Comment on the Determination of the Polar Anchoring Energy by Capacitance Measurements in Nematic Liquid Crystals
Abstract
1. Introduction
2. Basic Equations
3. Experimental Results
3.1. Sample Preparation and Experimental Setup
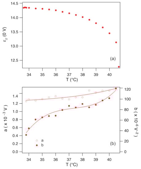
3.2. Measurement of the Dielectric Constants and
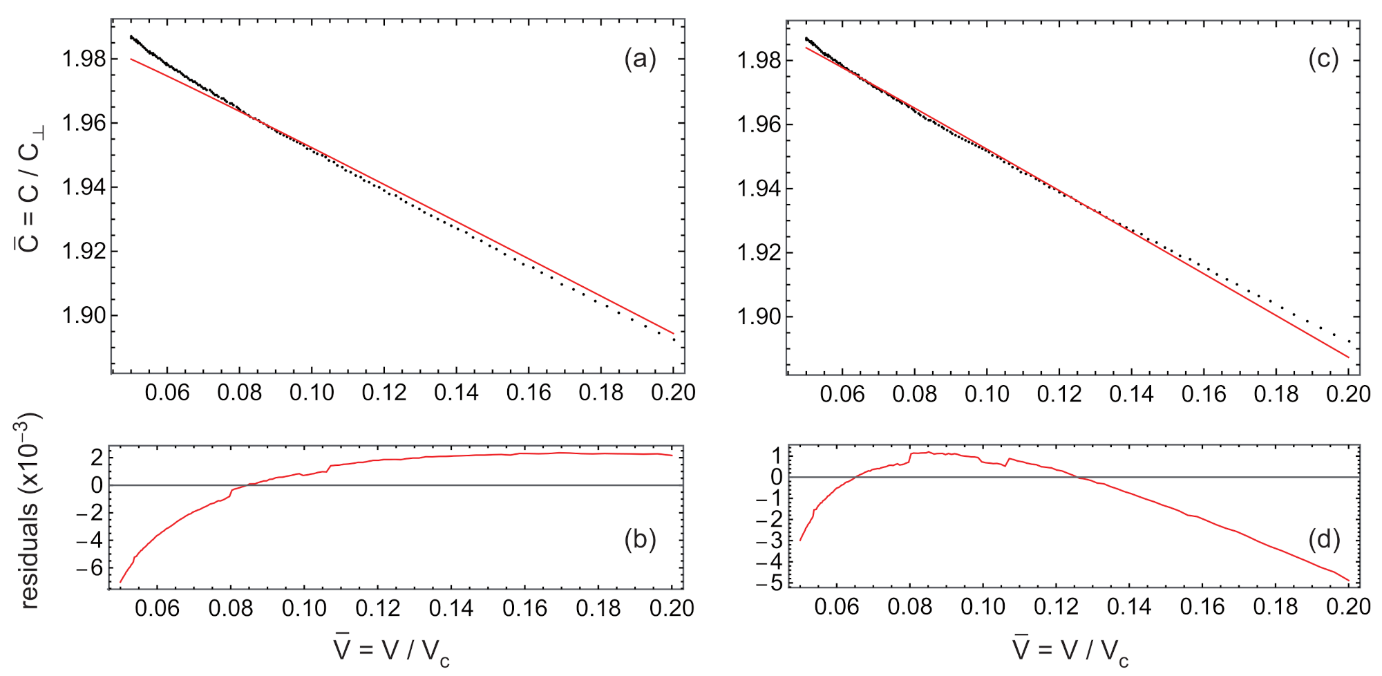
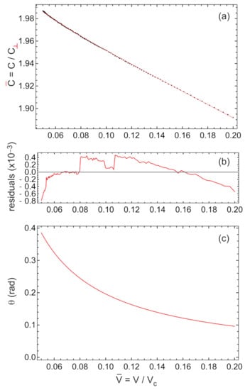
3.3. Measurement of the Critical Fréedericksz Voltage
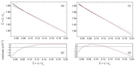
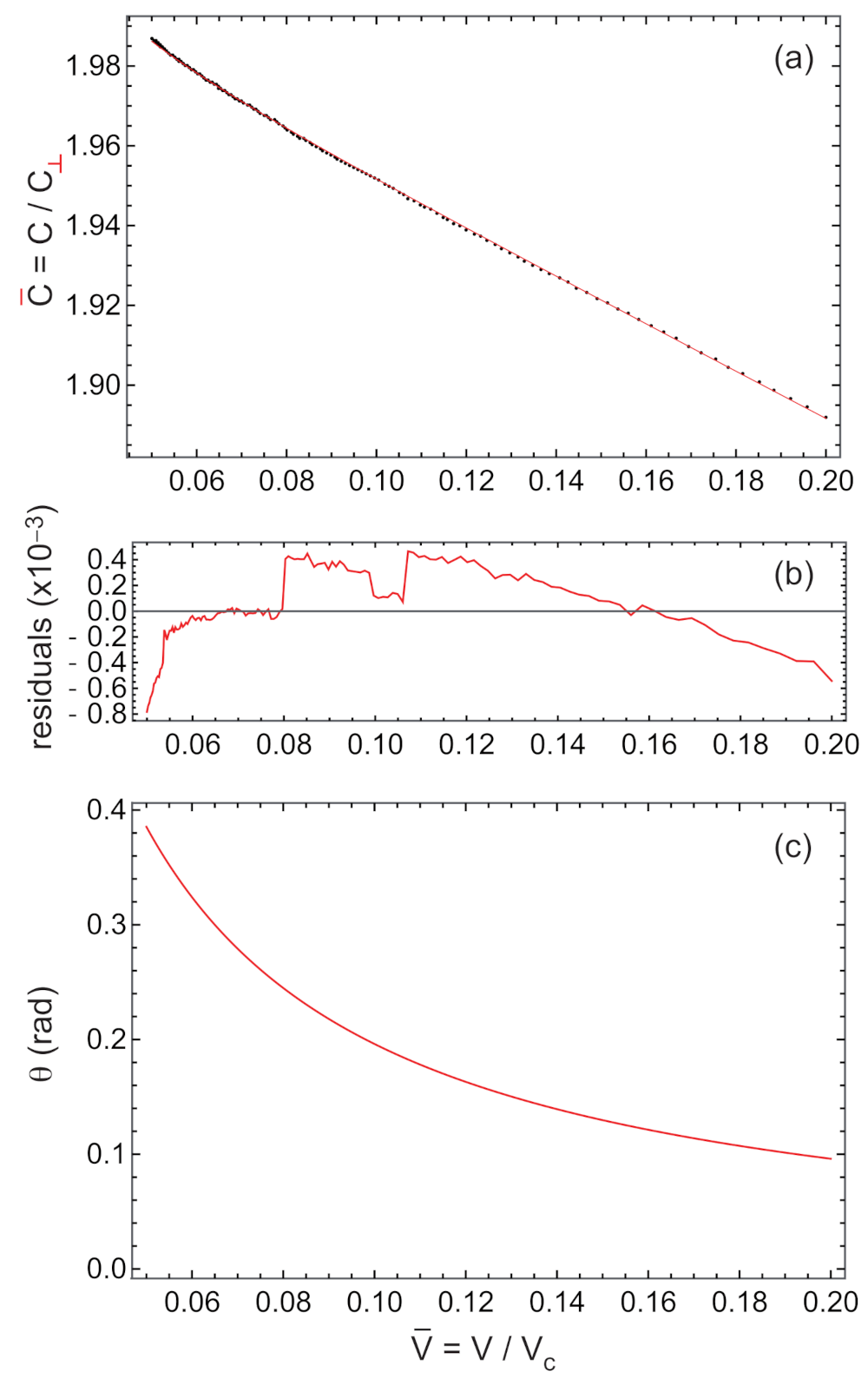
3.4. Measurements of the Extrapolation Length L
4. Role of Flexoelectric Effects
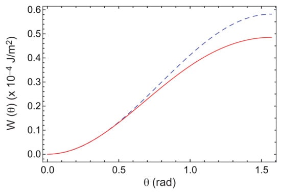
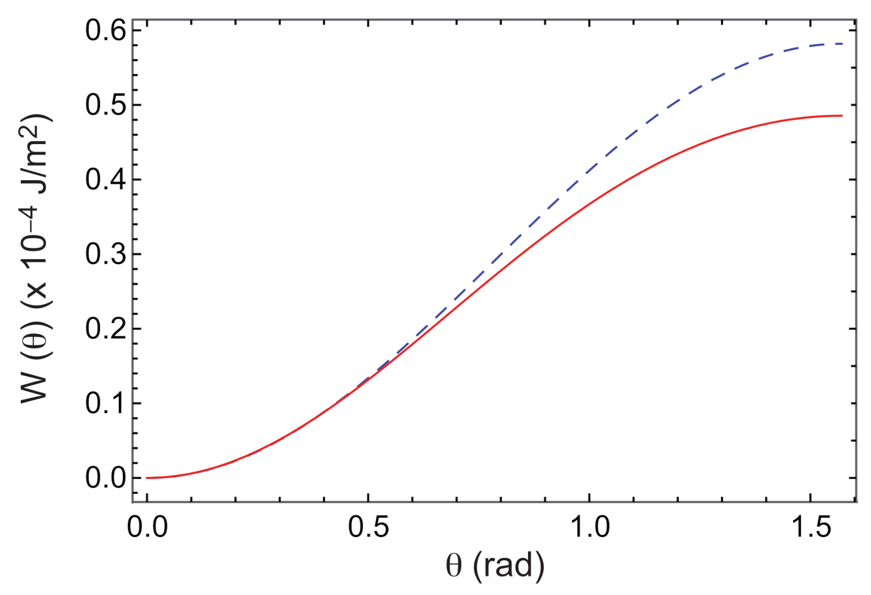
5. About the Rapini–Papoular Form of the Anchoring Energy
6. Conclusions
Funding
Institutional Review Board Statement
Informed Consent Statement
Data Availability Statement
Acknowledgments
Conflicts of Interest
References
- Oswald, P.; Pieranski, P. Nematic and Cholesteric Liquid Crystals: Concepts and Physical Properties Illustrated by Experiments; CRC Press: Boca Raton, FL, USA, 2005; pp. 339–366. [Google Scholar]
- Jerome, B. Surface effects and anchoring in liquid crystals. Rep. Prog. Phys. 1991, 54, 391–452. [Google Scholar] [CrossRef]
- Jerome, B. Physical Properties: Surface Alignment. In Handbook of Liquid Crystals: Fundamentals; Demus, D., Goodby, J., Gray, G.W., Spiess, H.-W., Vill, V., Eds.; Wiley Online Library: Hoboken, NJ, USA, 1998; pp. 535–548. [Google Scholar]
- Chen, R.H. Liquid Crystal Displays: Fundamental Physics and Technology; John Wiley & Sons: Hoboken, NJ, USA, 2011. [Google Scholar]
- Nastishin, Y.A.; Polak, R.D.; Shiyanovskii, S.V.; Bodnar, V.H.; Lavrentovich, O.D. Nematic polar anchoring strength measured by electric field techniques. J. Appl. Phys. 1999, 86, 4199–4213. [Google Scholar] [CrossRef]
- Ryschenkow, G.; Kleman, M. Surface defects and structural transitions in very low anchoring energy nematic thin films. J. Chem. Phys. 1976, 64, 404–412. [Google Scholar] [CrossRef]
