Tuning Bandgaps of Mixed Halide and Oxide Perovskites CsSnX3 (X=Cl, I), and SrBO3 (B=Rh, Ti)
Abstract
1. Introduction
2. Calculation Methods
2.1. Computational Details
2.2. Materials
2.3. Convergence Calculations
2.4. Band Structures Calculation
2.5. Formation Energy
3. General Results and Discussion
3.1. Structural Properties
3.2. Pure Materials
3.2.1. CsSnX3 (X=I, Cl)
3.2.2. SrBO3 (B=Rh, Ti)
3.3. Mixed Perovskites
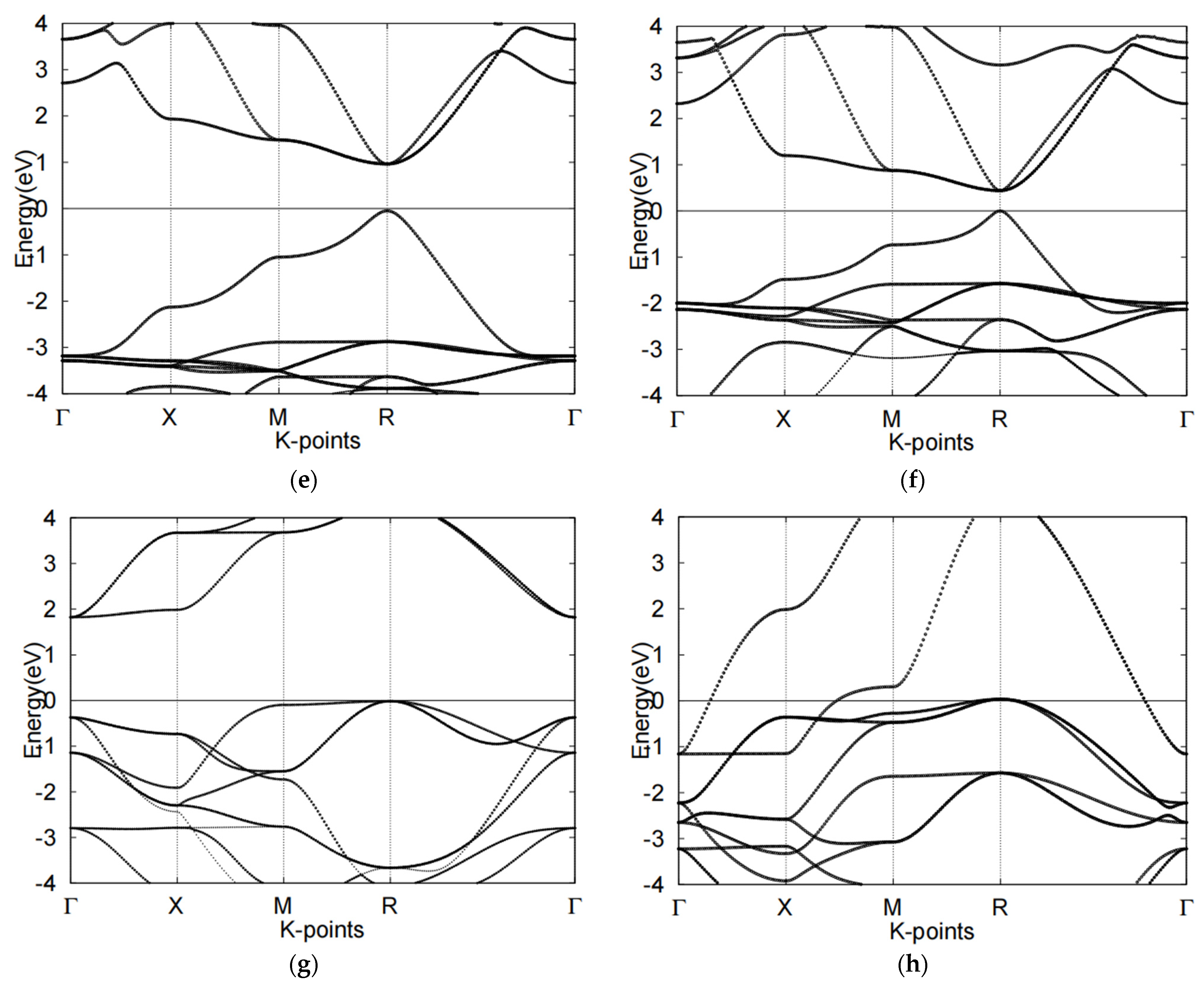
3.3.1. Cs4Sn4Cl6I6
3.3.2. Cs2Sn2Cl3I3Sr2TiRhO6
3.3.3. Cs2Sn2Cl6Sr2Ti2O6
3.3.4. CsSnCl3Sr3Ti2RhO12
3.3.5. Implication
4. Conclusions
Author Contributions
Funding
Institutional Review Board Statement
Informed Consent Statement
Data Availability Statement
Conflicts of Interest
References
- McKenzie, H.; Wallace, H. The Kjeldahl determination of Nitrogen: A critical study of digestion conditions-Temperature, Catalyst, and Oxidizing agent. Aust. J. Chem. 1954, 7, 55–70. [Google Scholar] [CrossRef]
- Molina, A.; Shaddix, C.R. Ignition and devolatilization of pulverized bituminous coal par-ticles during oxygen/carbon di-oxide coal combustion. Proc. Combust. Inst. 2007, 31, 1905–1912. [Google Scholar] [CrossRef]
- Grätzel, M. Dye-sensitized solar cells. J. Photochem. Photobiol. C Photochem. Rev. 2003, 4, 145–153. [Google Scholar] [CrossRef]
- Trupke, T.; Green, M.; Wurfel, P. Improving solar cell efficiencies by down-conversion of high-energy photons. J. Appl. Phys. 2002, 92, 1668–1674. [Google Scholar] [CrossRef]
- Polman, A.; Knight, M.; Garnett, E.; Ehrler, B.; Sinke, W.C. Photovoltaic materials: Present efficiencies and future challenges. Science 2016, 352, aad4424. [Google Scholar] [CrossRef] [PubMed]
- Green, M.A. Solar Cells: Operating Principles, Technology, and System Applications; Prentice-Hall, Inc.: Englewood Cliffs, NJ, USA, 1982; p. 288. [Google Scholar]
- Attfield, J.P.; Lightfoot, P.; Morris, R. Perovskites. Dalton Trans. 2015, 44, 10541–10542. [Google Scholar] [CrossRef] [PubMed]
- Snaith, H.J. Perovskites: The Emergence of a New Era for Low-Cost, High-Efficiency Solar Cells. J. Phys. Chem. Lett. 2013, 4, 3623–3630. [Google Scholar] [CrossRef]
- Hodes, G. Perovskite-Based Solar Cells. Science 2013, 342, 317–318. [Google Scholar] [CrossRef] [PubMed]
- Chen, M.; Ju, M.-G.; Carl, A.; Zong, Y.; Grimm, R.L.; Gu, J.; Zeng, X.C.; Zhou, Y.; Padture, N.P. Cesium Titanium(IV) Bromide Thin Films Based Stable Lead-free Perovskite Solar Cells. Joule 2018, 2, 558–570. [Google Scholar] [CrossRef]
