Analysis of the Dynamic Stiffness, Hysteresis Resonances and Complex Responses for Nonlinear Spring Systems in Power-Form Order
Abstract
1. Introduction
2. Power-Form Nonlinear System Model
3. Methodology
4. Results
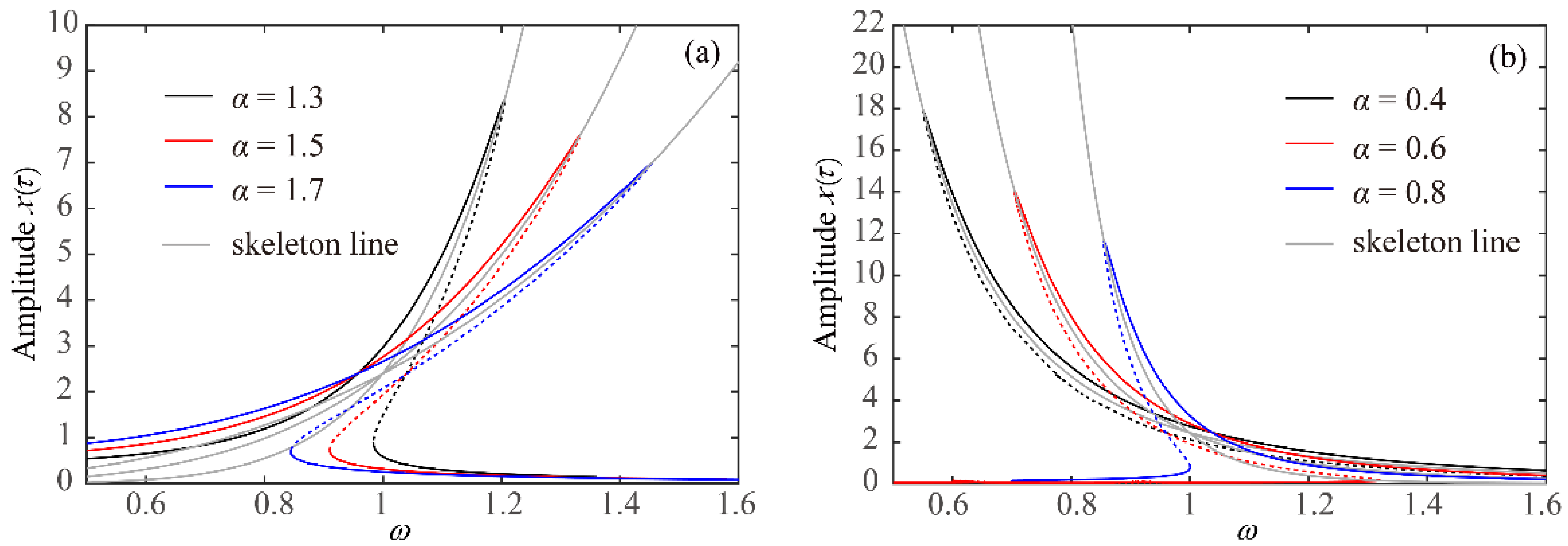
4.1. Frequency-Response Characteristics of Continuous System (H(x) = 1, ζ = 0.01, A = 0.1)
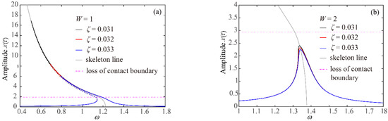
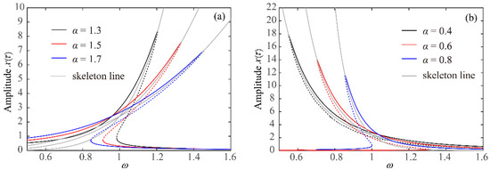
4.2. Frequency-Response Characteristics of One-Sided Contact System (H(x) = Heaviside(x), ζ = 0.032, A = 0.1, W = 1)
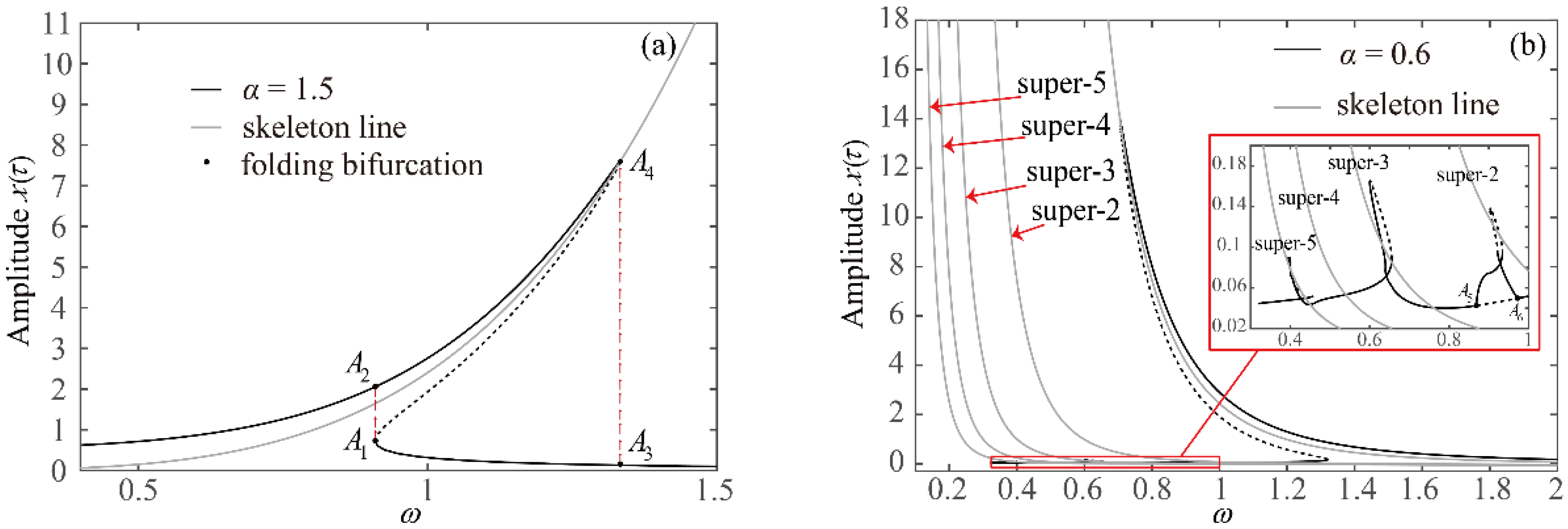
4.3. Excitation Characteristics of One-Sided Contact System (ζ = 0.032, α = 1, W = 1)
5. Conclusions
Author Contributions
Funding
Institutional Review Board Statement
Informed Consent Statement
Data Availability Statement
Acknowledgments
Conflicts of Interest
References
- Holland, D.; Marder, M. Ideal brittle fracture of silicon studied with molecular dynamics. Phys. Rev. Lett. 1998, 80, 746–749. [Google Scholar] [CrossRef]
- Valtonen, M.; Karttunen, H. The Three-Body Problem; Cambridge University Press: Cambridge, UK, 2006. [Google Scholar]
- Ibrahim, R.A. Vibro-Impact Dynamics; Springer: Berlin/Heidelberg, Germany, 2009. [Google Scholar]
- Russell, D.; Rossing, T. Testing the nonlinearity of piano hammers using residual shock spectra. Acta Acust. United Acust. 1998, 84, 967–975. [Google Scholar]
- Manciu, M.; Sen, S.; Hurd, A.J. The propagation and backscattering of soliton-like pulses in a chain of quartz beads and related problems. (I). Propagation. Phys. A 2000, 274, 588–606. [Google Scholar] [CrossRef][Green Version]
- Xiao, H.F.; Sun, Y.Y. On the normal contact stiffness and contact resonance frequency of rough surface contact based on asperity micro-contact statistical models. Eur. J. Mech. A-Solid 2019, 75, 450–460. [Google Scholar] [CrossRef]
- While, M.F. Rolling element bearing vibration transfer characteristics: Effect of stiffness. ASME J. Appl. Mech. 1979, 46, 677–684. [Google Scholar] [CrossRef]
- Yu, X.; Sun, Y.Y.; Zhao, D.; Wu, S. A revised contact stiffness model of rough curved surfaces based on the length scale. Tribol. Int. 2021, 164, 107206. [Google Scholar] [CrossRef]
- Hess, D.; Soom, A. Normal vibrations and friction under harmonic loads: Part 1: Hertzian contact. ASME J. Tribol. 1991, 113, 80–86. [Google Scholar] [CrossRef]
- Harris, T.A. Rolling Bearing Analysis, 4th ed.; John Wiley & Sons: New York, NY, USA, 2001. [Google Scholar]
- Ehrich, F.F. Handbook of Rotordynamics; McGraw-Hill: New York, NY, USA, 1992. [Google Scholar]
