Study on Ducted Vertical Take-Off and Landing Fixed-Wing UAV Dynamics Modeling and Transition Corridor
Abstract
:Featured Application
Abstract
1. Introduction
2. UAV Dynamic Model
3. UAV Transition Corridor
3.1. Transition Window
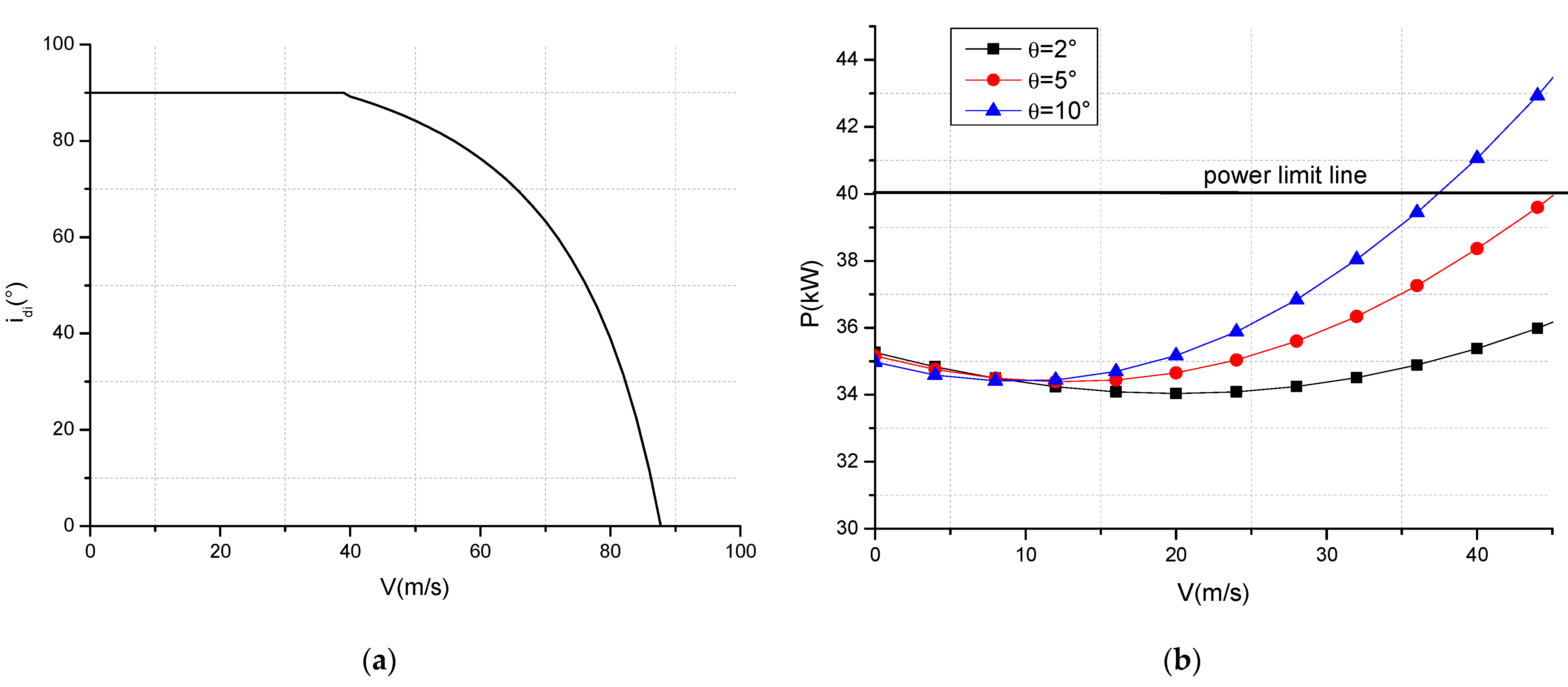
3.2. Ducted Lift-Increasing System’s Deflection Angle–Speed Envelope Based on Stall Angle of Attack
3.3. Deflection Angle–Speed Envelope Based on Power Limit in Ducted Lift-Increasing System
3.4. Transition Corridor Calculation
4. Results and Discussion
4.1. Calculation Results
4.2. Influence Analysis of the Manipulation Parameter
4.3. Influence Analysis of the Overall Parameter
5. Conclusions
Author Contributions
Funding
Institutional Review Board Statement
Informed Consent Statement
Conflicts of Interest
References
- Kanistras, K.; Martins, G.; Rutherford, M.J.; Valavanis, K.P. A Survey of Unmanned Aerial Vehicles (UAVs) for Traffic Monitoring; Springer: Dordrecht, The Netherlands, 2015. [Google Scholar]
- Michael, N.; Mellinger, D.; Lindsey, Q.; Kumar, V. The GRASP Multiple Micro-UAV Testbed. IEEE Robot. Autom. Mag. 2010, 17, 56–65. [Google Scholar]
- Zheng, Z. Research on Overall Design Method of Lift Fan Vertical Take-Off and Landing Aircraft. Ph.D. Thesis, Northwestern Polytechnical University, Xi’an, China, 2013. [Google Scholar]
- Li, L. Development History of Helicopters; Aviation Industry Press: Beijing, China, 2007. [Google Scholar]
- Li, J. The technical characteristics and operational use of shipborne UAVs. Mod. Mil. 2002, 7, 33–35. [Google Scholar]
- Gill, R.; D’Andrea, R. An Annular Wing VTOL UAV: Flight Dynamics and Control. Drones 2020, 4, 14. [Google Scholar] [CrossRef]
- Sanchez-Rivera, L.M.; Lozano, R.; Arias-Montano, A. Development, Modeling and Control of a Dual Tilt-Wing UAV in Vertical Flight. Drones 2020, 4, 71. [Google Scholar] [CrossRef]
- Choi, S.W.; Kang, Y.; Chang, S.; Koo, S.; Kim, J.M. Development and Conversion Flight Test of a Small Tiltrotor Unmanned Aerial Vehicle. J. Aircr. 2012, 47, 730–732. [Google Scholar] [CrossRef]
- Garcia-Nieto, S.; Velasco-Carrau, J.; Paredes-Valles, F.; Salcedo, J.V.; Simarro, R. Motion Equations and Attitude Control in the Vertical Flight of a VTOL Bi-Rotor UAV. Electronics 2019, 8, 208. [Google Scholar] [CrossRef] [Green Version]
- Panigrahi, S.; Krishna, Y.S.S.; Thondiyath, A. Design, Analysis, and Testing of a Hybrid VTOL Tilt-Rotor UAV for Increased Endurance. Sensors 2021, 21, 5987. [Google Scholar] [CrossRef] [PubMed]
- Cao, Y.; Chen, R. Investigation on nacelle conversion envelope analysis methodof tiltrotor aircraft. J. Aerosp. Power 2011, 26, 2174–2180. [Google Scholar]
- Cao, Y. Research on Mathematical Modeling Method for Tilt Rotor Aircraft Flight Dynamics. Ph.D. Thesis, Nanjing University of Aeronautics and Astronautics, Nanjing, China, 2013. [Google Scholar]
