Wear of 17-4 PH Stainless Steel Patterned Surfaces Fabricated Using Selective Laser Melting
Abstract
:1. Introduction
2. Materials and Methods
3. Results and Discussion
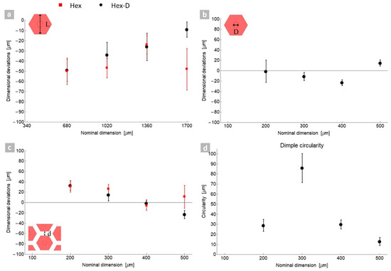
3.1. Analysis of Manufacuring Imperfections
3.2. Tribological Tests
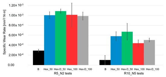
3.2.1. Unlubricated Testing Conditions
3.2.2. Lubricated Testing Conditions
4. Conclusions
Author Contributions
Funding
Institutional Review Board Statement
Informed Consent Statement
Data Availability Statement
Acknowledgments
Conflicts of Interest
References
- Holmberg, K.; Erdemir, A. Global impact of friction on energy consumption, economy and environment. FME Trans. 2015, 43, 181–185. [Google Scholar] [CrossRef]
- Volchok, A.; Halperin, G.; Etsion, I. The effect of surface regular microtopography on fretting fatigue life. Wear 2002, 253, 509–515. [Google Scholar] [CrossRef]
- Koszela, W.; Pawlus, P.; Galda, L. The effect of oil pockets size and distribution on wear in lubricated sliding. Wear 2007, 263, 1585–1592. [Google Scholar] [CrossRef]
- Rashwan, O. Micro Surface Texturing for Friction Control; University of Windsor: Windsor, ON, Canada, 2013. [Google Scholar]
- Abdel-aal, H.A. Surface Topography: Metrology and Properties Functional surfaces for tribological applications: Inspiration and design. Surf. Topogr. Metrol. Prop. 2016, 4, 043001. [Google Scholar] [CrossRef]
- Martini, R.; Balit, Y.; Barthelat, F. A comparative study of bio-inspired protective scales using 3D printing and mechanical testing. Acta Biomater. 2017, 55, 360–372. [Google Scholar] [CrossRef] [PubMed]
- Zhang, S.; Zeng, X.; Matthews, D.T.A.; Igartua, A.; Rodriguez-Vidal, E.; Contreras Fortes, J.; Saenz de Viteri, V.; Pagano, F.; Wadman, B.; Wiklund, E.D.; et al. Selection of micro-fabrication techniques on stainless steel sheet for skin friction. Friction 2016, 4, 89–104. [Google Scholar] [CrossRef] [Green Version]
- du Plessis, A.; Broeckhoven, C.; Yadroitsava, I.; Yadroitsev, I.; Hands, C.H.; Kunju, R.; Bhate, D. Beautiful and Functional: A Review of Biomimetic Design in Additive Manufacturing. Addit. Manuf. 2019, 27, 408–427. [Google Scholar] [CrossRef]
- Fera, M.; Macchiaroli, R.; Fruggiero, F.; Lambiase, A. A new perspective for production process analysis using additive manufacturing—complexity vs production volume. Int. J. Adv. Manuf. Technol. 2018, 95, 673–685. [Google Scholar] [CrossRef]
- Carneiro, L.; Jalalahmadi, B.; Ashtekar, A.; Jiang, Y. Cyclic deformation and fatigue behavior of additively manufactured 17–4 PH stainless steel. Int. J. Fatigue 2019, 123, 22–30. [Google Scholar] [CrossRef]
- Rotella, G.; Filice, L. Surface modifications induced by roller burnishing of Ti6Al4V under different cooling/lubrication conditions. In Selected Topics in Manufacturing; Springer: Cham, Switzerland, 2019; pp. 9–11. [Google Scholar]
- Lashgari, H.R.; Xue, Y.; Onggowarsito, C.; Kong, C.; Li, S. Microstructure, Tribological Properties and Corrosion Behaviour of Additively Manufactured 17-4PH Stainless Steel: Effects of Scanning Pattern, Build Orientation, and Single vs. Double scan. Mater. Today Commun. 2020, 25, 101535. [Google Scholar] [CrossRef]
- Kc, S.; Nezhadfar, P.D.; Phillips, C.; Kennedy, M.S.; Shamsaei, N.; Jackson, R.L. Tribological behavior of 17–4 PH stainless steel fabricated by traditional manufacturing and laser-based additive manufacturing methods. Wear 2019, 440–441, 203100. [Google Scholar] [CrossRef]
