Analysis of Nucleation and Glass Formation by Chip Calorimetry
Abstract
:1. Introduction
2. Materials and Methods
2.1. Metallic Glass Samples
2.2. Polybutylene Terephthalate (PBT) Sample
2.3. D-Mannitol Sample
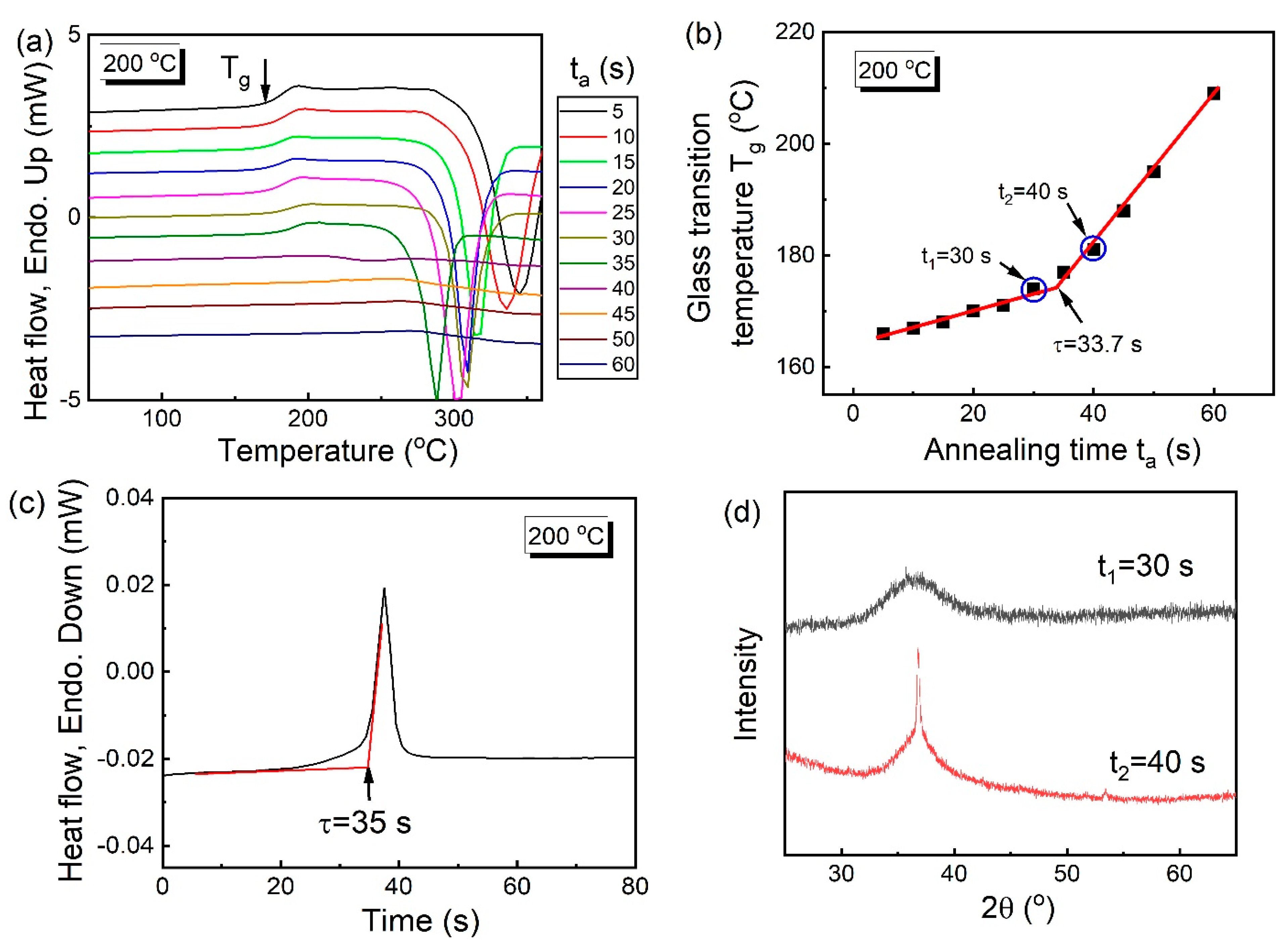
2.4. Itraconazole (ITZ) Sample
3. Results and Discussions
3.1. Nucleation and Primary Crystallization
3.1.1. Separation of Glass Transition Temperature and Crystallization Temperature by Increasing Heating Rate in Marginal Al-Based MG
3.1.2. Delay Time Determination in Various Amorphous Materials
- (1)
- Marginal Al-Based MG
- (2)
- Stable La-Based MG
- (3)
- Stable Mg-Based MG
- (4)
- Amorphous Polymer Material
3.2. Glass Formation
3.2.1. New Polyamorphous Material-D-Mannitol
3.2.2. In-Situ Formation of Glass in Liquid Crystals
4. Conclusions
Author Contributions
Funding
Institutional Review Board Statement
Informed Consent Statement
Data Availability Statement
Conflicts of Interest
References
- Schawe, J.E.K. Influence of processing conditions on polymer crystallization measured by fast scanning DSC. J. Therm. Anal. Calorim. 2013, 116, 1165–1173. [Google Scholar] [CrossRef]
- Zhu, M.; Wang, J.-Q.; Perepezko, J.H.; Yu, L. Possible existence of two amorphous phases of d-mannitol related by a first-order transition. J. Chem. Phys. 2015, 142, 244504. [Google Scholar] [CrossRef] [PubMed]
- Zhu, M.; Yu, L. Polyamorphism of D-mannitol. J. Chem. Phys. 2017, 146, 244503. [Google Scholar] [CrossRef] [PubMed]
- Tang, W.; Perepezko, J.H. Polyamorphism and liquid-liquid transformations in D-mannitol. J. Chem. Phys. 2018, 149, 074505. [Google Scholar] [CrossRef] [PubMed]
- Teerakapibal, R.; Huang, C.; Gujral, A.; Ediger, M.D.; Yu, L. Organic Glasses with Tunable Liquid-Crystalline Order. Phys. Rev. Lett. 2018, 120, 055502. [Google Scholar] [CrossRef] [PubMed] [Green Version]
- Bondi, K.; Gangopadhyay, A.; Marine, Z.; Kim, T.; Mukhopadhyay, A.; Goldman, A.; Buhro, W.E.; Kelton, K. Effects of microalloying with 3D transition metals on glass formation in AlYFe alloys. J. Non-Crystalline Solids 2007, 353, 4723–4731. [Google Scholar] [CrossRef]
- Shen, Y.; Perepezko, J.H. Al-based amorphous alloys: Glass-forming ability, crystallization behavior and effects of minor alloying additions. J. Alloy. Compd. 2017, 707, 3–11. [Google Scholar] [CrossRef] [Green Version]
- Zhuravlev, E.; Schick, C. Fast scanning power compensated differential scanning nano-calorimeter: 1. The device. Thermochim. Acta 2010, 505, 1–13. [Google Scholar] [CrossRef]
