Anti-Inflammatory Effect of Cudrania tricuspidata Extract and Stewartia koreana Extract Mixture in a Collagen-Induced Arthritis Mouse Model
Abstract
1. Introduction
2. Materials and Methods
3. Results
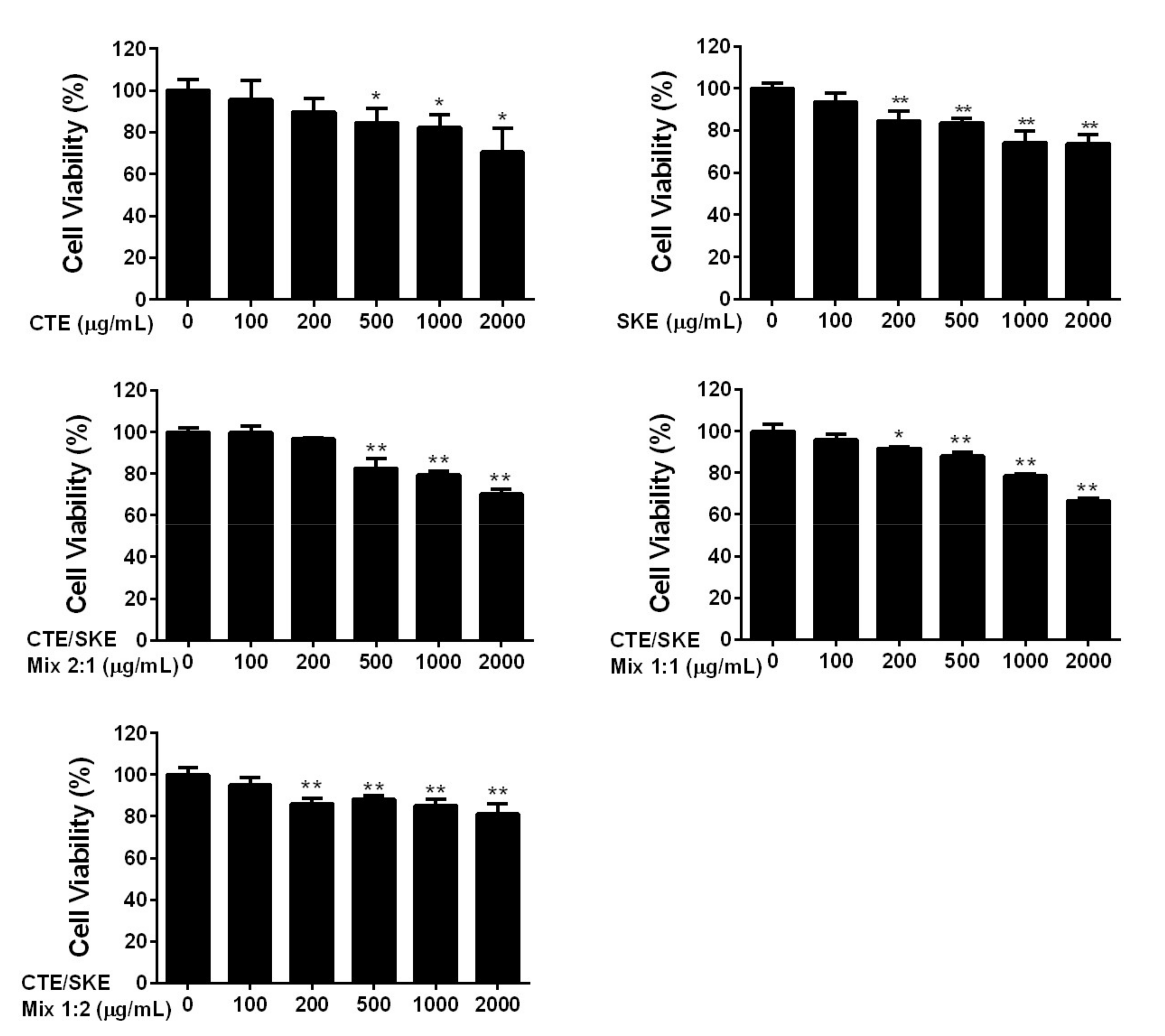
3.1. Cell Viability Assay
3.2. CTE and CTE Mix Inhibited the Production of NO
3.3. CTE and CTE Mix Attenuated the Arthritis Symptom
3.4. Measurement of Spleen and Lymph Node Changes Following Arthritis
4. Discussion
Author Contributions
Funding
Institutional Review Board Statement
Informed Consent Statement
Data Availability Statement
Conflicts of Interest
References
- Firestein, G.S. Evolving concept of rheumatoid arthritis. Nature 2003, 423, 356–361. [Google Scholar] [CrossRef]
- Firestein, G.S. Pathogenesis of rheumatoid arthritis: How early is early? Arthritis Res. Ther. 2005, 7, 157–159. [Google Scholar] [CrossRef] [PubMed][Green Version]
- Ivashkiv, L.B. Cytokine expression and cell activation in inflammatory arthritis. Adv. Immunol. 1996, 63, 337–376. [Google Scholar] [PubMed]
- Choy, E.H.; Panayi, G.S. Cytokine phathway and joint inflammation in rheumatoid arthritis. N. Engl. J. Med. 2001, 344, 907–916. [Google Scholar] [CrossRef] [PubMed]
- Alunno, A.; Carubbi, F.; Giacomelli, R.; Gerli, R. Cytokine in the pathogenesis of rheumatoid arthritis: New players and therapeutic targets. BMC Rheumatol. 2017. [CrossRef]
- Feldmann, M.; Brennan, F.M.; Maini, R.N. Role of cytokines in rheumatoid arthritis. Ann. Rev. Immunol. 1996, 14, 397–440. [Google Scholar] [CrossRef]
- Mateen, S.; Zafar, A.; Moin, S.; Khan, A.Q.; Zubair, S. Understanding the role of cytokines in the pathogenesis of rheumatoid arthritis. Clin. Chim. Acta 2016, 455, 161–171. [Google Scholar] [CrossRef]
- Ruscitti, P.; Cipriani, P.; Carubbi, F.; Liakouli, V.; Zazzeroni, F.; Di Benedetto, P.; Berardicurti, O.; Alesse, E.; Giacomelli, R. The role of IL-1β in the bone loss during rheumatic diseases. Mediat. Inflamm. 2015. [CrossRef]
- Kawai, S. Current drug therapy for rheumatoid arthritis. J. Orthop. Sci. 2003, 8, 259–263. [Google Scholar] [CrossRef]
- Lubberts, E.; van den Berg, W.B. Cytokines in the pathogenesis of rheumatoid arthritis and collagen-induced arthritis. Adv. Exp. Med. Biol. 2003, 520, 194–202. [Google Scholar]
- Lewis, M.J.; Barnes, M.R.; Blighe, K.; Goldmann, K.; Rana, S.; Hackney, J.A.; Ramamoorthi, N.; John, C.R.; Watson, D.S.; Kummerfeld, S.K.; et al. Molecular Portraits of Early Rheumatoid Arthritis Identify Clinical and Treatment Response Phenotypes. Cell Rep. 2019, 28, 2455–2470. [Google Scholar] [CrossRef]