- Zhang, Z.Y.; Sattel, T.; Aditya, S.T.; Rui, X.; Yang, S.; Yang, R.; Ying, Y.; Li, X. Suppression of complex hysteretic resonances in varying compliance vibration of a ball bearing. Shock Vib. 2020. [Google Scholar] [CrossRef]
- Oliva Uribe, D.; Schoukens, J.; Stroop, R. Improved tactile resonance sensor for Robotic assisted surgery. Mech. Syst. Signal. Pr. 2018, 99, 600–610. [Google Scholar] [CrossRef]
- Aureli, M.; Tung, R. A plate-like sensor for the identification of sample viscoelastic properties using contact resonance Atomic Force Microscopy. ASME Lett. Dyn. Sys. Control. 2021, 1, 1–9. [Google Scholar]
- Mickens, R.E. Analysis of non-linear oscillators having nonpolynomial elastic terms. J. Sound Vib. 2002, 255, 789–792. [Google Scholar] [CrossRef]
- Hu, H.; Xiong, Z.G. Oscillations in an x(2m+2)/(2n+1) potential. J. Sound Vib. 2003, 259, 977–980. [Google Scholar] [CrossRef]
- Cveticanin, L. Oscillator with fraction order restoring force. J. Sound Vib. 2009, 320, 1064–1077. [Google Scholar] [CrossRef]
- Kovacic, I.; Rakaric, Z.; Cveticanin, L. A non-simultaneous variational approach for the oscillators with fractional-order power nonlinearities. Appl. Math. Comput. 2010, 217, 3944–3954. [Google Scholar] [CrossRef]
- Kovacic, I. Forced vibrations of oscillators with a purely nonlinear power-form restoring force. J. Sound Vib. 2011, 330, 4313–4327. [Google Scholar] [CrossRef]
- Rakaric, Z.; Kovacic, I. An elliptic averaging method for harmonically excited oscillators with a purely non-linear non-negative real-power restoring force. Commun. Nonlinear Sci. Numer. Simul. 2013, 18, 1888–1901. [Google Scholar] [CrossRef]
- Huang, D.M.; Xu, W.; Liu, Y.J.; Liu, Y. Dynamical properties of a forced vibration isolation system with real-power nonlinearities in restoring and damping forces. Nonlinear Dyn. 2015, 81, 641–658. [Google Scholar] [CrossRef]
- Carson, R.M.; Johnson, K.L. Surface corrugations spontaneously generated in a rolling contact disc machine. Wear 1971, 17, 59–72. [Google Scholar] [CrossRef]
- Nayak, R. Contact vibrations. J. Sound Vib. 1972, 22, 297–322. [Google Scholar] [CrossRef]
- Rigaud, E.; Perret-Liaudet, J. Experiments and numerical results on nonlinear vibrations of an impacting Hertzian contact. Part 1: Harmonic excitation. J. Sound Vib. 2003, 265, 289–307. [Google Scholar] [CrossRef]
- Ma, Q.L.; Kahraman, A.; Perret-Liaudet, J.; Rigaud, E. An investigation of steady-state dynamic response of a sphere-plane contact interface with contact loss. ASME J. Appl. Mech. 2007, 74, 249–255. [Google Scholar] [CrossRef]