- Ju, M.-G.; Dai, J.; Ma, L.; Zeng, X.C. Lead-Free Mixed Tin and Germanium Perovskites for Photovoltaic Application. J. Am. Chem. Soc. 2017, 139, 8038–8043. [Google Scholar] [CrossRef]
- Stoumpos, C.C.; Malliakas, C.D.; Kanatzidis, M.G. Semiconductingtin and lead io-dide perovskites with organic cations: Phase transitions, high mobilities, and near-infrared photoluminescent properties. Inorg. Chem. 2013, 52, 9019–9038. [Google Scholar] [CrossRef]
- Wu, X.; Trinh, M.T.; Niesner, D.; Zhu, H.; Norman, Z.; Owen, J.; Yaffe, O.; Kudisch, B.; Zhu, X.-Y. Trap States in Lead Iodide Perovskites. J. Am. Chem. Soc. 2015, 137, 2089–2096. [Google Scholar] [CrossRef]
- Koliogiorgos, A.; Baskoutas, S.; Galanakis, I. Electronic and gap properties of lead-free per-fect and mixed hybrid halide per-ovskites: An ab-initio study. Comput. Mater. Sci. 2017, 138, 92–98. [Google Scholar] [CrossRef][Green Version]
- Arkan, F.; Izadyar, M. Computational modeling of the photovoltaic activities in EABX3 (EA = ethylammonium, B = Pb, Sn, Ge, X = Cl, Br, I) perovskite solar cells. Comput. Mater. Sci. 2018, 152, 324–330. [Google Scholar] [CrossRef]
- Ma, L.; Ju, M.G.; Dai, J.; Zeng, X.C. Tin and germanium based two-ruddlesden–popper hybrid perov-skites for potential lead-free photovoltaic and photoelectronic applications. Nanoscale 2018, 10, 11314–11319. [Google Scholar] [CrossRef] [PubMed]
- Lee, M.M.; Teuscher, J.; Miyasaka, T.; Murakami, T.N.; Snaith, H.J. Efficient hybrid solar cells based on meso-superstructured organometal halide perovskites. Science 2012, 338, 643–647. [Google Scholar] [CrossRef] [PubMed]
- Kojima, A.; Teshima, K.; Shirai, Y.; Miyasaka, T. Organometal halide perovskites as visible-light sensitizers for photovoltaic cells. J. Am. Chem. Soc. 2009, 131, 6050–6051. [Google Scholar] [CrossRef]
- Huang, Y.H.; Dass, R.I.; Xing, Z.L.; Goodenough, J.B. Double per-ovskites as anode materials for sol-id-oxide fuel cells. Science 2006, 312, 254–257. [Google Scholar] [CrossRef]
- Howard, C.J.; Kennedy, B.J.; Woodward, P.M. Ordered double perovskites—A group-theoretical analysis. Acta Cryst. Graph. Sect. B Struct. Sci. 2003, 59, 463–471. [Google Scholar] [CrossRef]
- Liang, K.C.; Du, Y.; Nowick, A.S. Fast high-temperature proton transport in nonsto-ichiometric mixed perovskites. Solid State Ion. 1994, 69, 117–120. [Google Scholar] [CrossRef]