- Riviere, D.; Levy, Y.; Guyon, E. Determination of anchoring energies from surface tilt angle measurements in a nematic liquid crystal. J. Phys. Lett. Paris 1979, 40, 215–218. [Google Scholar] [CrossRef]
- Barbero, G.; Barberi, R. Critical thickness of a hybrid aligned nematic liquid crystal cell. J. Phys. Paris 1983, 44, 609–616. [Google Scholar] [CrossRef]
- Barbero, G.; Madhusudana, N.V.; Durand, G. Weak anchoring energy and pretilt of a nematic liquid crystal. J. Phys. Lett. Paris 1984, 45, 613–619. [Google Scholar] [CrossRef]
- Marusii, T.Y.; Reznikov, Y.A.; Reshetnyak, V.Y.; Soskin, M.S.; Khizhnyak, A.I. Scattering of light by nematic liquid crystals in cells with a finite energy of the anchoring of the director to the wails. Sov. Phys. JETP 1986, 64, 502–507. [Google Scholar]
- Vilfan, M.; Mertelj, A.; Čopič, M. Dynamic light scattering measurements of azimuthal and zenithal anchoring of nematic liquid crystals. Phys. Rev. E 2002, 65, 041712. [Google Scholar] [CrossRef]
- Vilfan, M.; Čopič, M. Azimuthal and zenithal anchoring of nematic liquid crystals. Phys. Rev. E 2003, 68, 031704. [Google Scholar] [CrossRef]
- Subacius, D.; Pergamenshchik, V.M.; Lavrentovich, O.D. Measurement of polar anchoring coefficient for nematic cell with high pretilt angle. Appl. Phys. Lett. 1995, 67, 214–216. [Google Scholar] [CrossRef][Green Version]
- Murauski, A.; Chigrinov, V.; Kwok, H.-S. New method for measuring polar anchoring energy of nematic liquid crystals. Liq. Cryst. 2009, 36, 779–786. [Google Scholar] [CrossRef]
- Yokoyama, H.; Van Sprang, H.A. A novel method for determining the anchoring energy function at a nematic liquid crystal-wall interface from director distortions at high fields. J. Appl. Phys. 1985, 57, 4520–4526. [Google Scholar] [CrossRef]
- Rapini, A.; Papoular, M. Distorsion d’une lamelle nématique sous champ magnétique conditions d’ancrage aux parois. J. Phys. Coll. Paris 1968, 30, C4–54. [Google Scholar] [CrossRef]