- Zhang, Z.Y.; Rui, X.T.; Yang, R.; Chen, Y. Control of period-doubling and chaos in varying compliance resonances for a ball bearing. ASME J. Appl. Mech. 2020, 87, 021005. [Google Scholar] [CrossRef]
- Zhang, Z.Y.; Sattel, T.; Zhu, Y.J.; Dong, Y.; Rui, X. Mechanism and characteristics of global varying compliance parametric resonances in a ball bearing. Appl. Sci. 2020, 10, 7849. [Google Scholar] [CrossRef]
- Jackson, S.; Gutschmidt, S.; Roeser, D.; Sattel, T. Development of a mathematical model and analytical solution of a coupled two-beam array with nonlinear tip forces for application to AFM. Nonlinear Dyn. 2017, 87, 775–787. [Google Scholar] [CrossRef]
- Manneville, P.; Pomeau, Y. Intermittency and the Lorenz model. Phys. Lett. A 1979, 75, 1–2. [Google Scholar] [CrossRef]
- Yue, Y.; Miao, P.C.; Xie, J.H.; Celso, G. Symmetry restoring bifurcations and quasiperiodic chaos induced by a new intermittency in a vibro-impact system. Chaos 2016, 26, 113121. [Google Scholar] [CrossRef]











| A | 1.7798 | 1.77982 | 1.779835 | 1.77983603 |
|---|---|---|---|---|
| λm | 0.9920 | 0.9927 | 0.9991 | 1.0020 |
| 0.1857 | 0.1854 | 0.1839 | 0.1833 |
Publisher’s Note: MDPI stays neutral with regard to jurisdictional claims in published maps and institutional affiliations. |
© 2021 by the authors. Licensee MDPI, Basel, Switzerland. This article is an open access article distributed under the terms and conditions of the Creative Commons Attribution (CC BY) license (https://creativecommons.org/licenses/by/4.0/).
Share and Cite
Wang, Q.; Zhang, Z.; Ying, Y.; Pang, Z. Analysis of the Dynamic Stiffness, Hysteresis Resonances and Complex Responses for Nonlinear Spring Systems in Power-Form Order. Appl. Sci. 2021, 11, 7722. https://doi.org/10.3390/app11167722
Wang Q, Zhang Z, Ying Y, Pang Z. Analysis of the Dynamic Stiffness, Hysteresis Resonances and Complex Responses for Nonlinear Spring Systems in Power-Form Order. Applied Sciences. 2021; 11(16):7722. https://doi.org/10.3390/app11167722
Chicago/Turabian StyleWang, Qingtao, Zhiyong Zhang, Yongheng Ying, and Zhaojun Pang. 2021. "Analysis of the Dynamic Stiffness, Hysteresis Resonances and Complex Responses for Nonlinear Spring Systems in Power-Form Order" Applied Sciences 11, no. 16: 7722. https://doi.org/10.3390/app11167722
APA StyleWang, Q., Zhang, Z., Ying, Y., & Pang, Z. (2021). Analysis of the Dynamic Stiffness, Hysteresis Resonances and Complex Responses for Nonlinear Spring Systems in Power-Form Order. Applied Sciences, 11(16), 7722. https://doi.org/10.3390/app11167722