- Bi, D.; Tress, W.; Ibrahim Dar, M.; Gao, P.; Luo, J.; Renevier, C.; Schenk, K.; Abate, A.; Giordano, F.; Correa Baena, J.P.; et al. Efficient luminescent solar cells based on tailored mixed-cation perovskites. Sci. Adv. 2016, 2, e1501170. [Google Scholar] [CrossRef]
- Abate, A. Perovskite Solar Cells Go Lead Free. Joule 2017, 1, 659–664. [Google Scholar] [CrossRef]
- Yang, E.; Xuan Luo, X. Theoretical pressure-tuning bandgaps of double perovskites a2 (bb) x6 for photovoltaics. Sol. Energy 2020, 207, 165–172. [Google Scholar] [CrossRef]
- Alharbi, E.A.; Alyamani, A.Y.; Kubicki, D.J.; Uhl, A.R.; Walder, B.J.; Alanazi, A.Q.; Luo, J.; Burgos-Caminal, A.; Albadri, A.; Albrithen, H.; et al. Atomic-level passivation mechanism of ammonium salts enabling highly efficient perovskite solar cells. Nat. Commun. 2019, 10, 3008. [Google Scholar] [CrossRef]
- Wang, X.; Ling, Y.; Lian, X.; Xin, Y.; Dhungana, K.B.; Perez-Orive, F.; Knox, J.; Chen, Z.; Zhou, Y.; Beery, D.; et al. Suppressed phase separation of mixed-halide perovskites confined in endotaxial matrices. Nat. Commun. 2019, 10, 695. [Google Scholar] [CrossRef]
- Zhu, C.; Niu, X.; Fu, Y.; Li, N.; Hu, C.; Chen, Y.; He, X.; Na, G.; Liu, P.; Zai, H.; et al. Strain engineering in perovskite solar cells and its impacts on carrier dynamics. Nat. Commun. 2019, 10, 815. [Google Scholar] [CrossRef] [PubMed]
- Lang, L.; Yang, J.H.; Liu, H.R.; Xiang, H.J.; Gong, X.G. First-principles study on the electronic and optical properties of cubic abx3 halide perovskites. Phys. Lett. A 2014, 378, 290–293. [Google Scholar] [CrossRef]
- Shum, K.; Chen, Z.; Qureshi, J.; Yu, C.; Wang, J.J.; Pfenninger, W.; Vockic, N.; Midgley, J.; Kenney, J.T. Synthesis and char-acterization of CsSnI3 thin films. Appl. Phys. Lett. 2010, 96, 221903. [Google Scholar] [CrossRef]
- Sun, P.P.; Li, Q.S.; Feng, S.; Li, Z.S. Mixed ge/pb perovskite light absorbers with an ascendant efficiency explored from the-oretical view. Phys. Chem. Chem. Phys. 2016, 18, 14408–14418. [Google Scholar] [CrossRef] [PubMed]
- Mosconi, E.; Umari, P.; De Angelis, F. Electronic and optical properties of mixed sn–pb or-ganohalide per-ovskites: A first principles investigation. J. Mater. Chem. A 2015, 3, 9208–9215. [Google Scholar] [CrossRef]
