Improving Forecast Accuracy with an Auto Machine Learning Post-Correction Technique in Northern Xinjiang
Abstract
:1. Introduction
2. Data and Method
2.1. Model and Configurations
2.2. Ground Meteorological Observations
2.3. AutoML Algorithm
2.4. Model Fitting and Evaluation
3. Results and Discussion
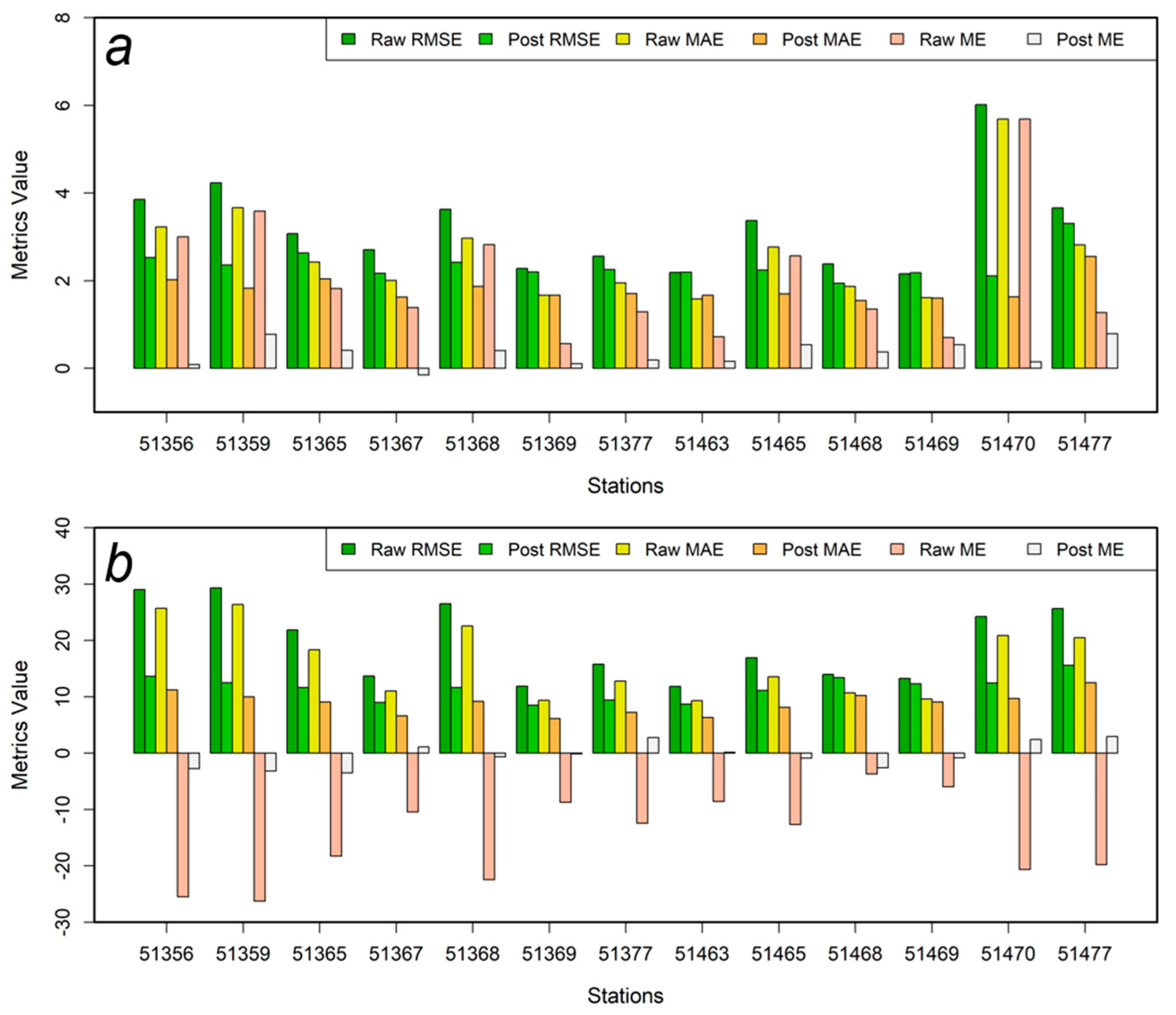
3.1. Raw Forecast Performance
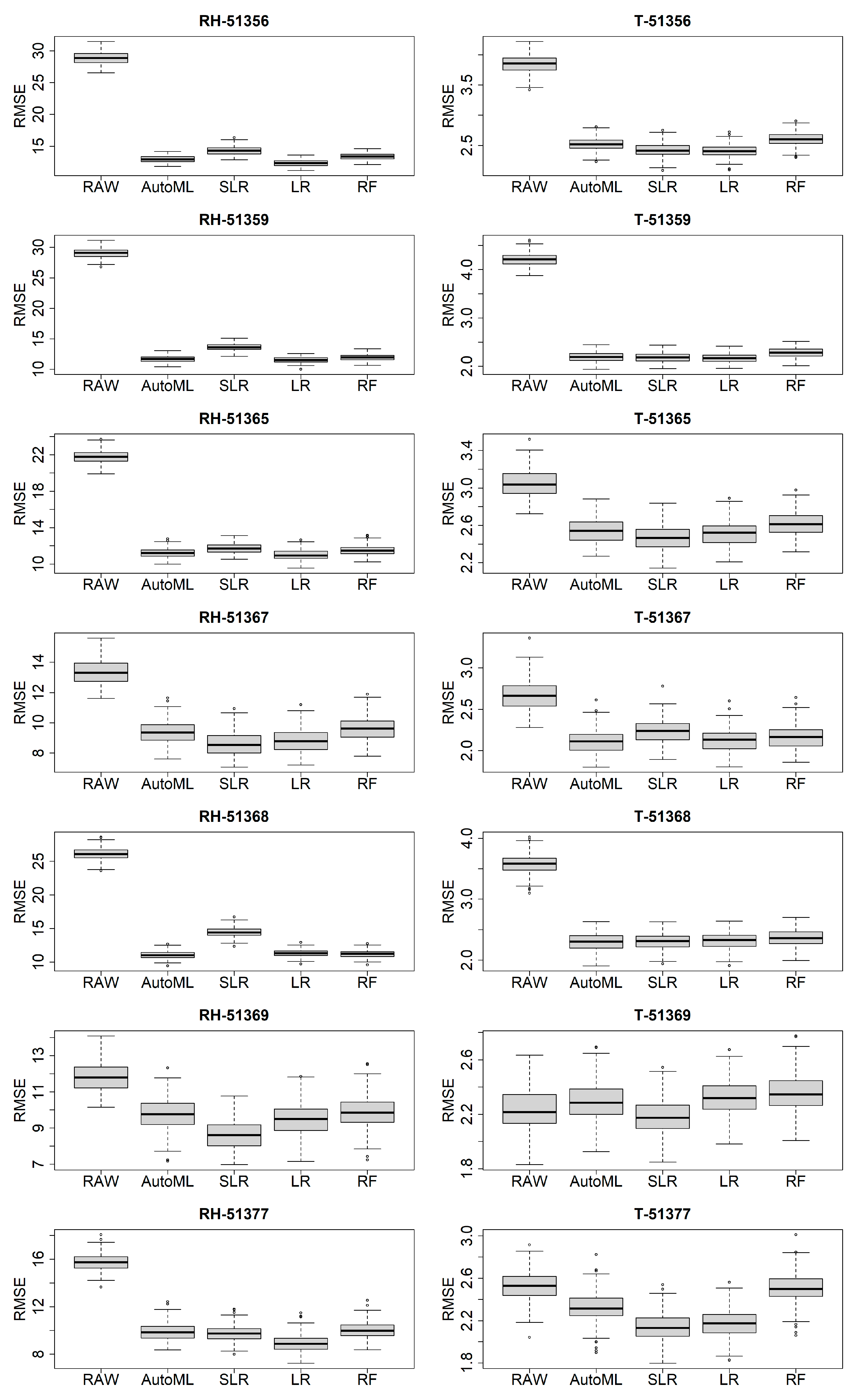
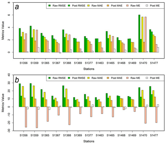
3.2. Post-Correction Performance
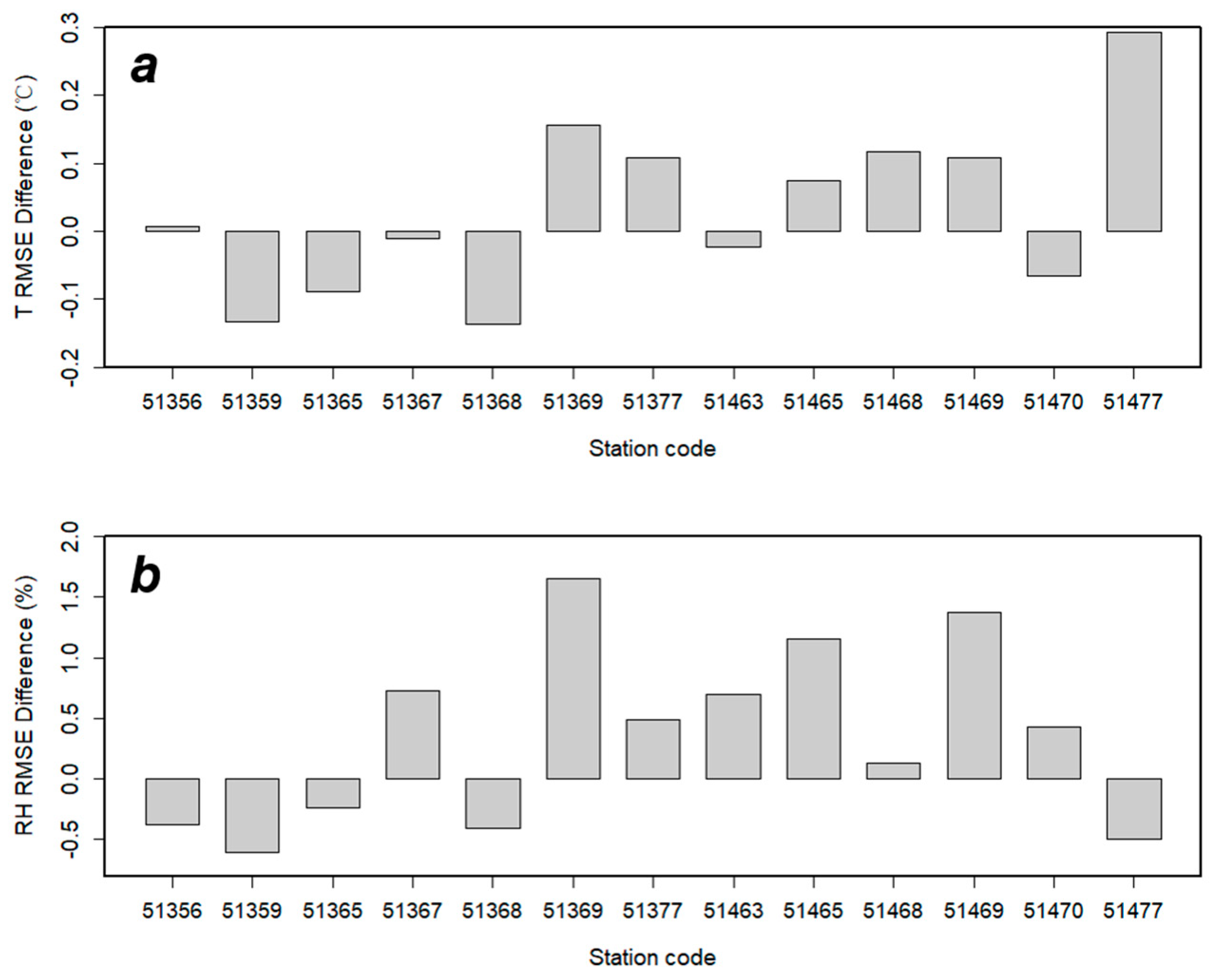
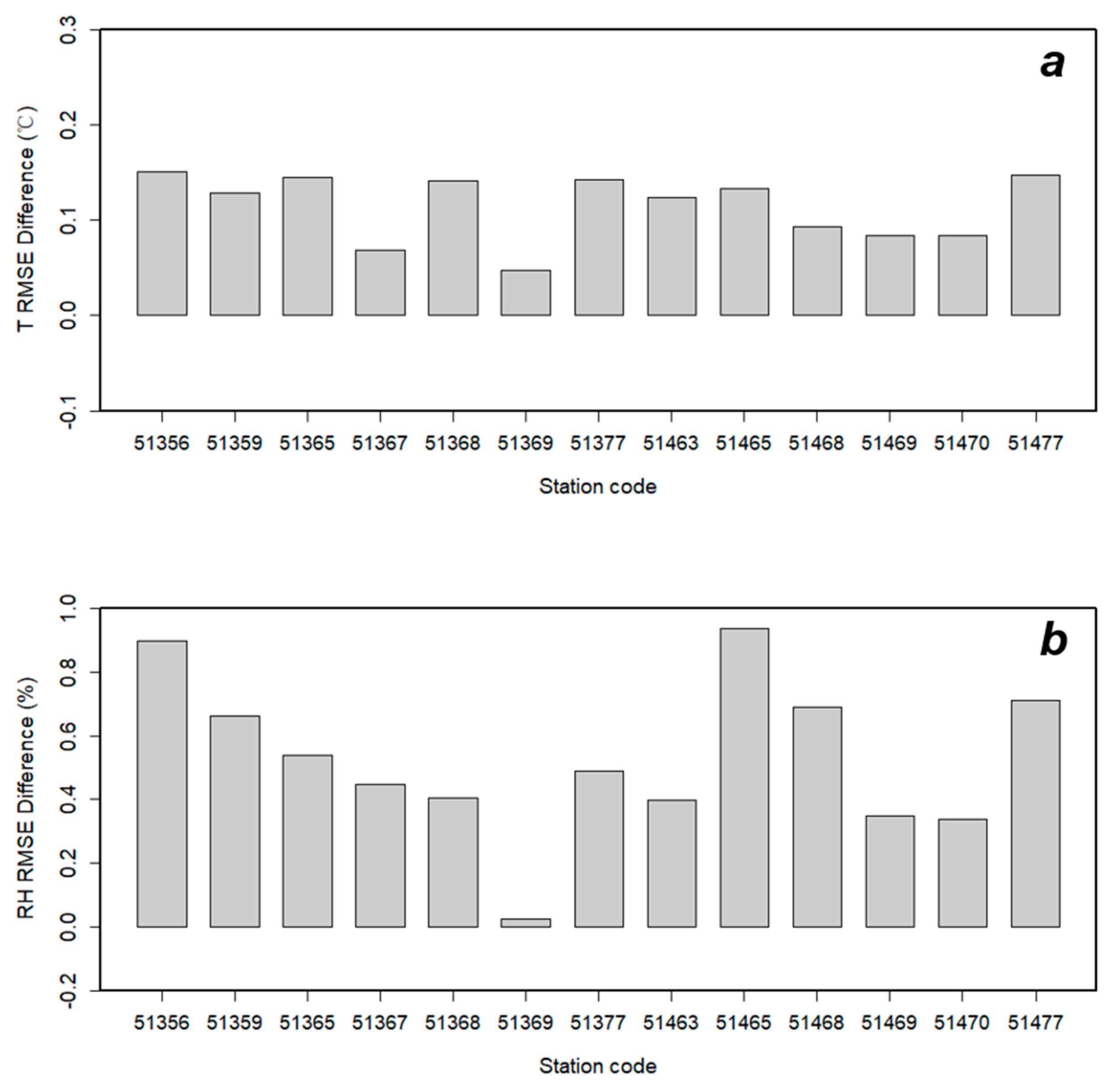
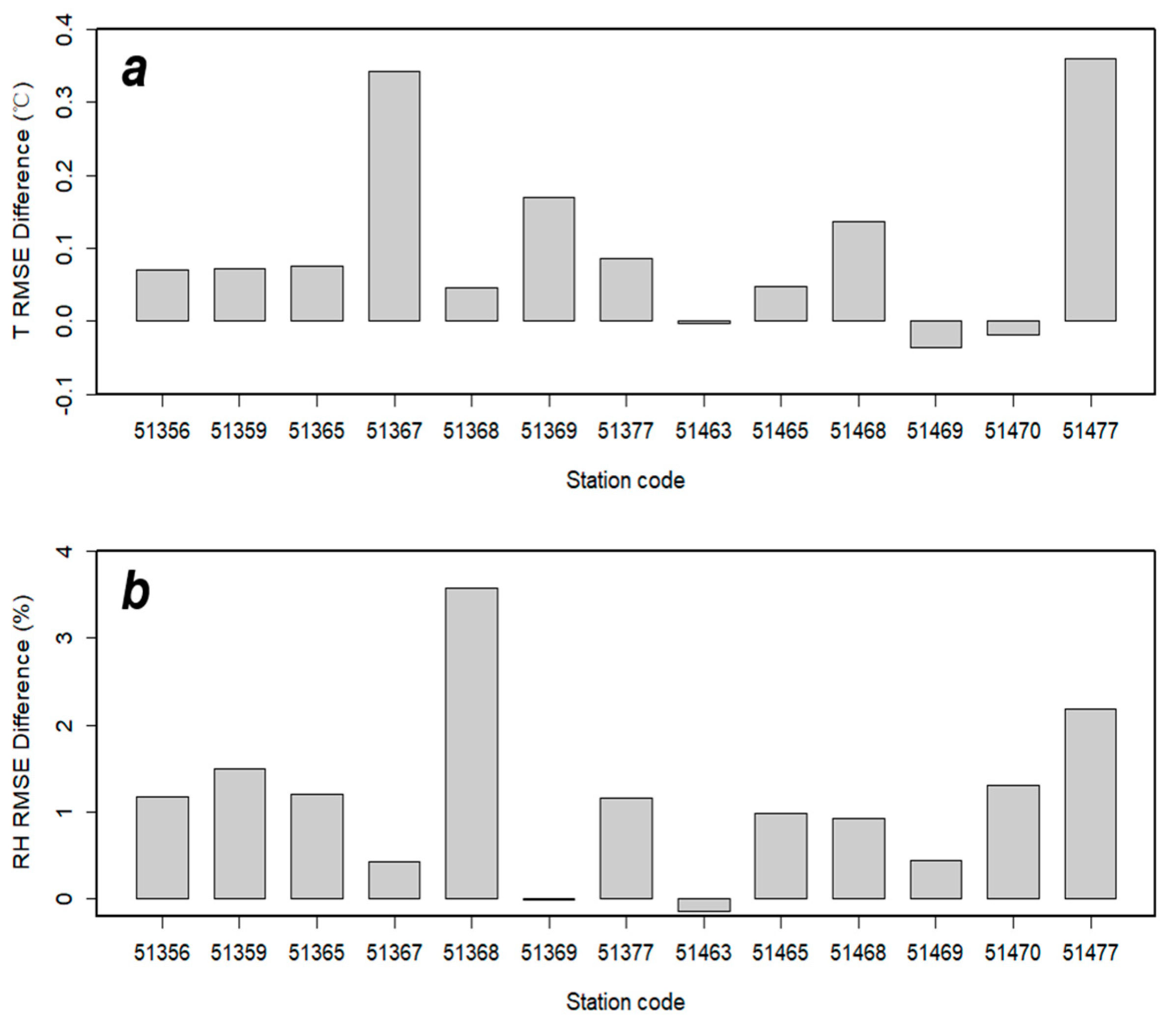
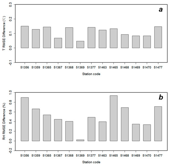
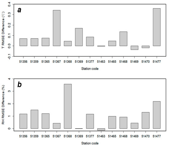
3.3. Time-Series Analysis
4. Conclusions
Author Contributions
Funding
Data Availability Statement
Acknowledgments
Conflicts of Interest
References
- Accadia, C.; Mariani, S.; Casaioli, M.; Lavagnini, A.; Speranza, A. Verification of Precipitation Forecasts from Two Limited-Area Models over Italy and Comparison with ECMWF Forecasts Using a Resampling Technique. Weather Forecast. 2005, 20, 276–300. [Google Scholar] [CrossRef]
