, 80, 1–8. [Google Scholar] [CrossRef]
- Sharma, S.; Dar, O.I.; Singh, K.; Kaur, A.; Faggio, C. Triclosan elicited biochemical and transcriptomic alterations in Labeo rohita larvae. Environ. Toxicol. Pharmacol. 2021, 88, 103748. [Google Scholar] [CrossRef]
- Cahova, J.; Blahova, J.; Plhalova, L.; Svobodova, Z.; Faggio, C. Do Single-Component and Mixtures Selected Organic UV Filters Induce Embryotoxic Effects in Zebrafish (Danio rerio)? Water 2021, 13, 2203. [Google Scholar] [CrossRef]
- Er, A.; Uçkan, F.; Rivers, D.B.; Sak, O. Cytotoxic effects of parasitism and application of venom from the endoparasitoid Pimpla turionellae on hemocytes of the host Galleria mellonella. J. Appl. Entomol. 2011, 135, 225–236. [Google Scholar] [CrossRef]
- Sharma, M.; Chadha, P. Widely used non-ionic surfactant 4-nonylphenol: Showing genotoxic effects in various tissues of Channa punctatus. Environ. Sci. Pollut. Res. 2017, 24, 11331–11339. [Google Scholar] [CrossRef]
- Singh, N.P.; McCoy, M.T.; Tice, R.R.; Schneider, E.L. A simple technique for quantitation of low levels of DNA damage in individual cells. Exp. Cell Res. 1988, 175, 184–191. [Google Scholar] [CrossRef] [Green Version]
- Freitas, R.; Silvestro, S.; Coppola, F.; Meucci, V.; Battaglia, F.; Intorre, L.; Soares, A.M.V.M.; Pretti, C.; Faggio, C. Combined effects of salinity changes and salicylic acid exposure in Mytilus galloprovincialis. Sci. Total Environ. 2020, 715, 136804. [Google Scholar] [CrossRef]
- Aranami, K.; Readman, J.W. Photolytic degradation of triclosan in freshwater and seawater. Chemosphere 2007, 66, 1052–1056. [Google Scholar] [CrossRef]
- Martin, S.J.; Green, D.R.; Cotter, T.G. Dicing with death: Dissecting the components of the apoptosis machinery. Trends Biochem. Sci. 1994, 19, 26–30. [Google Scholar] [CrossRef]
- Steinert, S.A. Contribution of apoptosis to observed DNA damage in mussel cells. Mar. Environ. Res. 1996, 42, 253–259. [Google Scholar] [CrossRef]
- Park, B.K.; Gonzales, E.L.T.; Yang, S.M.; Bang, M.; Choi, C.S.; Shin, C.Y. Effects of triclosan on neural stem cell viability and survival. Biomol. Ther. 2016, 24, 99–107. [Google Scholar] [CrossRef] [Green Version]
- Szychowski, K.A.; Sitarz, A.M.; Wojtowicz, A.K. Triclosan induces Fas receptor-dependent apoptosis in mouse neocortical neurons in vitro. Neuroscience 2015, 284, 192–201. [Google Scholar] [CrossRef]
- Guidony, N.S.; Scaini, J.L.R.; Oliveira, M.W.B.; Machado, K.S.; Bastos, C.; Escarrone, A.L.; Souza, M.M. ABC proteins activity and cytotoxicity in zebrafish hepatocytes exposed to triclosan. Environ. Pollut. 2020, 116368. [Google Scholar] [CrossRef]
- Pernot, E.; Hall, J.; Baatout, S.; Benotmane, M.A.; Blanchardon, E.; Bouffler, S.; El Saghire, H.; Gomolka, M.; Guertler, A.; Harms-Ringdahl, M.; et al. Ionizing radiation biomarkers for potential use in epidemiological studies. Mutat. Res.—Rev. Mutat. Res. 2012, 751, 258–286. [Google Scholar] [CrossRef]
- Sabharwal, R.; Verma, P.; Syed, M.A.; Sharma, T.; Subudhi, S.K.; Mohanty, S.; Gupta, S. Emergence of micronuclei as a genomic biomarker. Indian J. Med. Paediatr. Oncol. 2015, 36, 212–218. [Google Scholar] [CrossRef] [Green Version]
- Rodilla, V. Origin and evolution of binucleated cells and binucleated cells with micronuclei in cisplatin-treated CHO cultures. Mutat. Res. Toxicol. 1993, 300, 281–291. [Google Scholar] [CrossRef]
- Nwani, C.D.; Lakra, W.S.; Nagpure, N.S.; Kumar, R.; Kushwaha, B.; Srivastava, S.K. Mutagenic and genotoxic effects of carbosulfan in freshwater fish Channa punctatus (Bloch) using micronucleus assay and alkaline single-cell gel electrophoresis. Food Chem. Toxicol. 2010, 48, 202–208. [Google Scholar] [CrossRef]
- Emery, D. Assessing the Genotoxicity of Triclosan in Tadpoles of the American Bullfrog, Lithobates Catesbeianus. 2012, p. 10. Available online: https://doi.org/10.25772/H46E-PZ53 (accessed on 31 August 2021).