- Hong, F.; Saparov, B.; Meng, W.; Xiao, Z.; Mitzi, D.B.; Yan, Y. Viability of lead-free perov-skites with mixed chalcogen and halogen anions for photovoltaic applications. J. Phys. Chem. C 2016, 120, 6435–6441. [Google Scholar] [CrossRef]
- Borriello, I.; Cantele, G.; Ninno, D. Ab initio investigation of hybrid organic-inorganic perovskites based on tin halides. Phys. Rev. B 2008, 77, 235214. [Google Scholar] [CrossRef]
- Gonze, X.; Rignanese, G.M.; Verstraete, M.; Beuken, J.M.; Pouillon, Y.; Caracas, R.; Jollet, F.; Torrent, M.; Zerah, G.; Mikami, M.; et al. A brief introduction to the abinit software package. Z. Kristallogr. 2005, 220, 558–562. [Google Scholar] [CrossRef]
- Gonze, X.; Amadon, B.; Anglade, P.M.; Beuken, J.M.; Bottin, F.; Boulanger, P.; Bruneval, F.; Caliste, D.; Caracas, R.; Cote, M.; et al. Abinit: First principles approach of materials and nanosystem properties. Comput. Phys. Commun. 2009, 180, 2582–2615. [Google Scholar] [CrossRef]
- Perdew, J.P.; Burke, K.; Ernzerhof, M. Generalized gradient approximation made simple. Phys. Rev. Lett. 1996, 77, 3865–3868. [Google Scholar] [CrossRef] [PubMed]
- Blochl, P.E. Projector augmented-wave method. Phys. Rev. B 1994, 50, 17953–17979. [Google Scholar] [CrossRef]
- Holzwarth, N.A.W.; Tackett, A.R.; Matthews, G.E. A projector augmented wave (paw) code for electronic structure calculations, part i: Atompaw for generating atom-centered functions. Comput. Phys. Commun. 2001, 135, 329–347. [Google Scholar] [CrossRef]
- Tackett, A.R.; Holzwarth, N.; Matthews, G. A Projector Augmented Wave (PAW) code for electronic structure calculations, Part II: Pwpaw for periodic solids in a plane wave basis. Comput. Phys. Commun. 2001, 135, 348–376. [Google Scholar] [CrossRef]
- Morales-García, Á.; Valero, R.; Illas, F. An Empirical, yet Practical Way to Predict the Band Gap in Solids by Using Density Functional Band Structure Calculations. J. Phys. Chem. C 2017, 121, 18862–18866. [Google Scholar] [CrossRef]
- Cuneyt, S. Spin dynamics of complex oxides, bismuth-antimony alloys, and bismuth chalco-genides. arXiv 2015, arXiv:1511.05276. [Google Scholar]
- Deb, A.P.; Kumar, V. Ab initio design of cssn (xxy 1- x) 3 (x and y= cl, br, and i) perovskites for photovoltaics. AIP Adv. 2015, 5, 77158. [Google Scholar] [CrossRef]
- Daga, A.; Sharma, S.; Sharma, K.S. First Principle Study of Cubic SrMO3 Perovskites (M = Ti, Zr, Mo, Rh, Ru). J. Mod. Phys. 2011, 2, 812–816. [Google Scholar] [CrossRef]