- Nastishin, Y.A.; Polak, R.D.; Shiyanovskii, S.V.; Lavrentovich, O.D. Determination of nematic polar anchoring from retardation versus voltage measurements. Appl. Phys. Lett. 1999, 75, 202–204. [Google Scholar] [CrossRef]
- Yaroshchuk, O.; Gurumurthy, H.; Chigrinov, V.G.; Kwok, H.S.; Hasebe, H.; Takatsu, H. Photoalignment properties of brilliant yellow dye. In Proceedings of the International Display Workshop, Sapporo, Japan, 5–7 December 2007; pp. 1665–1668. [Google Scholar]
- Chigrinov, V.; Kwok, H.S.; Takada, H.; Takatsu, H. Photo-aligning by azo-dyes: Physics and applications. Liq. Cryst. Today 2005, 14, 1–15. [Google Scholar] [CrossRef]
- Folwill, Y.; Zeitouny, Z.; Lall, J.; Zappe, H. A practical guide to versatile photoalignment of azobenzenes. Liq. Cryst. 2020, 48, 1–11. [Google Scholar] [CrossRef]
- Fréedericksz, V.; Zolina, V. Forces causing the orientation of an anisotropic liquid. Trans. Far. Soc. 1933, 29, 919–930. [Google Scholar] [CrossRef]
- Deuling, H.J. Deformation of nematic liquid crystals in an electric field. Mol. Cryst. Liq. Cryst. 1972, 19, 123–131. [Google Scholar] [CrossRef]
- Gruler, H.; Scheffer, T.J.; Meier, G. Elastic constants of nematic liquid crystals: I. Theory of the normal deformation. Z. Naturforsch. A 1972, 27, 966–976. [Google Scholar] [CrossRef]
- Oswald, P.; Colombier, J. On the measurement of the bend elastic constant in nematic liquid crystals close to the nematic-to-SmA and the nematic-to-NTB phase transitions. Liq. Cryst. 2021. [Google Scholar] [CrossRef]
- Uchida, T.; Takahashi, Y. New method to determine elastic constants of nematic liquid crystal from CV curve. Mol. Cryst. Liq. Cryst. 1981, 72, 133–137. [Google Scholar] [CrossRef]
- Toko, Y.; Akahane, T. Evaluation of pretilt angle and polar anchoring strength of amorphous alignment liquid crystal display from capacitance versus applied voltage measurement. Mol. Cryst. Liq. Cryst. Sect. A 2001, 368, 469–481. [Google Scholar] [CrossRef]