- Wang, F.; Xu, R.; Zheng, F.; Liu, H. Effects of triclosan on acute toxicity, genetic toxicity and oxidative stress in goldfish (Carassius auratus). Exp. Anim. 2018, 67, 219–227. [Google Scholar] [CrossRef] [Green Version]
- Jimoh, R.O. Sublethal and environmentally relevant concentrations of triclosan and triclocarban induce histological, genotoxic, and embryotoxic effects in Clarias gariepinus (Burchell, 1822). Environ. Sci. Pollut. Res. 2021, 28, 31071–31083. [Google Scholar] [CrossRef]
- Falisse, E.; Ducos, B.; Stockwell, P.A.; Morison, I.M.; Chatterjee, A.; Silvestre, F. DNA methylation and gene expression alterations in zebrafish early-life stages exposed to the antibacterial agent triclosan. Environ. Pollut. 2018, 243, 1867–1877. [Google Scholar] [CrossRef]
- Gao, L.; Yuan, T.; Cheng, P.; Bai, Q.; Zhou, C.; Ao, J.; Wang, W.; Zhang, H. Effects of triclosan and triclocarban on the growth inhibition, cell viability, genotoxicity and multixenobiotic resistance responses of Tetrahymena thermophila. Chemosphere 2015, 139, 434–440. [Google Scholar] [CrossRef]
- Lin, D.; Zhou, Q.; Xie, X.; Liu, Y. Potential biochemical and genetic toxicity of triclosan as an emerging pollutant on earthworms (Eisenia fetida). Chemosphere 2010, 81, 1328–1333. [Google Scholar] [CrossRef]
- Lin, D.; Li, Y.; Zhou, Q.; Xu, Y.; Wang, D. Effect of triclosan on reproduction, DNA damage and heat shock protein gene expression of the earthworm Eisenia fetida. Ecotoxicology 2014, 23, 1826–1832. [Google Scholar] [CrossRef]
- Jeon, J.; Lim, H.K.; Kannan, K.; Kim, S.D. Effect of perfluorooctanesulfonate on osmoregulation in marine fish, Sebastes schlegeli, under different salinities. Chemosphere 2010, 81, 228–234. [Google Scholar] [CrossRef]
- Bharti, S.; Rasool, F. Analysis of the biochemical and histopathological impact of a mild dose of commercial malathion on Channa punctatus (Bloch) fish. Toxicol. Rep. 2021, 8, 443–455. [Google Scholar] [CrossRef]
- Van Meer, G.; Voelker, D.R.; Feigenson, G.W. Membrane lipids: Where they are and how they behave. Nat. Rev. Mol. Cell Biol. 2008, 9, 112–124. [Google Scholar] [CrossRef]
- Hatami, M.; Banaee, M.; Nematdoost Haghi, B. Sub-lethal toxicity of chlorpyrifos alone and in combination with polyethylene glycol to common carp (Cyprinus carpio). Chemosphere 2019, 219, 981–988. [Google Scholar] [CrossRef]
- Chai, L.; Chen, A.; Luo, P.; Zhao, H.; Wang, H. Histopathological changes and lipid metabolism in the liver of Bufo gargarizans tadpoles exposed to Triclosan. Chemosphere 2017, 182, 255–266. [Google Scholar] [CrossRef]
- Santos, C.R.; Schulze, A. Lipid metabolism in cancer. FEBS J. 2012, 279, 2610–2623. [Google Scholar] [CrossRef]
- Yang, J.L.; Chen, H.C. Effects of gallium on common carp (Cyprinus carpio): Acute test, serum biochemistry, and erythrocyte morphology. Chemosphere 2003, 53, 877–882. [Google Scholar] [CrossRef]
- Banaee, M.; Akhlaghi, M.; Soltanian, S.; Sureda, A.; Gholamhosseini, A.; Rakhshaninejad, M. Combined effects of exposure to sub-lethal concentration of the insecticide chlorpyrifos and the herbicide glyphosate on the biochemical changes in the freshwater crayfish Pontastacus leptodactylus. Ecotoxicology 2020, 29, 1500–1515. [Google Scholar] [CrossRef]
- Banaee, M.; Nemadoost Haghi, B.; Tahery, S.; Shahafve, S.; Vaziriyan, M. Effects of Sub-Lethal Toxicity of Paraquat on Blood Biochemical Parameters of Common Carp, Cyprinus carpio (Linnaeus, 1758). Iran. J. Toxicol. 2016, 10, 1–5. [Google Scholar] [CrossRef] [Green Version]
- Onck, P. Protein Mechanics: From Amino Acid to Swimming Cells. Procedia IUTAM 2017, 20, 73–80. [Google Scholar] [CrossRef]
- Deepika, S.; Padmavathy, P.; Srinivasan, A.; Sugumar, G.; Jawahar, P. Effect of triclosan (TCS) on the protein content and associated histological changes on tilapia, Oreochromis mossambicus (Peters, 1852). Environ. Sci. Pollut. Res. 2021, 1–9. [Google Scholar] [CrossRef]
- Ao, J.; Gao, L.; Yuan, T.; Jiang, G. Interaction mechanisms between organic UV filters and bovine serum albumin as determined by comprehensive spectroscopy exploration and molecular docking. Chemosphere 2015, 119, 590–600. [Google Scholar] [CrossRef]
