The Impact of COVID-19 on Electricity Prices in Italy, the Czech Republic, and China
Abstract
:1. Introduction and Related Work
2. The Research Gap and Our Motivation
3. Descriptions of the Economical Factors Used
3.1. Gross Domestic Product (GDP)
3.2. Unemployment Rate (UR)
3.3. Consumer Price Index (CPI)
3.4. Purchasing Managers’ Index (PMI)
4. The Proposed Approach for EP Estimation
4.1. The FLANN Model for EP Estimation
- The trigonometric expansion:where N = number of trigonometric terms; is the total number of terms after expansion.
- The polynomial expansion:where , N is the degree of the polynomial, and is the total number of terms after expansion.
- The exponential expansion:where , N is the number of exponential terms, and is the total number of terms after expansion.
- The Chebyshev expansion:where . If , then the expanded number of terms is . Those terms are as given in (6):where .
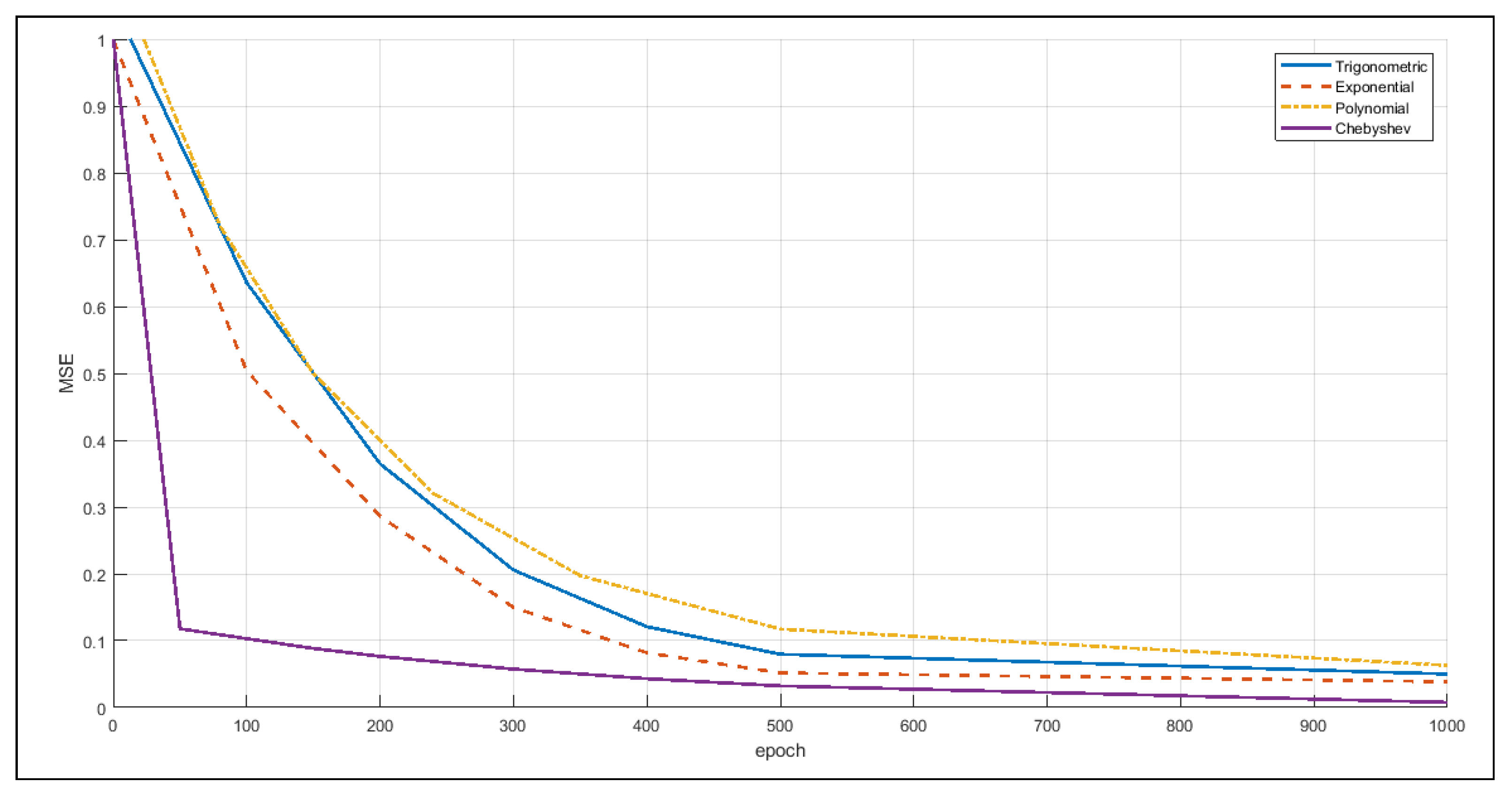
4.2. Simulation Study
5. Experimental Results
6. Conclusions
Author Contributions
Funding
Institutional Review Board Statement
Informed Consent Statement
Data Availability Statement
Acknowledgments
Conflicts of Interest
References
- WHO Coronavirus (COVID-19) Dashboard. Available online: https://covid19.who.int/ (accessed on 16 June 2021).