- Barker, D.; Huang, X.Y.; Liu, Z. The Weather Research and Forecasting Model’s Community Variational/Ensemble Data Assimilation SystemWRFDA. Bull. Am. Meteorol. Soc. 2012, 93, 831–843. [Google Scholar] [CrossRef] [Green Version]
- Brokamp, C.; Jandarov, R.; Hossain, M. Predicting daily urban fine particulate matter concentrations using a random forest model. Environ. Sci. Technol. 2018, 52, 4173–4179. [Google Scholar] [CrossRef] [PubMed]
- Delle Monache, L.; Nipen, T.; Liu, Y. Kalman filter and analog schemes to postprocess numerical weather predictions. Mon. Weather Rev. 2011, 139, 3554–3570. [Google Scholar] [CrossRef] [Green Version]
- Eccel, E.; Fratton, S.; Ghielmi, L. Application of a non-linear temperature forecast post-processing technique for the optimization of powdery mildew protection on strawberry. Ital. J. Agrometeorol. 2010, 15, V15-26–V15-30. [Google Scholar]
- Friedman, J.H. Greedy function approximation: A gradient boosting machine. Ann. Stat. 2001, 29, 1189–1232. [Google Scholar] [CrossRef]
- Hacker, J.P.; Rife, D.L. A Practical Approach to Sequential Estimation of Systematic Error on Near-Surface Mesoscale Grids. Weather Forecast. 2007, 22, 1257–1273. [Google Scholar] [CrossRef]