- Murauski, A.; Chigrinov, V.; Muravsky, A.; Yeung, F.S.-Y.; Ho, J.; Kwok, H.-S. Determination of liquid-crystal polar anchoring energy by electrical measurements. Phys. Rev. E 2005, 71, 061707. [Google Scholar] [CrossRef]
- Akiyama, H.; Iimura, Y. New measurement method of polar anchoring energy of nematic liquid crystals. Mol. Cryst. Liq. Cryst. Sect. A 2000, 350, 67–77. [Google Scholar] [CrossRef]
- Wang, J.; West, J.; McGinty, C.; Bryant, D.; Finnemeyer, V.; Reich, R.; Berry, S.; Clark, H.; Yaroshchuk, O.; Bos, P. Effects of Humidity and Surface on Photoalignment of Brilliant Yellow. Liq. Cryst. 2017, 44, 863–872. [Google Scholar] [CrossRef]
- De Gennes, P.-G.; Prost, J. The Physics of Liquid Crystals; Clarendon Press: Oxford, MS, USA, 1993. [Google Scholar]
- Lelidis, I.; Nobili, M.; Durand, G. Electric-field-induced change of the order parameter in a nematic liquid crystal. Phys. Rev. E 1993, 48, 3818–3821. [Google Scholar] [CrossRef]
- Basappa, G.; Madhusudana, N.V. Effect of a strong electric field on a nematogen: Evidence for polar short range order. Eur. Phys. J. B 1998, 1, 179–187. [Google Scholar] [CrossRef]
- Morris, S.W.; Palffy-Muhoray, P.; Balzarini, D.A. Measurements of the bend and splay elastic constants of octyl-cyanobiphenyl. Mol. Cryst. Liq. Cryst. 1986, 139, 263–280. [Google Scholar] [CrossRef]
- Prost, J.; Pershan, P.S. Flexoelectricity in nematic and smectic-A liquid crystals. J. Appl. Phys. 1976, 47, 2298–2312. [Google Scholar] [CrossRef]
- Dozov, I.; Barbero, G.; Palierne, J.-F.; Durand, G. Nonlocal electric field and large distortions in nematic liquid crystals. EPL 1986, 1, 563–569. [Google Scholar] [CrossRef]
- Palierne, J.-F. Elasticlike contribution of electric origin to the distortion free energy of nematics. Phys. Rev. Lett. 1986, 56, 1160–1162. [Google Scholar] [CrossRef] [PubMed]
- Smith, A.A.T.; Brown, C.V.; Mottram, N.J. Theoretical analysis of the magnetic Fréedericksz transition in the presence of flexoelectricity and ionic contamination. Phys. Rev. E 2007, 75, 041704. [Google Scholar] [CrossRef] [PubMed]