- Liu, X.; Sohlberg, K. Theoretical calculations on layered perovskites: Implications for photocatalysis. Complex Met. 2014, 1, 103–121. [Google Scholar] [CrossRef]









| Compounds | a (Bohr) | Experimental Data (Bohr) | Error |
|---|---|---|---|
| CsSnCl3 | 10.639 | 10.609 [42] | 0.282% |
| CsSnI3 | 11.856 | 11.826 [42] | 0.253% |
| SrRhO3 | 7.522 | 7.427 [43] | 1.263% |
| SrTiO3 | 7.441 | 7.446 [44] | 0.067% |
| Atom | Electron Configurations | Radius Cutoff (Bohr) |
|---|---|---|
| O | [He] 2s2 2p4 | 1.4147 |
| Cl | [Ne] 3s2 3p5 | 1.8032 |
| Ca | [Ar] 4s2 | 1.9142 |
| Ti | [Ar] 3d2 4s2 | 2.3000 |
| Sr | [Kr] 5s2 | 2.2067 |
| Rh | [Kr] 4d8 5s1 | 2.4031 |
| Sn | [Kr] 4d10 5s2 5p2 | 2.5109 |
| I | [Kr] 4d105s25p5 | 2.3002 |
| Cs | [Xe] 6s1 | 2.2066 |
| Compounds | Ecut (ha) | K Point Mesh |
|---|---|---|
| Cssncl3 | 32.0 | 6 6 6 |
| Scsni3 | 20.0 | 6 6 6 |
| Srrho3 | 20.0 | 6 6 6 |
| Srtio3 | 20.0 | 4 4 4 |
| Compounds | Bandgaps (eV) | Corrected (eV) | Formation Energy (eV/atom) |
|---|---|---|---|
| Cs2Sn2Cl3I3Sr2TiRhO6 | 1.2 | 1.68 | 68.304 |
| Cs2Sn2Cl6Sr2Ti2O6 | 1.1 | 1.54 | 90.223 |
| Cs4Sn4Cl6I6 | 1.9 | 2.66 | 0.023 |
| CsSnCl3Sr3Ti2RhO9 | 1.05 | 1.47 | 34.4 |
Publisher’s Note: MDPI stays neutral with regard to jurisdictional claims in published maps and institutional affiliations. |
© 2021 by the authors. Licensee MDPI, Basel, Switzerland. This article is an open access article distributed under the terms and conditions of the Creative Commons Attribution (CC BY) license (https://creativecommons.org/licenses/by/4.0/).
Share and Cite
Wen, H.; Luo, X. Tuning Bandgaps of Mixed Halide and Oxide Perovskites CsSnX3 (X=Cl, I), and SrBO3 (B=Rh, Ti). Appl. Sci. 2021, 11, 6862. https://doi.org/10.3390/app11156862
Wen H, Luo X. Tuning Bandgaps of Mixed Halide and Oxide Perovskites CsSnX3 (X=Cl, I), and SrBO3 (B=Rh, Ti). Applied Sciences. 2021; 11(15):6862. https://doi.org/10.3390/app11156862
Chicago/Turabian StyleWen, Hongzhe, and Xuan Luo. 2021. "Tuning Bandgaps of Mixed Halide and Oxide Perovskites CsSnX3 (X=Cl, I), and SrBO3 (B=Rh, Ti)" Applied Sciences 11, no. 15: 6862. https://doi.org/10.3390/app11156862
APA StyleWen, H., & Luo, X. (2021). Tuning Bandgaps of Mixed Halide and Oxide Perovskites CsSnX3 (X=Cl, I), and SrBO3 (B=Rh, Ti). Applied Sciences, 11(15), 6862. https://doi.org/10.3390/app11156862