- Zhuravlev, E.; Schick, C. Fast scanning power compensated differential scanning nano-calorimeter: 2. Heat capacity analysis. Thermochim. Acta 2010, 505, 14–21. [Google Scholar] [CrossRef]
- Inoue, A.; Matsumoto, N.; Masumoto, T. Al–Ni–Y–Co Amorphous Alloys with High Mechanical Strengths, Wide Supercooled Liquid Region and Large Glass-Forming Capacity. Mater. Trans. JIM 1990, 31, 493–500. [Google Scholar] [CrossRef] [Green Version]
- Ye, F.; Lu, K. Crystallization kinetics of Al–La–Ni amorphous alloy. J. Non Cryst. Solids 2000, 262, 228–235. [Google Scholar] [CrossRef] [Green Version]
- Wang, J.Q.; Liu, Y.H.; Imhoff, S.; Chen, N.; Louzguine-Luzgin, D.V.; Takeuchi, A.; Chen, M.W.; Kato, H.; Perepezko, J.H.; Inoue, A. Enhance the thermal stability and glass forming ability of Al-based metallic glass by Ca minor-alloying. Intermetallics 2012, 29, 35–40. [Google Scholar] [CrossRef]
- Kelton, K.F.; Greer, A.L. Transient nucleation effects in glass formation. J. Non Cryst. Solids 1986, 79, 295–309. [Google Scholar] [CrossRef]
- Fokin, V.M.; Kalinina, A.M.; Filipovich, V.N. Nucleation in silicate glasses and effect of preliminary heat treatment on it. J. Cryst. Growth 1981, 52, 115–121. [Google Scholar] [CrossRef]
- Lu, Z.P.; Liu, C.T. A new glass-forming ability criterion for bulk metallic glasses. Acta Mater. 2002, 50, 3501–3512. [Google Scholar] [CrossRef]
- Perepezko, J.H. Nucleation-controlled reactions and metastable structures. Prog. Mater. Sci. 2004, 49, 263–284. [Google Scholar] [CrossRef]
- Perepezko, J.H.; Imhoff, S.D. Primary crystallization reactions in Al-based metallic glass alloys. J. Alloys Compd. 2010, 504, S222–S225. [Google Scholar] [CrossRef]
- Zhang, B.; Zhao, D.Q.; Pan, M.X.; Wang, W.H.; Greer, A.L. Amorphous Metallic Plastic. Phys. Rev. Lett. 2005, 94, 205502. [Google Scholar] [CrossRef] [Green Version]
- Johnson, W.L. Bulk Glass-Forming Metallic Alloys: Science and Technology. MRS Bull. 1999, 24, 42–56. [Google Scholar] [CrossRef]
- Shen, Y.; Perepezko, J.H. The effect of minor addition of insoluble elements on transformation kinetics in amorphous Al alloys. J. Alloys. Compd. 2015, 643, S260–S264. [Google Scholar] [CrossRef] [Green Version]
- Xing, L.Q.; Mukhopadhyay, A.; Buhro, W.E.; Kelton, K.F. Improved Al-Y-Fe glass formation by microalloying with Ti. Philos. Mag. Lett 2004, 84, 293–302. [Google Scholar] [CrossRef]
- Shen, Y.; Perepezko, J.H. Investigation of the nucleation delay time in Al-based metallic glasses by high rate calorimetry. J. Non Cryst. Solids 2018, 502, 9–14. [Google Scholar] [CrossRef]
