Assessment of Partial Discharges in the Air by Application of Corona Camera
Abstract
:1. Introduction
- adopted level of signal gain set on a camera,
- distance between the camera and source of partial discharge.
2. Measurement System, Characteristics of UV Cameras, Measurement Range
3. Results of Measurements of Number of UV Impulses Generated by PDs in Needle Spark Gaps in the Function of the Generation Voltage
4. Effect of Camera Gain and Distance from the PD Source and Generation Voltage on the Registered Count of UV Impulses Determined for Needle Spark Gap
5. Effect of Gain Parameter, Distance between Camera and PD Source and PD Generation Voltage on the Registered Count of UV Impulses
6. Results and Discussion
- (1)
- The results presented in Figure 4, Figure 5 and Figure 6 demonstrate the dependence of the counts of UV emission impulses originating from PDs on the value of the voltage used to generate them. All waveforms are non-linear. Initially, they increase exponentially, at 32 kV (i.e., 52% of the breakdown voltage Vb), until they assume a maximum value (1.8 × 104 impulses), followed by a linear decrease to 45 kV (73% Vb), for which the number of registered pulses is equal to 1 × 104. This may indicate that at a voltage of 32 kV there is the highest ionization energy. With a further increase in the value of PDs’ generation voltage, the emission of UV pulses increases linearly, reaching a voltage of 1.1 × 104 at 55 kV (92% Vb). This dependence between the UV emission and the voltage of PD generation applies regardless of the diameter of the electrode needles (and, consequently, also regardless of the radius of their needle), between which PDs are generated. This analysis showed that the change in the thickness of the spark gap does not significantly affect the counts recorded by the UV camera, therefore only models (b) and (c) from Figure 3 were used for detailed analysis. The registered UV emission waveforms in the function of PD generation voltage provide interesting input since they are clearly different from those that were recorded in the visible light spectrum. According to the present authors, the explanation of these phenomena should be sought in the analysis of physical mechanisms responsible for the formation and development of PDs occurring in electric fields with non-uniform distribution. Recorded waveforms clearly indicate that the energy transformations associated with air ionization in the UV spectrum and in the visible light spectrum are different. The decrease in the number of counts observed in Figure 4, Figure 5 and Figure 6 is associated with the ionization process, where after reaching a certain level of saturation, part of the ionization energy begins to be transferred in another form, including kinetic energy and in the form of radiation. This phenomenon is most often already visible to the naked eye (in appropriate conditions, of course) as a bright glow. The gas dielectric (in this case, air) is locally ionized and the ionization energy share decreases despite the voltage increase. A UV camera detector that works in the wavelength range from 240 nm to 280 nm is able to register this phenomenon. A further explanation of these differences requires further research and analysis.
- (2)
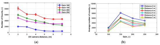
- Figure 8 presents the effect of the camera’s distance from the PD’s source generated in the needle system on the registered UV emission. In the spark gap, where the distance between the blade electrodes was equal to 2 cm and its breakdown voltage was 26.5 kV, PDs were generated for two voltage values: 13 kV and 15 kV (49% Vb and 56.7% Vb, respectively). The results given in Figure 8a,b clearly confirm the significant effect of the camera’s distance from the source of PDs on the value of the recorded count of UV impulses. For example, for a distance of 2 cm the number is 10.900 impulses, and for a distance of 11 m the total impulses are 1700 (for a camera gain of 150). For signals generated in this spark gap at a distance of 3 cm, the respective numbers are 12,400 and 3300 impulses. This type of dependence between the number of registered UV emission pulses and the distance of the UV camera from the source of PDs is confirmed by all curves presented in Figure 7b and Figure 8a, regardless of the value of the adopted camera gain.
- (3)
- The results given in Figure 9 and Figure 10 can be applied to determine the effect of camera gain values on the count of UV impulses. The results presented in these graphs were obtained in the same metrological conditions as the previous cases (Figure 8). All curves presented in Figure 9 and Figure 10 clearly demonstrate that the highest numbers of UV impulses are recorded for the camera gain of 150. This conclusion is confirmed by all curves obtained for different distances of the camera from the source of PDs. It is understood that the number of recorded UV impulses is the highest for the shortest distance between the camera and the source of PDs.
