Abstract
The failure behavior of composites under ultraviolet (UV) irradiation was investigated by acoustic emission (AE) testing and Ib-value analysis. AE signals were acquired from woven glass fiber/epoxy specimens tested under tensile load. Cracks initiated earlier in UV-irradiated specimens, with a higher crack growth rate in comparison to the pristine specimen. In the UV-degraded specimen, a serrated fracture surface appeared due to surface hardening and damaged interfaces. All specimens displayed a linearly decreasing trend in Ib-values with an increasing irradiation time, reaching the same value at final failure even when the starting values were different.
1. Introduction
Fiber-reinforced plastics (FRPs) are hybrid materials composed of reinforcing fibers and polymer matrices [1,2]. High specific stiffness and strength characterize FRPs, and their excellent resistance to fatigue loads of glass fiber-reinforced plastics (GFRPs) make these composites particularly suitable for the fabrication of wind-turbine blades with higher wind power efficiency [3,4,5,6]. During service, wind blade systems are exposed to a variety of environmental conditions, such as high humidity [7,8], elevated temperature [9,10], freeze–thaw cycles [11,12], and ultraviolet (UV) radiation [13,14], which can affect their performance.
Ultraviolet radiation is detrimental to polymers, initiating photodegradation, which usually degrades their mechanical properties [13]. Zhang et al. [15]. exposed epoxy to UV light for up to 200 h and then observed the surface by scanning electron microscopy. Microcracks occurred on the surface exposed to UV radiation, and the damage became more severe as the surface cracks enlarged, with increasing amounts of accumulated energy. Various combinations of composites were tested for up to 100 days of photodegradation [16]. The ultimate tensile strength and modulus of FRP decreased with increasing UV exposure. Therefore, for the maintenance and residual life evaluation of wind turbine blades, it is essential to predict changes in the fracture behavior of FRPs exposed to UV radiation during their life cycle. It is important to establish efficient monitoring technology due to the difference between natural exposure and laboratory conditions.
Acoustic emission (AE) of transient elastic waves in solids result from crack formation (plastic deformation) due to aging, temperature gradients, and mechanical forces [17]. Acoustic emission testing is a noninvasive, passive technique that can monitor the evolution of conditions in a structure [18,19,20,21]. It can be used to evaluate the crack state based on simple parameters, such as hit frequency (hits per second) and amplitude. Amplitude is related to crack size, while hits are related to crack growth. This technology has been used for structural health monitoring (SHM), especially in the context of seismology [22,23], and construction (i.e., concrete structures [24,25,26]). Gutenberg et al. [27]. introduced the b-value, derived from the amplitude–cumulative hits distribution, to evaluate the state of a crack (earthquake). The b-value is defined as the slope of the cumulative hit with respect to the amplitude. When cracks grow, a signal with a large amplitude is generated and the b-value is designed to decrease. Shiotani et al. [28], improved the b-value by using both the mean and variance, and applied it to the analysis of cracks in rocks. Finally, Colombo et al. [29]. proposed a standard for evaluating cracks in a concrete structure based on the Ib-values. Our previous study [30,31,32] used b-values to analyze a UV-irradiated FRP structure. The previous study [31] investigated the signal propagation behavior (i.e., attenuation) under UV irradiation conditions and studied the damage initiation and accumulation behavior using b-value analysis. In another piece of research [30,32], we studied the failure behavior and frequency-dependent attenuation behavior in CFRP, finding that Ib-value is continuously decreasing. The conventional b-value is helpful in damage analysis. However, it is not suitable for structural health monitoring (not monotonously changing in FRP structure). The feasibility of Ib-value in FRP structural health monitoring is required, especially under environmental degradation.