- Secrets of Lockdown Lifestyle Laid Bare in Electricity Data. Available online: https://www.bloombergquint.com/business/secrets-of-the-lockdown-lifestyle-laid-bare-in-power-market-data (accessed on 16 June 2021).
- Tradingeconomics.com. Available online: https://tradingeconomics.com/czech-republic/electricity-production (accessed on 16 June 2021).
- Ruan, G.; Wu, D.; Zheng, X.; Zhong, H.; Kang, C.; Dahleh, M.A.; Sivaranjani, S.; Xie, L. A cross-domain approach to analyzing the short-run impact of COVID-19 on the US electricity sector. Joule 2020, 4, 2322–2337. [Google Scholar] [CrossRef] [PubMed]
- Krarti, M.; Aldubyan, M. Review analysis of COVID-19 impact on electricity demand for residential buildings. Renew. Sustain. Energy Rev. 2021, 143, 110888. [Google Scholar] [CrossRef]
- Beyer, R.C.; Franco-Bedoya, S.; Galdo, V. Examining the economic impact of COVID-19 in India through daily electricity consumption and nighttime light intensity. World Dev. 2021, 140, 105287. [Google Scholar] [CrossRef] [PubMed]
- Norouzi, N.; Zarazua de Rubens, G.Z.; Enevoldsen, P.; Behzadi Forough, A. The impact of COVID-19 on the electricity sector in Spain: An econometric approach based on prices. Int. J. Energy Res. 2021, 45, 6320–6332. [Google Scholar] [CrossRef]
- Bahmanyar, A.; Estebsari, A.; Ernst, D. The impact of different COVID-19 containment measures on electricity consumption in Europe. Energy Res. Soc. Sci. 2020, 68, 101683. [Google Scholar] [CrossRef] [PubMed]
- Edomah, N.; Ndulue, G. Energy transition in a lockdown: An analysis of the impact of COVID-19 on changes in electricity demand in Lagos Nigeria. Glob. Trans. 2020, 2, 127–137. [Google Scholar] [CrossRef] [PubMed]
- Liu, X.; Lin, Z. Impact of COVID-19 pandemic on electricity demand in the UK based on multivariate time series forecasting with bidirectional long short term memory. Energy 2021, 227, 120455. [Google Scholar] [CrossRef]
- Norouzi, N.; de Rubens, G.Z.; Choubanpishehzafar, S.; Enevoldsen, P. When pandemics impact economies and climate change: Exploring the impacts of COVID-19 on oil and electricity demand in China. Energy Res. Soc. Sci. 2020, 68, 101654. [Google Scholar] [CrossRef] [PubMed]
- Patra, J.C.; Pal, R.N.; Baliarsingh, R.; Panda, G. Nonlinear channel equalization for QAM signal constellation using artificial neural networks. IEEE Trans. Syst. Man Cybern. Part B (Cybern.) 1999, 29, 262–271. [Google Scholar] [CrossRef] [PubMed]
- Patra, J.C.; Pal, R.N.; Chatterji, B.; Panda, G. Identification of nonlinear dynamic systems using functional link artificial neural networks. IEEE Trans. Syst. Man Cybern. Part B (Cybern.) 1999, 29, 254–262. [Google Scholar] [CrossRef] [PubMed]
- Majhi, R.; Panda, G.; Sahoo, G. Development and performance evaluation of FLANN based model for forecasting of stock markets. Expert Syst. Appl. 2009, 36, 6800–6808. [Google Scholar] [CrossRef]
- Lu, L.; Yu, Y.; Yang, X.; Wu, W. Time delay Chebyshev functional link artificial neural network. Neurocomputing 2019, 329, 153–164. [Google Scholar] [CrossRef]
- OECD. Quarterly GDP (Indicator). 2021. Available online: https://data.oecd.org/gdp/quarterly-gdp.htm (accessed on 24 July 2021).
- Fezzi, C.; Fanghella, V. Real-time estimation of the short-run impact of COVID-19 on economic activity using electricity market data. Environ. Resour. Econ. 2020, 76, 885–900. [Google Scholar] [CrossRef] [PubMed]
- Maliszewska, M.; Mattoo, A.; Van Der Mensbrugghe, D. The Potential Impact of COVID-19 on GDP and Trade: A Preliminary Assessment. World Bank Policy Research Working Paper. East Asia and the Pacific Region Office of the Chief Economist and Macroeconomics, Trade and Investment Global Practice. 2020. Available online: https://documents1.worldbank.org/curated/en/295991586526445673/pdf/The-Potential-Impact-of-COVID-19-on-GDP-and-Trade-A-Preliminary-Assessment.pdf (accessed on 31 August 2021).