- (4)
- The results given in Figure 13, Figure 14 and Figure 15 serve the purposes of verifying results gained previously (Figure 8, Figure 9 and Figure 10). These results were obtained in a different electrode system with non-uniform field distribution (needle–plate), in which the magnitude of the electric field was lower. The analysis of the results (Figure 13a, Figure 14a and Figure 15a) leads to the conclusion that the assumption of the camera gain value of 150 in this system forms the most suitable option and confirms the results and conclusions relating to the needle–needle system. It can even be said that the curves obtained in this system confirm this conclusion more clearly. This is particularly confirmed by the curves derived for the smallest distance (2 m) from the source of PDs to the camera. Based on the obtained results, it is possible to apply the optimal gain to the analysis of other geometric shapes of electrodes that generate non-uniform distribution of the electric field. The results presented in Figure 13b, Figure 14b and Figure 15b present the effect of the distance between the camera and the source of PDs on the registered count of UV impulses. The results relate to changes in distance in the range of 2 m to 7 m. It can be estimated that the number of UV impulses recorded for a 2 m distance from the camera to PD source is about 2 to 2.5 times greater than that recorded for a distance of 7 m. Trends in curve changes are presented in Figure 13b, Figure 14b and Figure 15b and are fully consistent with the results reported in previous studies (Figure 8).
- (5)
- An analysis was performed with regard to the distribution of mean values of the number of counts with the purpose of determining the optimal gain values in percentage points (Figure 16 and Figure 17). The closest distance between the camera and the PD’s generation source was adopted as the reference value, which was 2.5 m for the needle–needle gaps and 2.0 m for the needle–plate gaps. This distance was determined due to the need to safely locate the UV camera in relation to the tested systems applied for the generation of PDs.
- (6)
- On the basis of the analysis of the resulting characteristics, we can conclude that the most favorable distribution was obtained for the gain values equal to 200 and 250 (Figure 16 and Figure 17). According to the authors, the optimal gain will be 200, as it is characterized by an exponentially declining model. This situation occurs in both tested systems (needle–needle gaps and needle–plate gaps), where the coefficient of determination (R-squared) for the model is 0.99 and 1.00, respectively.
Author Contributions
Funding
Data Availability Statement
Conflicts of Interest
References
- Kunicki, M.; Cichon, A.; Borucki, S. Measurements on partial discharge in on-site operating power transformer: A case study. IET Gener. Transm. Distrib. 2018, 12, 2487–2495. [Google Scholar] [CrossRef]
- Mukhtaruddin, A.; Isa, M.; Noor, M.M.; Adzman, M.R.; Ain, M.F. Review of UHF detection of partial discharge experimentation in oil-filled power transformer: Objectives, methodologies and results. AIP Conf. Proc. 2018, 2013. [Google Scholar] [CrossRef]
- Meitei, S.N.; Borah, K.; Chatterjee, S. Modelling of Acoustic Wave Propagation Due to Partial Discharge and Its Detection and Localization in an Oil-Filled Distribution Transformer. Frequenz 2020, 74, 73–81. [Google Scholar] [CrossRef]
- Mishra, D.K.; Dhara, S.; Koley, C.; Roy, N.K.; Chakravorti, S. Self-organizing feature map based unsupervised technique for detection of partial discharge sources inside electrical substations. Meas. J. Int. Meas. Confed. 2019, 147, 106818. [Google Scholar] [CrossRef]
- Xizi, Z.; Li, C.; Zheng, S.; Ji, H.; Lu, Q.; Wang, Z. Research of a loop-type sensor embedded in an insulator in 252kV GIS for partial discharge measurement. In Proceedings of the 8th International Conference on Mechanical and Intelligent Manufacturing Technologies, Cape Town, South Africa, 3–6 February 2017. [Google Scholar]