We investigated the fracture behavior of a UV-irradiated GFRP under tensile loading. Technical issues, and the accompanying methodology, are schematically shown in Figure 1. The GFRP specimens were prepared with a circular notch to establish the crack location. In the tensile test, the AE hits and amplitude distribution were used to analyze the crack condition. Finally, the Ib-values were determined. This research provides a basis for analyzing the correlation between AE and the UV degradation of GFRP strength, and establishes a technique for analyzing the extent of degradation via AE testing.
Figure 1.
Schematic illustration of this research.
2. Experimental
2.1. Materials and Specimens
A 2-mm-thick GFRP sheet made from glass fiber and epoxy resin (Murakami Dengyo Co., Ltd., Yokohama-shi, Japan) was used in the experiments. The glass fibers were applied as a plain-woven fabric with a fiber fraction of 52.3 vol%. Woven GFRP plate specimens with a center hole were used for mechanical testing according to the standard ASTM D3039. A 2-mm-diameter hole was drilled at the center of each specimen, using a drill specifically designed for composite materials (Figure 2). Both surfaces of a specimen were irradiated by UV light for up to 300 h in a chamber. The light intensity was 1820 µW/cm2, with maximum spectral output at 365 nm. Figure 3 presents optical images of UV-aged specimens after 0 (pristine), 100, 200, and 300 h of irradiation. The photodegradation process can be manifested by discoloration through the yellowing of the epoxy [14]. The yellowing surface of the specimens increased as irradiation time increased, and was visible after 200 h in Figure 3.
Figure 2.
Schematic illustrations of GFRP specimens with a center hole and sensor locations.
Figure 3.
GFRP specimens after UV irradiation.
2.2. Tensile Testing and Acoustic Emission Testing
Tensile testing was carried out according to the standard ASTM D3039. Tabs of GFRP were attached to a specimen at both ends to avoid damage from the test jig. A universal testing machine (AGI; Shimadzu Corp. Kyoto, Japan) was used to test specimens at a crosshead speed of 0.1 mm/min. AE signals were detected using a digitizer (Physical Acoustics Corp.; PCI-2, Princeton Junction, NJ, USA) at a sampling rate of 10 MHz per channel during each test, with 2/4/6 preamplifiers (Physical Acoustics Corp., Princeton Junction, NJ, USA) at 40 dBAE gain. A PICO sensor from Physical Acoustics Corporation (PAC; Princeton Junction, NJ, USA), with an operating frequency range from 100 to 900 kHz, was chosen for AE testing. Three AE sensors were mounted on each specimen at different distances from the hole using silicon grease (HIVAC-G, Tokyo, Japan) and vinyl tape (Figure 2). The specimens broke near the center hole due to stress concentration. Table 1 lists the test conditions used in previous research for AE monitoring [30]. One sensor was applied near the hole and two guard sensors were applied in both ends of the specimen (S1, G1 and G2 in Figure 2), and the AE signals of the hole (crack) areas were analyzed. Only signals stronger than 35 dBAE were detected to remove the background noise (Table 1). Four specimens were tested for each UV irradiation condition and the reproducibility was confirmed, selecting one representative set of data.
Table 1.
Acoustic emission testing conditions [30]. (Length: recording time after the AE signal exceeded the threshold value).
2.3. Ib-Value Analysis
Gutenberg initially developed b-value analysis for seismological applications using the Gutenberg–Richter formula [23]:
where A is the amplitude of the AE in decibels (dBAE), N is the total number of AE hits, a is an empirical constant, and b is the slope of the linear relationship. The amplitude is a direct indicator of damage. As a macrocrack propagates, high-amplitude signals are generated and the b-value decreases (Figure 4; note the slope of the black line).
Figure 4.
The concept of b- and Ib-values [31].