- Gao, M.; Perepezko, J.H. Flash DSC determination of the delay time for primary crystallization and minor alloying effect in marginal Al-based metallic glasses. Thermochim. Acta 2019, 677, 91–98. [Google Scholar] [CrossRef]
- Slipenyuk, A.; Eckert, J. Correlation between enthalpy change and free volume reduction during structural relaxation of Zr55Cu30Al10Ni5 metallic glass. Scr. Mater. 2004, 50, 39–441. [Google Scholar] [CrossRef]
- Mei, J.N.; Soubeyroux, J.L.; Blandin, J.J.; Li, J.S.; Kou, H.C.; Fu, H.Z.; Zhou, L. Structural relaxation of Ti40Zr25Ni8Cu9Be18 bulk metallic glass. J. Non Cryst. Solids 2011, 357, 110–1151. [Google Scholar] [CrossRef] [Green Version]
- Qiao, J.C.; Pelletier, J.M.; Blandin, J.J.; Gravier, S. High temperature deformation in a lanthanum based bulk metallic glass showing a pronounced secondary relaxation. Mater. Sci. Eng. A 2013, 586, 57–61. [Google Scholar] [CrossRef]
- Men, H.; Kim, D.H. Fabrication of ternary Mg-Cu-Gd bulk metallic glass with high glass-forming ability under air atmosphere. J. Mater. Res. 2003, 18, 1502–1504. [Google Scholar] [CrossRef]
- Mileva, D.; Androsch, R.; Zhuravlev, E.; Schick, C.; Wunderlich, B. Homogeneous nucleation and mesophase formation in glassy isotactic polypropylene. Polymer 2012, 53, 277–282. [Google Scholar] [CrossRef]
- Onishi, Y.; Nakai, T. Effect of nucleation of Poly (1,4-butylene terephthalate) on its flowability. Polymer J. Calorim. 1992, 24, 833–840. [Google Scholar] [CrossRef]
- Tanaka, H. Importance of many-body orientational correlations in the physical description of liquids. Faraday Discuss. 2013, 167, 9–76. [Google Scholar] [CrossRef] [Green Version]
- Wouters, S.; Demir, F.; Beenaerts, L.; Van Assche, G. Calibration and performance of a fast-scanning DSC—Project RHC. Thermochim. Acta 2012, 530, 64–72. [Google Scholar] [CrossRef]
- Jiang, J.; Zhuravlev, E.; Huang, Z.; Wei, L.; Xu, Q.; Shan, M.; Xue, G.; Zhou, D.; Schick, C.; Jiang, W. A transient polymorph transition of 4-cyano-4′-octyloxybiphenyl (8OCB) revealed by ultrafast differential scanning calorimetry (UFDSC). Soft Matter. 2013, 9, 1488–1491. [Google Scholar] [CrossRef]
- Six, K.; Verreck, G.; Peeters, J.; Binnemans, K.; Berghmans, H.; Augustijns, P.; Kinget, R.; Mooter, G.V.D. Investigation of thermal properties of glassy itraconazole: Identification of a monotropic mesophase. Thermochim. Acta 2001, 376, 175–181. [Google Scholar] [CrossRef]
- Tarnacka, M.; Adrjanowicz, K.; Kaminska, E.; Kaminski, K.; Grzybowska, K.; Kolodziejczyk, K.; Wlodarczyk, P.; Hawelek, L.; Garbacz, G.; Kocot, A.; et al. Molecular dynamics of itraconazole at ambient and high pressure. Phys. Chem. Chem. Phys. 2013, 15, 20742–20752. [Google Scholar] [CrossRef] [PubMed]