- Vlachopoulos, C.; Gravos, A.; Georgiopoulos, G.; Terentes-Printzios, D.; Ioakeimidis, N.; Vassilopoulos, D.; Stamatelopoulos, K.; Tousoulis, D. The effect of TNF-α antagonists on aortic stiffness and wave reflections: A meta-analysis. Clin. Rheumatol. 2018, 37, 515–526. [Google Scholar] [CrossRef] [PubMed]
- Floris, I.; García-González, V.; Palomares, B.; Appel, K.; Lejeune, B. The Micro-Immunotherapy Medicine 2LARTH® Reduces Inflammation and Symptoms of Rheumatoid Arthritis In Vivo. Int. J. Rheumatol. 2020, 2020, 1594573. [Google Scholar] [CrossRef] [PubMed]
- Ikekawa, S.; Sano, M.; Koshizuka, Y.; Nakamura, Y. Isolation, charaterization and mapping of the mouse and human PRG4 (proteoglycan 4) genes. Cytogenet. Cell Genet. 2000, 90, 291–297. [Google Scholar] [CrossRef] [PubMed]
- Alquraini, A.; Jamal, M.; Zhang, L.; Schmidt, T.; Jay, G.D.; Elsaid, K. The autocrine role of proteoglycan-4 (PRG4) in modulating osteoarthritic synoviocyte proliferation and expression of matrix degrading enzymes. Arthritis Res. Ther. 2017, 19. [Google Scholar] [CrossRef] [PubMed]
- McInnes, I.B.; Schett, G. Cytokines in the pathogenesis of rheumatoid arthritis. Nat. Rev. Immunol. 2007, 7, 429–442. [Google Scholar] [CrossRef] [PubMed]
- Schett, G.; Gravallese, E. Bone erosion in rheumatoid arthritis: Mechanisms, diagnosis and treatment. Nat. Rev. Rheumatol. 2012, 8, 656–664. [Google Scholar] [CrossRef]
- Alquraini, A.; Garguilo, S.; D’Souza, G.; Zhang, L.X.; Schmidt, T.A.; Jay, G.D.; Elsaid, K.A. The interaction of lubricin/proteoglycan 4 (PRG4) with toll-like receptors 2 and 4: An anti-inflammatory role of PRG4 in synovial fluid. Arthritis Res. Ther. 2015, 17, 353. [Google Scholar] [CrossRef]
- Chen, Z.; Bozec, A.; Ramming, A.; Schett, G. Anti-inflammatory and immune-regulatory cytokines in rheumatoid arthritis. Nat. Rev. Rheumatol. 2019, 15, 9–17. [Google Scholar] [CrossRef]
- Kim, O.K.; Jun, W.; Lee, J. Effect of Cudrania tricuspidata and Kaempferol in Endoplasmic Reticulum Stress-Induced Inflammation and Hepatic Insulin Resistance in HepG2 Cells. Nutrients 2016, 8, 60. [Google Scholar] [CrossRef]
- Chang, S.H.; Jung, E.J.; Lim, D.G.; Oyungerel, B.; Lim, K.I.; Her, E.; Choi, W.S.; Jun, M.H.; Choi, K.D.; Han, D.J.; et al. Anti-inflammatory action of Cudrania tricuspidata on spleen cell and T lymphocyte proliferation. J. Pharm. Pharmacol. 2008, 60, 1221–1226. [Google Scholar] [CrossRef] [PubMed]
- Shedoeva, A.; Leavesley, D.; Upton, Z.; Fan, C. Wound healing and the use of medicinal plants. Evid. Based Complement. Alternat. Med. 2019. [CrossRef] [PubMed]