The b-value reflects structural health and has been used to assess signals from stochastic processes, such as earthquakes, and from concrete structures. An Ib-value that incorporates specific statistical parameters of the amplitude distribution was derived. In Ib-value analysis, the crucial factors for determining the amplitude range are the mean (μ), standard deviation (σ), lower amplitude (μ − a1∙σ), and upper amplitude (μ + a2∙σ) values (Figure 4; note the slope of the blue line). The Ib-value was then calculated as follows:
This can be used to evaluate the crack state based on simple parameters, such as amplitude, hit frequency (hits per second), and AE frequency (peak frequency). Amplitude is an indicator of crack growth (i.e., crack size), while hit frequency is related to crack behavior. In addition, the AE frequency is known to depend on the damage mode and is used for behavioral analysis.
3. Results and Discussion
3.1. Mechanical Behavior and AE Analysis
Table 2 summarizes the experimental results, including the total test time, stress and strain at failure, time at which the first AE signals occurred, total number of AE hits, and maximum AE amplitude. The stress and strain at failure of the GFRP specimens decreased continuously with the increasing UV aging time. The tensile strength of specimens irradiated for 300 h was 28.4% lower than that of pristine specimens. The strain at failure decreased in the order 0~100 h > 200 h > 300 h. The UV treatment embrittled the material and decreased tensile toughness. All specimens generated large AE amplitudes (99 dBAE) during the last stage of tensile testing. The total number of AE hits exceeded 10,000 for all specimens, but there was no association with UV irradiation time.
Table 2.
Summary of fracture test results.
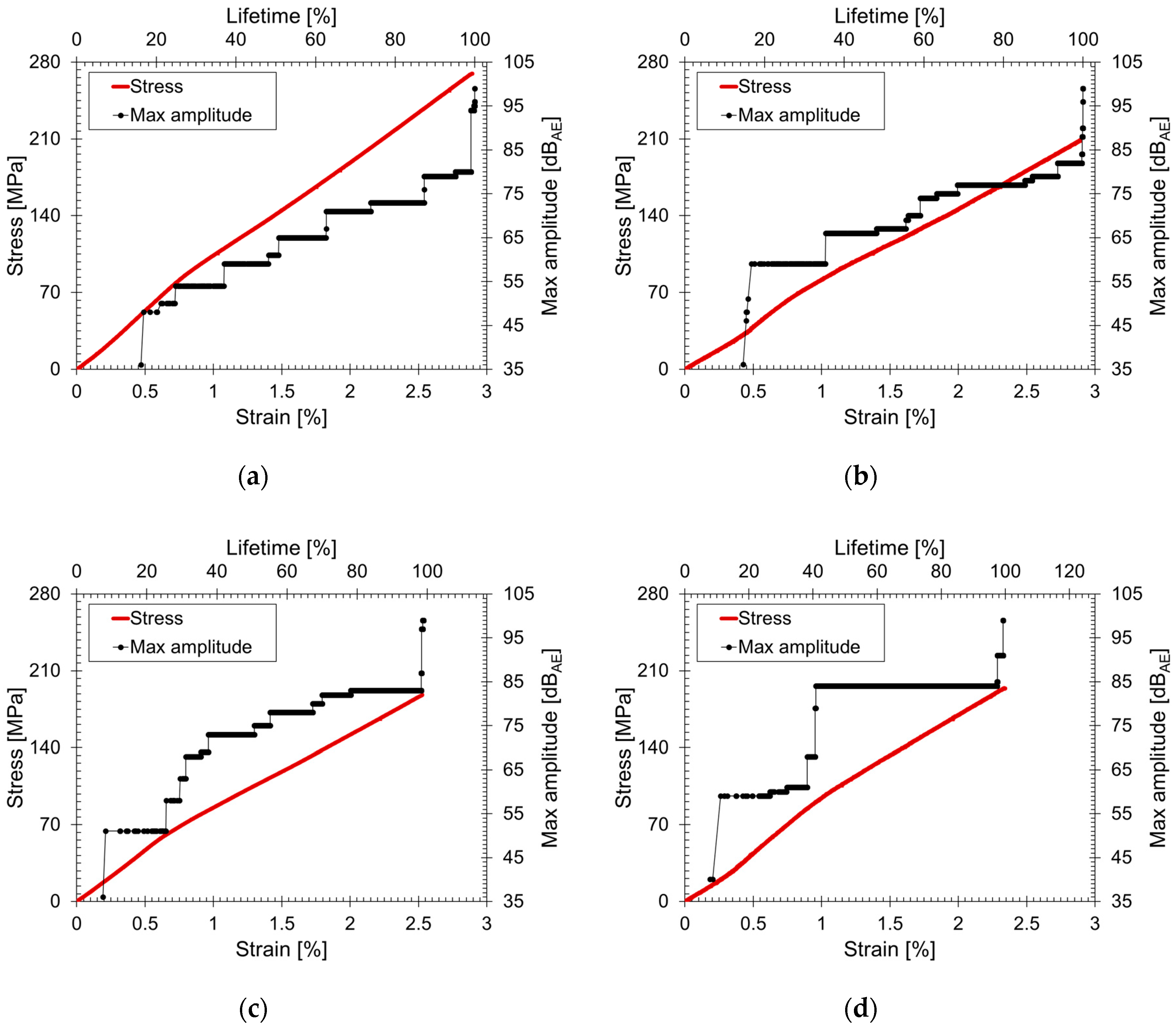
Figure 5 shows the amplitude under tensile loading of specimens for different UV irradiation times. The amplitude (i.e., the highest peak in a detected voltage signal) was converted to decibels (dBAE, Equation (1)). The maximum amplitude was the largest amplitude among all of the accumulated AE data. For example, in Figure 5a, an AE hit of 48 dBAE occurred at 16% of the lifetime, and persisted until about 20% of the lifetime, indicating that other hits occurred during the interval but had amplitudes of less than 48 