- Krishna, K.; Kumar, S.; Paul, T.; Pani, K.; Shukla, S.P. Triclosan induces immunosuppression and reduces survivability of striped cat fi sh Pangasianodon hypophthalmus during the challenge to a fi sh pathogenic bacterium Edwardsiella tarda. Environ. Res. 2020, 186, 109575. [Google Scholar] [CrossRef]
- Niemelä, O.; Alatalo, P. Biomarkers of alcohol consumption and related liver disease. Scand. J. Clin. Lab. Investig. 2010, 70, 305–312. [Google Scholar] [CrossRef]
- Miri, M.; Rahdari, A. Sub lethal effects of copper oxide (CuO) nanoparticles on blood parameters of common carp (Cyprinus Carpio). J. Biodivers. Environ. Sci. 2015, 6, 283–291. [Google Scholar]
- Hamed, H.S.; Abdel-Tawwab, M. Dietary pomegranate (Punica granatum) peel mitigated the adverse effects of silver nanoparticles on the performance, haemato-biochemical, antioxidant, and immune responses of Nile tilapia fingerlings. Aquaculture 2021, 540, 736742. [Google Scholar] [CrossRef]
- Dar, O.I.; Sharma, S.; Singh, K.; Sharma, A.; Bhardwaj, R.; Kaur, A. Biochemical markers for prolongation of the acute stress of triclosan in the early life stages of four food fishes. Chemosphere 2020, 247, 125914. [Google Scholar] [CrossRef]
- Giang, P.T.; Burkina, V.; Sakalli, S.; Schmidt-Posthaus, H.; Rasmussen, M.K.; Randak, T.; Grabic, R.; Grabicova, K.; Fedorova, G.; Koba, O.; et al. Effects of Multi-Component Mixtures from Sewage Treatment Plant Effluent on Common Carp (Cyprinus carpio) under Fully Realistic Condition. Environ. Manag. 2019, 63, 466–484. [Google Scholar] [CrossRef]
- Gallego, R.S.E.; Peñuela, G.A.; Martínez-López, E. Enzymatic activity changes in striped catfish Pseudoplatystoma magdaleniatum, induced by exposure to different concentrations of ibuprofen and triclosan. Chemosphere 2021, 271, 129399. [Google Scholar] [CrossRef]
- Elia, A.C.; Pacini, N.; Fioravanti, M.L.; Dörr, A.J.M.; Zaccaroni, A.; Parmeggiani, A.M.; Gustinelli, A.; Mordenti, O.; Abete, M.C.; Prearo, M. Assessment of detoxifying markers for florfenicol in Rainbow Trout Liver. J. Aquat. Anim. Health 2016, 28, 258–265. [Google Scholar] [CrossRef]
- Lakra, K.C.; Banerjee, T.K.; Lal, B. Coal mine effluent-induced metal bioaccumulation, biochemical, oxidative stress, metallothionein, and histopathological alterations in vital tissues of the catfish, Clarias batrachus. Environ. Sci. Pollut. Res. 2021, 28, 25300–25315. [Google Scholar] [CrossRef]
- Banaee, M.; Sureda, A.; Mirvaghefi, A.R.; Rafei, G.R. Effects of long-term silymarin oral supplementation on the blood biochemical profile of rainbow trout (Oncorhynchus mykiss). Fish Physiol. Biochem. 2011, 37, 885–896. [Google Scholar] [CrossRef]
- Banaee, M. Physiological Dysfunction in Fish After Insecticides Exposure. Insectic.-Dev. Safer More Eff. Technol. 2013, 103–142. [Google Scholar] [CrossRef] [Green Version]
- Adamu, K.M.; Kori-Siakpere, O. Effects of sublethal concentrations of tobacco (Nicotiana tobaccum) leaf dust on some biochemical parameters of Hybrid catfish (Clarias gariepinus and Heterobranchus bidorsalis). Braz. Arch. Biol. Technol. 2011, 54, 183–196. [Google Scholar] [CrossRef]
- Jee, J.H.; Masroor, F.; Kang, J.C. Responses of cypermethrin-induced stress in haematological parameters of Korean rockfish, Sebastes schlegeli (Hilgendorf). Aquac. Res. 2005, 36, 898–905. [Google Scholar] [CrossRef]
- Jyothi, B.; Narayan, G. Certain pesticide-induced carbohydrate metabolic disorders in the serum of freshwater fish Clarias batrachus (Linn.). Food Chem. Toxicol. 1999, 37, 417–421. [Google Scholar] [CrossRef]
Publisher’s Note: MDPI stays neutral with regard to jurisdictional claims in published maps and institutional affiliations. |
© 2021 by the authors. Licensee MDPI, Basel, Switzerland. This article is an open access article distributed under the terms and conditions of the Creative Commons Attribution (CC BY) license (https://creativecommons.org/licenses/by/4.0/).