- Park, C.K.; Kim, H.J.; Kwak, H.B.; Lee, T.H.; Bang, M.H.; Kim, C.M.; Lee, Y.; Chung, D.K.; Baek, N.I.; Kim, J.; et al. Inhibitory effects of Stewartia koreana on osteoclast differentiation and bone resorption. Int. Immunopharmacol. 2007, 7, 1507–1516. [Google Scholar] [CrossRef] [PubMed]
- Rubió, L.; Motilva, M.J.; Romero, M.P. Recent advances in biologically active compounds in herbs and spices: A review of the most effective antioxidant and anti-inflammatory active principles. Crit. Rev. Food Sci. Nutr. 2013, 53, 943–953. [Google Scholar] [CrossRef] [PubMed]
- Zhang, L.; Ravipati, A.S.; Koyyalamudi, S.R.; Jeong, S.C.; Reddy, N.; Smith, P.T.; Bartlett, J.; Shanmugam, K.; Münch, G.; Wu, M.J. Antioxidant and anti-inflammatory activities of selected medicinal plants containing phenolic and flavonoid compounds. J. Agric. Food Chem. 2011, 59, 12361–12367. [Google Scholar] [CrossRef]
- Kim, J.Y.; Jang, S.S.; Lee, J.L.; Sim, J.H.; Shim, J.J. Cudrania tricuspidata Extract Protects against Reflux Esophagitis by Blocking H2 Histamine Receptors. Prev. Nutr. Food Sci. 2019, 24, 159–164. [Google Scholar] [CrossRef]
- Cho, S.S.; Yang, J.H.; Seo, K.H.; Shin, S.M.; Park, E.Y.; Cho, S.S.; Jo, G.U.; Eo, J.H.; Park, J.S.; Oh, D.S.; et al. Cudrania Tricuspidata Extract and Its Major Constituents Inhibit Oxidative Stress-Induced Liver Injury. J. Med. Food. 2019, 22, 602–613. [Google Scholar] [CrossRef]
- Lee, J.; Lee, S.J.; Lim, K.T. CTB glycoprotein (75kDa) inhibits IgE releasing, TNF-alpha and IL-6 expressed by bisphenol A in vivo and in vitro. Food Chem. Toxicol. 2012, 50, 2109–2117. [Google Scholar] [CrossRef]
- Kim, M.H.; Jang, J.H.; Oh, M.H.; Heo, J.H.; Lee, M.W. The comparison of DPPH-scavenging capacity and anti-inflammatory effects of phenolic compounds isolated from the stems of Stewartia koreana Nakai. Nat. Prod. Res. 2014, 28, 1409–1412. [Google Scholar] [CrossRef]
- Lee, S.I.; Yang, J.H.; Kim, D.K. Antioxidant flavonoids from the twigs of stewarita koreana. Biomol. Ther. 2010, 18, 191–196. [Google Scholar] [CrossRef]
- Lee, E.G.; Yun, H.J.; Lee, S.I.; Yoo, W.H. Ethyl acetate fraction from Cudrania tricuspidata inhibits IL-1beta-stimulated osteoclast differentiation through downregulation of MAPKs, c-Fos and NFATc1. Korean J. Intern. Med. 2010, 25, 93–100. [Google Scholar] [CrossRef]
- Lee, E.G.; Lee, S.L.; Chae, H.J.; Park, S.J.; Lee, Y.C.; Yoo, W.H. Ethyl acetate fraction from Cudrania tricuspidata inhibits IL-1beta-induced rheumatoid synovial fibroblast proliferation and MMPs, COX-2 and PGE2 production. Biol. Res. 2010, 43, 225–231. [Google Scholar] [CrossRef] [PubMed]
- Hilliquin, P.; Borderie, D.; Hernvann, A.; Menkès, C.J.; Ekindjian, O.G. Nitric oxide as s-nitrosoproteins in rheumatoid arthritis. Arthritis Rheum. 1997, 40, 1512–1517. [Google Scholar] [CrossRef]