- Bazant, M.Z.; Thornton, K.; Ajdari, A. Diffuse-charge dynamics in electrochemical systems. Phys. Rev. E 2004, 70, 021506. [Google Scholar] [CrossRef] [PubMed]
- Khazimullin, M.V.; Lebedev, Y.A. Influence of dielectric layers on estimates of diffusion coefficients and concentrations of ions from impedance spectroscopy. Phys. Rev. E 2019, 100, 062601. [Google Scholar] [CrossRef]
- Yang, K.H. On the determination of liquid crystal-to-wall anchoring anisotropy by the surface-plasmon polariton technique. J. Appl. Phys. 1982, 53, 6742–6745. [Google Scholar] [CrossRef]
- Yang, K.H.; Rosenblatt, C. Determination of the anisotropic potential at the nematic liquid crystal-to-wall interface. Appl. Phys. Lett. 1983, 43, 62–64. [Google Scholar] [CrossRef]
- Barnik, M.I.; Blinov, L.M.; Korkishko, T.V.; Umansky, B.A.; Chigrinov, V.G. Investigation of NLC director orientational deformations in electric field for different boundary conditions. Mol. Cryst. Liq. Cryst. 1983, 99, 53–79. [Google Scholar] [CrossRef]
- Barbero, G.; Madhusudana, N.V.; Palierne, J.-F.; Durand, G. Optical determination of large distortion surface anchoring torques in a nematic liquid crystal. Phys. Lett. A 1984, 103, 385–388. [Google Scholar] [CrossRef]
- Barbero, G.; Durand, G. On the validity of the Rapini-Papoular surface anchoring energy form in nematic liquid crystals. J. Phys. Paris 1986, 47, 2129–2134. [Google Scholar] [CrossRef]
- Alexe-Ionescu, A.L.; Barbero, G.; Gabbasova, Z.; Sayko, G.; Zvezdin, A.K. Stochastic contribution to the anchoring energy: Deviation from the Rapini-Papoular expression. Phys. Rev. E 1994, 49, 5354–5358. [Google Scholar] [CrossRef]
- Guochen, Y.; Jianru, S.; Ying, L. Surface anchoring energy and the first order Fréedericksz transition of a NLC cell. Liq. Cryst. 2000, 27, 875–882. [Google Scholar] [CrossRef]