- Wan, H. Simulation Research on Transition Section of Tilt-Rotor Vehicle. Ph.D. Thesis, Nanjing University of Aeronautics and Astronautics, Nanjing, China, 2011. [Google Scholar]
- Chen, Y.; Gong, H.; Wang, B. Research on Longitudinal Attitude Control Technology of Transition Section of Tilt-rotor Aircraft. Flight Mech. 2011, 29, 30–33. [Google Scholar]
- Zhu, H.; Dong, R.; Jiang, S. Research of Composite High-speed Helicopter Transition Corridor and Optimal Transition Route. Mach. Build. Autom. 2021, 1, 188–192. [Google Scholar]
- Duan, S.; Chen, M. Research on Mathematical Model of Hybrid Coaxial Helicopter Flight Dynamics. Aircr. Des. 2011, 31, 13–17. [Google Scholar]
- Fang, Z. Aerocraft Flight Dynamics; Beihang University Press: Beijing, China, 2005. [Google Scholar]
- Wang, C.; Zhou, Z.; Wang, R.; Wang, K. Study on the longitudinal stability of ducted vertical take-off and landing fixed-wing UAV. J. Northwest. Polytech. Univ. 2021, 39, 712–720. [Google Scholar] [CrossRef]
- Pan, Z. Research on Calculation Method of Tilting Transition Corridor of Tilting Quadrotor. Ph.D. Thesis, Nanjing University of Aeronautics and Astronautics, Nanjing, China, 2019. [Google Scholar]
- Wang, C.; Zhou, Z.; Wang, R.; Zhou, W. Research on Dynamic Modeling and Transition Flight Strategy of VTOL UAV. Appl. Sci. 2019, 9, 4937. [Google Scholar] [CrossRef] [Green Version]














| Parameter | Value | Parameter | Value | Parameter | Value |
|---|---|---|---|---|---|
| /° | 0–30 | /kW | 26 | 0.95 | |
| /° | 0–95 | /kW | 14 |
Publisher’s Note: MDPI stays neutral with regard to jurisdictional claims in published maps and institutional affiliations. |
© 2021 by the authors. Licensee MDPI, Basel, Switzerland. This article is an open access article distributed under the terms and conditions of the Creative Commons Attribution (CC BY) license (https://creativecommons.org/licenses/by/4.0/).
Share and Cite
Wang, C.; Zhou, Z.; Wang, R.; Ding, Y. Study on Ducted Vertical Take-Off and Landing Fixed-Wing UAV Dynamics Modeling and Transition Corridor. Appl. Sci. 2021, 11, 10422. https://doi.org/10.3390/app112110422
Wang C, Zhou Z, Wang R, Ding Y. Study on Ducted Vertical Take-Off and Landing Fixed-Wing UAV Dynamics Modeling and Transition Corridor. Applied Sciences. 2021; 11(21):10422. https://doi.org/10.3390/app112110422
Chicago/Turabian StyleWang, Chunyang, Zhou Zhou, Rui Wang, and You Ding. 2021. "Study on Ducted Vertical Take-Off and Landing Fixed-Wing UAV Dynamics Modeling and Transition Corridor" Applied Sciences 11, no. 21: 10422. https://doi.org/10.3390/app112110422
APA StyleWang, C., Zhou, Z., Wang, R., & Ding, Y. (2021). Study on Ducted Vertical Take-Off and Landing Fixed-Wing UAV Dynamics Modeling and Transition Corridor. Applied Sciences, 11(21), 10422. https://doi.org/10.3390/app112110422