- He, Y.; Lin, J.; Liu, Z.; Wang, H.; Li, L.; Han, S. AMC: AutoML for Model Compression and Acceleration on Mobile Devices. In Proceedings of the European Conference on Computer Vision, Munich, Germany, 8–14 September 2018. [Google Scholar]
- Homleid, M. Diurnal Corrections of Short-Term Surface Temperature Forecasts Using the Kalman Filter. Weather Forecast. 1995, 10, 689–707. [Google Scholar] [CrossRef] [Green Version]
- Kang, J.-H.; Suh, M.-S.; Hong, K.-O. Development of updateable model output statistics (umos) system for air temperature over south korea. Asia Pac. J. Atmos. Sci. 2011, 47, 199–211. [Google Scholar] [CrossRef]
- Junk, C.; Monache, L.D.; Alessandrini, S. Analog-Based Ensemble Model Output Statistics. Mon. Weather Rev. 2015, 143, 2909–2917. [Google Scholar] [CrossRef]
- Liu, Y.; Yao, X. Ensemble learning via negative correlation. Neural Netw. 2004, 12, 1399–1404. [Google Scholar] [CrossRef]
- Lyu, B.L. Fusion Method Combining Ground-Level Observations with Chemical Transport Model Predictions Using an Ensemble Deep Learning Framework: Application in China to Estimate Spatiotemporally-Resolved PM2.5 Exposure Fields in 2014-2017. Environ. Sci. Technol. 2019, 53, 7306–7315. [Google Scholar] [CrossRef]
- Feurer, M.; Klein, A.; Eggensperger, K.; Springenberg, J.; Blum, M.; Hutter, F. Efficient and robust automated machine learning. Adv. Neural Inf. Process. Syst. 2016, 28, 29442952.ss. [Google Scholar]
- Sna, B.; Mrk, C. Machine learning in predicting mechanical behavior of additively manufactured parts. J. Mater. Res. Technol. 2021, 2, 14. [Google Scholar]
- Sircar, A.; Yadav, K.; Rayavarapu, K.; Bist, N.; Oza, H. Application of machine learning and artificial intelligence in oil and gas industry. Pet. Res. 2021. [Google Scholar] [CrossRef]
- MJ, V.D.L.; Polley, E.C. Super learner. Stat. Appl. Genet. Mol. Biol. 2007, 6, 1–23. [Google Scholar]
- Monache, L.D.; Grell, G.A.; Mckeen, S. A kalman-filter bias correction of ozone deterministic, ensemble-averaged, and probabilistic forecasts. Tellus 2006, 60b, 2. [Google Scholar]