- Bressan, J.D.; Daros, D.P.; Sokolowski, A.; Mesquita, R.A.; Barbosa, C.A. Influence of hardness on the wear resistance of 17-4 PH stainless steel evaluated by the pin-on-disc testing. J. Mater. Process. Technol. 2008, 205, 353–359. [Google Scholar] [CrossRef]
- Tsipenyuk, A.; Varenberg, M. Use of biomimetic hexagonal surface texture in friction against lubricated skin. J. R. Soc. Interface 2014, 11, 20140113. [Google Scholar] [CrossRef] [PubMed]
- Huang, W.; Wang, X. Biomimetic design of elastomer surface pattern for friction control under wet conditions. Bioinspiration Biomim. 2013, 8, 046001. [Google Scholar] [CrossRef] [Green Version]
- Murarash, B.; Itovich, Y.; Varenberg, M. Tuning elastomer friction by hexagonal surface patterning. Soft Matter 2011, 7, 5553–5557. [Google Scholar] [CrossRef]
- Zabala, A.; Galdos, L.; Childs, C.; Llavori, I.; Aginagalde, A.; Mendiguren, J.; de Argandoña, E.S. The interaction between the sheet/tool surface texture and the friction/galling behaviour on aluminium deep drawing operations. Metals 2021, 11, 979. [Google Scholar] [CrossRef]
- Folle, L.F.; Schaeffer, L. Effect of surface roughness and lubrication on the friction coefficient in deep drawing processes of aluminum alloy aa1100 with fem analysis. Rev. Mater. 2019, 24. [Google Scholar] [CrossRef] [Green Version]
- Gang, S.; Fengzhou, F.; Chengwei, K. Tribological Performance of Bioimplants: A Comprehensive Review. Nanotechnol. Precis. Eng. 2018, 1, 107–122. [Google Scholar] [CrossRef]
- The American Society of Mechanical Engineers. Measurement Of Plain External Diameters For Use As Master Discs Or Cylindrical Plug Gages; B89.1.5-1998 (R2019); The American Society of Mechanical Engineers: New York, NY, USA, 2019. [Google Scholar]
- Qin, W.; Kang, J.; Li, J.; Yue, W.; Liu, Y.; She, D.; Mao, Q.; Li, Y. Tribological Behavior of the 316L Stainless Steel with Heterogeneous Lamella Structure. Materials 2018, 11, 1839. [Google Scholar] [CrossRef] [Green Version]
- Meng, J.; Loh, N.H.; Tay, B.Y.; Fu, G.; Tor, S.B. Tribological behavior of 316L stainless steel fabricated by micro powder injection molding. Wear 2010, 268, 1013–1019. [Google Scholar] [CrossRef]
- Duchosal, A.; Joly, D.; Leroy, R.; Serra, R. Effects of Microstructure of Compacted Graphite Iron in Tribological Strategy. J. Tribol. 2018, 140, 051302. [Google Scholar] [CrossRef]
- ASTM, G99. Standard Test Method for Wear Testing with a Pin-on-Disk Apparatus; ASTM Int.: West Conshohocken, PA, USA, 2016; Volume G99, pp. 1–5. [Google Scholar] [CrossRef]
- German, R.M. Powder Metallurgy Science, 2nd ed.; Metal Powder Industry: Princeton, NJ, USA, 1994. [Google Scholar]
- Paul, R.; Anand, S.; Gerner, F. Effect of Thermal Deformation on Part Errors in Metal Powder Based Additive Manufacturing Processes. J. Manuf. Sci. Eng. 2014, 136. [Google Scholar] [CrossRef]
- Senthilkumaran, K.; Pandey, P.M.; Rao, P.V.M. Influence of building strategies on the accuracy of parts in selective laser sintering. Mater. Des. 2009, 30, 2946–2954. [Google Scholar] [CrossRef]
- Holovenko, Y.; Antonov, M.; Kollo, L.; Hussainova, I. Friction studies of metal surfaces with various 3D printed patterns tested in dry sliding conditions. Proc. Inst. Mech. Eng. Part J J. Eng. Tribol. 2018, 232, 43–53. [Google Scholar] [CrossRef] [Green Version]