- Gu, D.-F.; Uran, S.; Rosenblatt, C. A simple and reliable method for measuring the liquid crystal anchoring strength coefficient. Liq. Cryst. 1995, 19, 427–431. [Google Scholar] [CrossRef]
- Hirosawa, I. Method of characterizing rubbed polyimide film for liquid crystal display devices using reflection ellipsometry. Jap. J. Appl. Phys. 1996, 35, 5873. [Google Scholar] [CrossRef]
- Marino, A.; Tkachenko, V.; Santamato, E.; Bennis, N.; Quintana, X.; Otón, J.M.; Abbate, G. Measuring liquid crystal anchoring energy strength by spectroscopic ellipsometry. J. Appl. Phys. 2010, 107, 073109. [Google Scholar] [CrossRef]













| Voltage Range | Fitted Value of L (in m) | Is the Model Applicable? | |
|---|---|---|---|
| (5 V, 9 V) | 0.0104 | 29 V | Yes |
| (5 V, 13 V) | 0.0144 | 21 V | Yes |
| (5 V, 17 V) | 0.0178 | 17 V | Yes |
| (5 V, 20 V) | 0.0202 | 15 V | No |
Publisher’s Note: MDPI stays neutral with regard to jurisdictional claims in published maps and institutional affiliations. |
© 2021 by the author. Licensee MDPI, Basel, Switzerland. This article is an open access article distributed under the terms and conditions of the Creative Commons Attribution (CC BY) license (https://creativecommons.org/licenses/by/4.0/).
Share and Cite
Oswald, P. Comment on the Determination of the Polar Anchoring Energy by Capacitance Measurements in Nematic Liquid Crystals. Appl. Sci. 2021, 11, 7387. https://doi.org/10.3390/app11167387
Oswald P. Comment on the Determination of the Polar Anchoring Energy by Capacitance Measurements in Nematic Liquid Crystals. Applied Sciences. 2021; 11(16):7387. https://doi.org/10.3390/app11167387
Chicago/Turabian StyleOswald, Patrick. 2021. "Comment on the Determination of the Polar Anchoring Energy by Capacitance Measurements in Nematic Liquid Crystals" Applied Sciences 11, no. 16: 7387. https://doi.org/10.3390/app11167387
APA StyleOswald, P. (2021). Comment on the Determination of the Polar Anchoring Energy by Capacitance Measurements in Nematic Liquid Crystals. Applied Sciences, 11(16), 7387. https://doi.org/10.3390/app11167387