- Cichoń, A.; Borucki, S.; Wotzka, D. Modeling of acoustic emission signals generated in on load tap changer. Acta Phys. Pol. A 2014, 125, 1396–1399. [Google Scholar] [CrossRef]
- Nagi, Ł.; Kozioł, M.; Kunicki, M.; Wotzka, D. Using a scintillation detector to detect partial discharges. Sensors 2019, 19, 4936. [Google Scholar] [CrossRef] [PubMed] [Green Version]
- Kunicki, M.; Cichoń, A.; Nagi, Ł. Statistics based method for partial discharge identification in oil paper insulation systems. Electr. Power Syst. Res. 2018, 163, 559–571. [Google Scholar] [CrossRef]
- Przybyłek, P.; Morańda, H.; Mościcka-Grzesiak, H.; Kownacki, I.; Zawisz, R. Drying distribution transformer’s insulation by means of liquid medium. Prz. Elektrotechniczny 2018, 94, 18–21. [Google Scholar]
- Wotzka, D.; Koziol, M.; Nagi, L.; Urbaniec, I. Experimental analysis of acoustic emission signals emitted by surface partial discharges in various dielectric liquids. In Proceedings of the 2018 IEEE 2nd International Conference on Dielectrics, Budapest, Hungary, 1–5 July 2018. [Google Scholar]
- Bachowicz, A.; Boczar, T.; Wotzka, D. Application of a mobile system in diagnostics of power capacitors using the acoustic emission method. Insight Non-Destructive Test. Cond. Monit. 2016, 58, 94–100. [Google Scholar]
- Witos, F.; Opilski, Z.; Szerszeń, G.; Setkiewicz, M. The 8AE-PD computer measurement system for registration and analysis of acoustic emission signals generated by partial discharges in oil power transformers. Metrol. Meas. Syst. 2019, 26, 403–418. [Google Scholar]
- Piotrowski, T. Weryfikacja skuteczności rozpoznawania defektów transformatorów olejowych przez wybrane metody DGA. Pomiary Autom. Kontrola 2013, 59, 129–132. [Google Scholar]
- Wotzka, D. Influence of Frequency and Distance on Acoustic Emission Velocity Propagating in Various Dielectrics. Appl. Sci. 2020, 10, 3305. [Google Scholar] [CrossRef]
- Nemeth, B.; Laboncz, S.; Kiss, I. Condition monitoring of power transformers using DGA and Fuzzy logic. In Proceedings of the 2009 IEEE Electrical Insulation Conference, Montreal, QC, Canada, 31 May–3 June 2009; pp. 373–376. [Google Scholar]
- Cruz, V.G.M.; Costa, A.L.H.; Paredes, M.L.L. Development and evaluation of a new DGA diagnostic method based on thermodynamics fundamentals. IEEE Trans. Dielectr. Electr. Insul. 2015, 22, 888–894. [Google Scholar] [CrossRef]
- Perrier, C.; Marugan, M.; Beroual, A. DGA comparison between ester and mineral oils. IEEE Trans. Dielectr. Electr. Insul. 2012, 19, 1609–1614. [Google Scholar] [CrossRef]
- Dincer, S.; Duzkaya, H.; Tezcan, S.S.; Dincer, M.S. Analysis of Insulation and Environmental Properties of Decomposition Products in SF6-N2 Mixtures in the Presence of H2O. In Proceedings of the 2019 IEEE International Conference on Environment and Electrical Engineering and 2019 IEEE Industrial and Commercial Power Systems Europe, EEEIC/I and CPS Europe, Genova, Italy, 10–14 June 2019. [Google Scholar]
- Czerwonka, J.; Kozioł, M.; Skubis, J. Wpływ geometrii elektrod ostrzowych na wytrzymałość powietrza w polu niejednostajnym. Przegląd Elektrotechniczny 2018, 94, 152–155. [Google Scholar] [CrossRef]
- Scognamillo, C.; Catalano, A.P.; Lasserre, P.; Duchesne, C.; d’Alessandro, V.; Castellazzi, A. Combined experimental-FEM investigation of electrical ruggedness in double-sided cooled power modules. Microelectron. Reliab. 2020, 114, 113742. [Google Scholar] [CrossRef]
- Jaber, A.; Lazaridis, P.; Zhang, Y.; Saeed, B.; Khan, U.; Upton, D.; Ahmed, H.; Mather, P.; Vieira, M.F.Q.; Atkinson, R.; et al. Assessment of absolute partial discharge intensity from a free-space radiometric measurement. IEEE 2016, 1011–1014. [Google Scholar] [CrossRef] [Green Version]
- Khan, U.F.; Lazaridis, P.I.; Mohamed, H.; Albarracín, R.; Zaharis, Z.D.; Atkinson, R.C.; Tachtatzis, C.; Glover, I.A. An Efficient Algorithm for Partial Discharge Localization in High-Voltage Systems Using Received Signal Strength. Sensors 2018, 18, 4000. [Google Scholar] [CrossRef] [Green Version]