- Cinca, N.; Guilemany, J.M. Cold Gas Sprayed Stellite-6 Coatings and their Wear Resistance. J. Mater. Sci. Eng. 2013, 02. [Google Scholar] [CrossRef] [Green Version]
- Grützmacher, P.G.; Rosenkranz, A.; Szurdak, A.; Gachot, C.; Hirt, G.; Mücklich, F. Effects of Multi-Scale Patterning on the Run-In Behavior of Steel–Alumina Pairings under Lubricated Conditions. Adv. Eng. Mater. 2018, 20, 1–8. [Google Scholar] [CrossRef]
- Peter, J.B. Tribosystem Analysis: A Practical Approach to the Diagnosis of Wear Problems, 1st ed.; CRC Press, Taylor & Francis Group: Boca Raton, FL, USA, 2017. [Google Scholar] [CrossRef]
- Bhushan, B. Introduction to Tribology, 2nd ed.; John Wiley & Sons, Ltd.: Hoboken, NJ, USA, 2013. [Google Scholar]














| Parameter | Value |
|---|---|
| Maximum fiber laser power Pmax (W) | 500 |
| Fiber laser wavelength (nm) | 1064 |
| Detail size along axes (µm) | x = 100, y = 100, z 1 = 40 |
| Laser power (W) | 50% Pmax |
| Scanning speed (mm/s) | 1200 |
| Hatch spacing (µm) | 50 |
| Layer thickness (µm) | 40 |
| Atmosphere | Nitrogen |
| Element | Fe | Cr | Ni | Cu | Si | Mn | Nb |
|---|---|---|---|---|---|---|---|
| wt % | Balance | 15.00–17.50 | 3.00–5.00 | 3.00–5.00 | <1.00 | <1.00 | 0.15–0.45 |
![]() | |||||
|---|---|---|---|---|---|
| Dimension | Scale 1 | Scale 2 | Scale 3 | Scale 4 | Scale 5 |
| H | 200 | 400 | 600 | 800 | 1000 |
| L | 340 | 680 | 1020 | 1360 | 1700 |
| D | 100 | 200 | 300 | 400 | 500 |
| d | 100 | 200 | 300 | 400 | 500 |
| Testing Conditions | Dry | Lubricated |
|---|---|---|
| Sliding radius (mm) | 5, 10 | 13.5 |
| Normal load (N) | 2, 5 | 5 |
| Sliding speed (m/s) | 0.1 | 0.1 |
| Stop condition (laps) | 20,000 | 20,000 |
| Sample Type: T, d; Testing Conditions: Ry, Nz, L | |
|---|---|
| T | Sample type: Hexagonal (Hex), Hexagonal with dimples (Hex-D), Baseline (B). |
| d | Distance between prisms in µm (for patterned samples) |
| Ry | Sliding radius in mm |
| Nz | Normal load in N |
| L | If present in nomenclature, it refers to a lubricant-impregnated test |
Publisher’s Note: MDPI stays neutral with regard to jurisdictional claims in published maps and institutional affiliations. |
© 2021 by the authors. Licensee MDPI, Basel, Switzerland. This article is an open access article distributed under the terms and conditions of the Creative Commons Attribution (CC BY) license (https://creativecommons.org/licenses/by/4.0/).
Share and Cite
Sanguedolce, M.; Zekonyte, J.; Alfano, M. Wear of 17-4 PH Stainless Steel Patterned Surfaces Fabricated Using Selective Laser Melting. Appl. Sci. 2021, 11, 9317. https://doi.org/10.3390/app11199317
Sanguedolce M, Zekonyte J, Alfano M. Wear of 17-4 PH Stainless Steel Patterned Surfaces Fabricated Using Selective Laser Melting. Applied Sciences. 2021; 11(19):9317. https://doi.org/10.3390/app11199317
Chicago/Turabian StyleSanguedolce, Michela, Jurgita Zekonyte, and Marco Alfano. 2021. "Wear of 17-4 PH Stainless Steel Patterned Surfaces Fabricated Using Selective Laser Melting" Applied Sciences 11, no. 19: 9317. https://doi.org/10.3390/app11199317
APA StyleSanguedolce, M., Zekonyte, J., & Alfano, M. (2021). Wear of 17-4 PH Stainless Steel Patterned Surfaces Fabricated Using Selective Laser Melting. Applied Sciences, 11(19), 9317. https://doi.org/10.3390/app11199317