- Courtier, P.; Thépaut, J.-N.; Hollingsworth, A. A strategy for operational implementation of 4d-var, using an incremental approach. Q. J. R. Meteorol. Soc. 1994, 120, 1367–1387. [Google Scholar] [CrossRef]
- Schmidhuber, J. Deep learning in neural networks: An overview. Neural Netw. 2015, 61, 85–117. [Google Scholar] [CrossRef] [Green Version]
- Schilling, N.; Wistuba, M.; Drumond, L. Joint Model Choice and Hyperparameter Optimization with Factorized Multilayer Perceptrons. In Proceedings of the IEEE International Conference on Tools with Artificial Intelligence, Vietri sul Mare, Italy, 9–11 November 2015. [Google Scholar] [CrossRef]
- Svetnik, V.; Liaw, A.; Tong, C.; Culberson, J.C.; Sheridan, R.P.; Feuston, B.P. Random forest: A classification and regression tool for compound classification and QSAR modeling. J. Chem. Inf. Comput. Sci. 2003, 43, 1947. [Google Scholar] [CrossRef]
- Thompson, G.; Rasmussen, R.M.; Manning, K. Explicit forecasts of winter precipitation using an improved bulk microphysics scheme. part i: Description and sensitivity analysis. Mon. Weather Rev. 2004, 132, 519–542. [Google Scholar] [CrossRef] [Green Version]