- Kwak, H.B.; Lee, B.K.; Oh, J.; Yeon, J.T.; Choi, S.W.; Cho, H.J.; Lee, M.S.; Kim, J.J.; Bae, J.M.; Kim, S.H.; et al. Inhibition of osteoclast differentiation and bone resorption by rotenone, through down-regulation of RANKL-induced c-Fos and NFATc1 expression. Bone 2010, 46, 724–731. [Google Scholar] [CrossRef] [PubMed]
- Lee, T.H.; Kwak, H.B.; Kim, H.H.; Lee, Z.H.; Chung, D.K.; Baek, N.I.; Kim, J. Methanol extracts of Stewartia koreana inhibit cyclooxygenase-2 (COX-2) and inducible nitric oxide synthase (iNOS) gene expression by blocking NF-kappaB transactivation in LPS-activated RAW 264.7 cells. Mol. Cells 2007, 23, 398–404. [Google Scholar]
- Feng, Z.; Lu, X.; Gan, L.; Zhang, Q.; Lin, L. Xathones, a promising anti-inflammatory scaffold: Structure, activity, and drug likeness analysis. Molecules 2020, 25. [Google Scholar] [CrossRef] [PubMed]
- Lee, W.; Lee, Y.; Jeong, G.S.; Ku, S.K.; Bae, J.S. Cudratricusxanthone A attenuates renal injury in septic mice. Food Chem. Toxicol. 2017, 106, 404–410. [Google Scholar] [CrossRef]






Publisher’s Note: MDPI stays neutral with regard to jurisdictional claims in published maps and institutional affiliations. |
© 2021 by the authors. Licensee MDPI, Basel, Switzerland. This article is an open access article distributed under the terms and conditions of the Creative Commons Attribution (CC BY) license (https://creativecommons.org/licenses/by/4.0/).
Share and Cite
Kim, I.; Kim, H.; Lee, E.H.; Jo, G.; Na, C.S.; Kang, K.; Lee, T.H. Anti-Inflammatory Effect of Cudrania tricuspidata Extract and Stewartia koreana Extract Mixture in a Collagen-Induced Arthritis Mouse Model. Appl. Sci. 2021, 11, 6660. https://doi.org/10.3390/app11146660
Kim I, Kim H, Lee EH, Jo G, Na CS, Kang K, Lee TH. Anti-Inflammatory Effect of Cudrania tricuspidata Extract and Stewartia koreana Extract Mixture in a Collagen-Induced Arthritis Mouse Model. Applied Sciences. 2021; 11(14):6660. https://doi.org/10.3390/app11146660
Chicago/Turabian StyleKim, Inkyu, Hansol Kim, Eunjoo H. Lee, Geonung Jo, Chun Soo Na, Kyungtae Kang, and Tae Hoon Lee. 2021. "Anti-Inflammatory Effect of Cudrania tricuspidata Extract and Stewartia koreana Extract Mixture in a Collagen-Induced Arthritis Mouse Model" Applied Sciences 11, no. 14: 6660. https://doi.org/10.3390/app11146660
APA StyleKim, I., Kim, H., Lee, E. H., Jo, G., Na, C. S., Kang, K., & Lee, T. H. (2021). Anti-Inflammatory Effect of Cudrania tricuspidata Extract and Stewartia koreana Extract Mixture in a Collagen-Induced Arthritis Mouse Model. Applied Sciences, 11(14), 6660. https://doi.org/10.3390/app11146660