- Ramos, J.J.M.; Diogo, H.P. The slow relaxation dynamics in active pharmaceutical ingredients studied by DSC and TSDC: Voriconazole, miconazole and itraconazole. Int. J. Pharmacol. 2016, 501, 39–48. [Google Scholar] [CrossRef] [PubMed]
- Broadband Dielectric Spectroscopy; Kremer, F.; Schönhals, A. (Eds.) Springer: Berlin, Germany, 2003. [Google Scholar]
- González, Y.; Palacios, B.; Jubindo, M.A.P.; de la Fuente, M.R.; Serrano, J.L. Dielectric relaxation study in a glassy low-molecular-weight ferroelectric liquid crystal. Phys. Rev. E 1995, 52, R5764. [Google Scholar] [CrossRef]
- Brás, A.R.; Dionísio, M.; Huth, H.; Schick, C.; Schönhals, A. Origin of glassy dynamics in a liquid crystal studied by broadband dielectric and specific heat spectroscopy. Phys. Rev. E 2007, 75, 061708. [Google Scholar] [CrossRef]
- Schönhals, A.; Zubowa, H.L.; Fricke, R.; Frunza, S.; Frunza, L.; Moldovan, R. On the Dielectric Behavior of Unaligned Samples of 4-n-Octyl-4′-cyanobiphenyl (8CB). Cryst. Res. Technol. 1999, 34, 1309. [Google Scholar] [CrossRef]
- Mapesa, E.U.; Tarnacka, M.; Kaminska, E.; Adrjanowicz, K.; Dulski, M.; Kossack, W.; Tress, M.; Kipnusu, W.K.; Kaminski, K.; Kremer, F. Molecular dynamics of itraconazole confined in thin supported layers. RSC Adv. 2014, 4, 28432–28438. [Google Scholar] [CrossRef] [Green Version]









Publisher’s Note: MDPI stays neutral with regard to jurisdictional claims in published maps and institutional affiliations. |
© 2021 by the authors. Licensee MDPI, Basel, Switzerland. This article is an open access article distributed under the terms and conditions of the Creative Commons Attribution (CC BY) license (https://creativecommons.org/licenses/by/4.0/).
Share and Cite
Gao, M.; Cao, C.; Perepezko, J.H. Analysis of Nucleation and Glass Formation by Chip Calorimetry. Appl. Sci. 2021, 11, 7652. https://doi.org/10.3390/app11167652
Gao M, Cao C, Perepezko JH. Analysis of Nucleation and Glass Formation by Chip Calorimetry. Applied Sciences. 2021; 11(16):7652. https://doi.org/10.3390/app11167652
Chicago/Turabian StyleGao, Meng, Chengrong Cao, and John H. Perepezko. 2021. "Analysis of Nucleation and Glass Formation by Chip Calorimetry" Applied Sciences 11, no. 16: 7652. https://doi.org/10.3390/app11167652
APA StyleGao, M., Cao, C., & Perepezko, J. H. (2021). Analysis of Nucleation and Glass Formation by Chip Calorimetry. Applied Sciences, 11(16), 7652. https://doi.org/10.3390/app11167652