- Zeng, Y.; Zhang, J. A machine learning model for detecting invasive ductal carcinoma with google cloud automl vision. Comput. Biol. Med. 2020, 122, 103861. [Google Scholar] [CrossRef] [PubMed]
- Zenko, B.; Todorovski, L.; Dzeroski, S. A Comparison of Stacking with Meta Decision Trees to Bagging, Boosting, and Stacking with other Methods. In Proceedings of the IEEE International Conference on Tools with Artificial Intelligence, Dallas, TX, USA, 7–9 November 2001. [Google Scholar] [CrossRef]
















| Model and Configurations | |
|---|---|
| Model version | ARWv3.8, nonhydrostatic=true |
| Domain 1 | 712 × 532, nominal 9 km |
| Domain 2 | 832 × 652, nominal 3 km |
| Vertical computation layers | 50 |
| Pressure top | 10 hPa |
| Lateral boundary conditions | GFS forecasts |
| Microphysics | WSM6 |
| Longwave radiation | RRTMG scheme |
| Shortwave radiation | RRTMG scheme |
| Land surface | Unified Noah land-surface model |
| Deep convection | Kain-Fritsch |
| Planetary-boundary and surface layer | ACM2 |
Publisher’s Note: MDPI stays neutral with regard to jurisdictional claims in published maps and institutional affiliations. |