- Ahmad, M.; Khan, Y.A.; Jiang, C.; Kazmi, S.J.H.; Abbas, S.Z. The impact of COVID-19 on unemployment rate: An intelligent based unemployment rate prediction in selected countries of Europe. Int. J. Financ. Econ. 2021. [Google Scholar] [CrossRef]
- OECD. Unemployment Rate (Indicator). 2021. Available online: https://data.oecd.org/unemp/unemployment-rate.htm (accessed on 21 June 2021).
- China Caixin Manufacturing PMI. Available online: https://tradingeconomics.com/china/manufacturing-pmi (accessed on 21 June 2021).










| Factor | Description |
|---|---|
| GDP | Gross Domestic Product |
| UR | Unemployment rate |
| CPI | Consumer Price Index |
| PMI | Purchasing Managers’ Index |
| Perspectives | Czech Republic | Italy |
|---|---|---|
| EP | −5% | −4.7% |
| Food demands | 0.6% | 0.7% |
| Factor | Link to Data Source |
|---|---|
| GDP | The Organization for Economic Co-operation and Development, GDP, https://data.oecd.org/gdp/quarterly-gdp.htm, accessed on 16 June 2021 |
| UR | The Organization for Economic Co-operation and Development, Unemployment rate, https://data.oecd.org/unemp/unemployment-rate.htm, accessed on 16 June 2021 |
| CPI | The Organization for Economic Co-operation and Development, Inflation (CPI), https://data.oecd.org/price/inflation-cpi.htm, accessed on 16 June 2021 |
| PMI | The Organization for Economic Co-operation and Development, PMI, https://www.investing.com/economic-calendar/czech-markit-markit-pmi-812, accessed on 16 June 2021 |
| CPC | Global No.1 Data Platform, Statista.com, Number of COVID-19 confirmed cases, https://www.statista.com/statistics/1104327/czechia-coronavirus-COVID-19-new-cases, accessed on 16 June 2021 |
| CDC | Data science environment, kaggle.com, Number of COVID-19 death cases, https://www.kaggle.com/sudalairajkumar/novel-corona-virus-2019-dataset?select=COVID_19_data.csv, accessed on 16 June 2021 |
| EP | International Energy Agency, Iea.com, Electricity Statistics, https://www.iea.org/data-and-statistics/data-product/monthly-electricity-statistics, accessed on 16 June 2021 |
| Expansion Function | MSE after Convergence |
|---|---|
| Polynomial | 0.06 |
| Trigonometric | 0.05 |
| Exponential | 0.04 |
| Chebyshev | 0.01 |
| k | n = 0 | n = 1 | n = 2 | n = 3 | n = 4 |
|---|---|---|---|---|---|
| 1 | 0.091 | 0.021 | −0.144 | 0.761 | −0.066 |
| 2 | 0.043 | −0.078 | 0.38 | 0.072 | 0.057 |
| 3 | −0.026 | 0.497 | 0.637 | −0.239 | −0.086 |
| 4 | 0.417 | −0.089 | 0.691 | 0.277 | 0.737 |
| 5 | −0.084 | −0.103 | −0.404 | −0.54 | 0.044 |
| 6 | 0.436 | −0.094 | −0.053 | −0.369 | 0.564 |
| Country | MSE Value |
|---|---|
| Czech Republic | 0.0609 |
| Italy | 0.0718 |
| China | 0.0402 |
Publisher’s Note: MDPI stays neutral with regard to jurisdictional claims in published maps and institutional affiliations. |
© 2021 by the authors. Licensee MDPI, Basel, Switzerland. This article is an open access article distributed under the terms and conditions of the Creative Commons Attribution (CC BY) license (https://creativecommons.org/licenses/by/4.0/).
Share and Cite
Ghanem, S.; Fandi, G.; Krepl, V.; Husein, T.; Rzek, O.; Muller, Z.; Kyncl, J.; Tlustý, J.; Smutka, L. The Impact of COVID-19 on Electricity Prices in Italy, the Czech Republic, and China. Appl. Sci. 2021, 11, 8793. https://doi.org/10.3390/app11198793
Ghanem S, Fandi G, Krepl V, Husein T, Rzek O, Muller Z, Kyncl J, Tlustý J, Smutka L. The Impact of COVID-19 on Electricity Prices in Italy, the Czech Republic, and China. Applied Sciences. 2021; 11(19):8793. https://doi.org/10.3390/app11198793
Chicago/Turabian StyleGhanem, Safwan, Ghaeth Fandi, Vladimír Krepl, Tarek Husein, Osama Rzek, Zdenek Muller, Jan Kyncl, Josef Tlustý, and Luboš Smutka. 2021. "The Impact of COVID-19 on Electricity Prices in Italy, the Czech Republic, and China" Applied Sciences 11, no. 19: 8793. https://doi.org/10.3390/app11198793
APA StyleGhanem, S., Fandi, G., Krepl, V., Husein, T., Rzek, O., Muller, Z., Kyncl, J., Tlustý, J., & Smutka, L. (2021). The Impact of COVID-19 on Electricity Prices in Italy, the Czech Republic, and China. Applied Sciences, 11(19), 8793. https://doi.org/10.3390/app11198793