- Kozioł, M.; Nagi, Ł.; Kunicki, M.; Urbaniec, I. Radiation in the Optical and UHF Range Emitted by Partial Discharges. Energies 2019, 12, 4334. [Google Scholar] [CrossRef] [Green Version]
- Wilkes, T.C.; McGonigle, A.J.S.; Pering, T.D.; Taggart, A.J.; White, B.S.; Bryant, R.G.; Willmott, J.R. Ultraviolet imaging with low cost smartphone sensors: Development and application of a raspberry pi-based UV camera. Sensors 2016, 16, 1649. [Google Scholar] [CrossRef] [Green Version]
- Donne, D.D.; Aiuppa, A.; Bitetto, M.; D’Aleo, R.; Coltelli, M.; Coppola, D.; Pecora, E.; Ripepe, M.; Tamburello, G. Changes in SO2 Flux regime at mt. etna captured by automatically processed ultraviolet camera data. Remote Sens. 2019, 11, 1201. [Google Scholar] [CrossRef] [Green Version]
- Osorio, M.; Casaballe, N.; Belsterli, G.; Barreto, M.; Gómez, Á.; Ferrari, J.A.; Frins, E. Plume segmentation from UV camera images for SO2 emission rate quantification on cloud days. Remote Sens. 2017, 9, 517. [Google Scholar] [CrossRef] [Green Version]
- Chen, T.; Yuan, S.; Li, J.; Xing, S.; Zhang, H.; Dong, Y.; Chen, L.; Liu, P.; Jiao, G. Image registration for a UV–Visible dual-band imaging system. Opt. Lasers Eng. 2018, 105, 209–218. [Google Scholar] [CrossRef]
- Frącz, P.; Urbaniec, I. Application of UV camera for PD detection on long rod HV insulator. Meas. Autom. Monit. 2015, 3, 64–67. [Google Scholar]
- Maistry, N.; Schutz, R.; Cox, E. The Quantification of Corona Discharges on High Voltage Electrical Equipment in the UV Spectrum using a Corona Camera. In Proceedings of the 2018 International Conference on Diagnostics in Electrical Engineering (Diagnostika), Parkhotel, Pilsen, 4–7 September 2018; pp. 1–4. [Google Scholar]
- Moore, A.J.; Schubert, M.; Rymer, N. Technologies and Operations for High Voltage Corona Detection with UAVs. In Proceedings of the 2018 IEEE Power & Energy Society General Meeting (PESGM), Portland, OR, USA, 5–10 August 2018; pp. 1–5. [Google Scholar]
- Kim, S.; Kim, D.; Jeong, S.; Ham, J.W.; Lee, J.K.; Oh, K.Y. Fault Diagnosis of Power Transmission Lines Using a UAV-Mounted Smart Inspection System. IEEE Access 2020, 8, 149999–150009. [Google Scholar] [CrossRef]
- Constantin, A.; Dinculescu, R.-N. UAV development and impact in the power system. In Proceedings of the 8th International Conference on Modern Power Systems (MPS), Cluj-Napoca, Cluj, Romania, 21–23 May 2019; pp. 1–5. [Google Scholar]

















| Parameter | Value | Unit |
|---|---|---|
| UV spectral range | 250–280 | nm |
| Visible light range | 380–780 | nm |
| Sensitivity within UV range | 3 × 10−18 | W/cm2 |
| Minimum sensitivity of illumination | 1 | Lux |
| Matrix | 640 × 480 | Pixels |
| Lowest detectable PDs | 1.5 (for a distance of 8m) | pC |
| Presentation of UV image/visible light | Solid angle with accuracy greater than 1 | miliradian |
| Operating modes | Visible/UV/combined | - |
| Operating and storage temperatures | −20… +55 | °C |
Publisher’s Note: MDPI stays neutral with regard to jurisdictional claims in published maps and institutional affiliations. |
© 2021 by the authors. Licensee MDPI, Basel, Switzerland. This article is an open access article distributed under the terms and conditions of the Creative Commons Attribution (CC BY) license (https://creativecommons.org/licenses/by/4.0/).
Share and Cite
Skubis, J.; Kozioł, M. Assessment of Partial Discharges in the Air by Application of Corona Camera. Appl. Sci. 2021, 11, 8595. https://doi.org/10.3390/app11188595
Skubis J, Kozioł M. Assessment of Partial Discharges in the Air by Application of Corona Camera. Applied Sciences. 2021; 11(18):8595. https://doi.org/10.3390/app11188595
Chicago/Turabian StyleSkubis, Jerzy, and Michał Kozioł. 2021. "Assessment of Partial Discharges in the Air by Application of Corona Camera" Applied Sciences 11, no. 18: 8595. https://doi.org/10.3390/app11188595
APA StyleSkubis, J., & Kozioł, M. (2021). Assessment of Partial Discharges in the Air by Application of Corona Camera. Applied Sciences, 11(18), 8595. https://doi.org/10.3390/app11188595