© 2021 by the authors. Licensee MDPI, Basel, Switzerland. This article is an open access article distributed under the terms and conditions of the Creative Commons Attribution (CC BY) license (https://creativecommons.org/licenses/by/4.0/).
Share and Cite
Liu, J.; Zhang, H.; Li, H.; Mamtimin, A. Improving Forecast Accuracy with an Auto Machine Learning Post-Correction Technique in Northern Xinjiang. Appl. Sci. 2021, 11, 7931. https://doi.org/10.3390/app11177931
Liu J, Zhang H, Li H, Mamtimin A. Improving Forecast Accuracy with an Auto Machine Learning Post-Correction Technique in Northern Xinjiang. Applied Sciences. 2021; 11(17):7931. https://doi.org/10.3390/app11177931
Chicago/Turabian StyleLiu, Junjian, Hailiang Zhang, Huoqing Li, and Ali Mamtimin. 2021. "Improving Forecast Accuracy with an Auto Machine Learning Post-Correction Technique in Northern Xinjiang" Applied Sciences 11, no. 17: 7931. https://doi.org/10.3390/app11177931
APA StyleLiu, J., Zhang, H., Li, H., & Mamtimin, A. (2021). Improving Forecast Accuracy with an Auto Machine Learning Post-Correction Technique in Northern Xinjiang. Applied Sciences, 11(17), 7931. https://doi.org/10.3390/app11177931