dBAE. In the 0 h specimen (Figure 5a), the maximum amplitude increased gradually until 300 h, after which it increased rapidly (Figure 5d). Amplitude corresponds to crack size, so the maximum amplitude relates to crack growth. Crack growth was relatively rapid in the 300 h specimen. Cracking was accelerated due to cracks generated on the surface by UV exposure.
Figure 5.
Stress–strain response of GFRP specimens and maximum AE amplitudes after UV irradiation for (a) 0 h, (b) 100 h, (c) 200 h, and (d) 300 h.
Figure 6 shows the UV effects for 0 h and 300 h irradiated specimens. The fracture surface in Figure 6b shows a serrated fracture surface with many transverse surface cracks. In a woven textile composite, cracks are first induced in the weft direction (transverse cracks), followed by fiber breakage. The pristine specimens (Figure 6a) showed brittle failure according to the typical failure behavior, whereas the irradiated specimens showed more complex crack behaviors. The phenomenon can be explained by surface hardening and surface cracking, as discussed in previous research [31]. In the 300 h specimen, surface crack leads to larger transverse cracks in the early stage (Figure 5d), and the damaged surfaces and interfaces are weaker than in pristine specimens. The cracks propagated more actively (more AE signals with larger amplitude), creating a serrated fracture surface.
Figure 6.
Photographs of fractured specimens subjected to ultraviolet exposure for (a) 0 h and (b) 300 h.
Figure 7 shows the mean amplitude of the AEs. To compare crack behavior among different test times, this was expressed as the percentage of lifetime (where final failure = 100%). The mean amplitude displayed a similar increasing trend in all specimens but was higher in UV-irradiated specimens. As noted above, hit amplitude was strongly correlated with crack size, and a higher mean amplitude implied that the cracks were larger, even at an early stage. Crack growth was faster in UV-treated specimens, and not only in terms of maximum amplitude. In the case of the woven FRP, the load was transferred to longitudinal fibers (0°) after transverse fiber (90°) fractures, and the cracks propagated. When the epoxy was photodegraded by UV light, transverse cracks were initiated, and propagated under low tensile loading via surface cracks and their connections.
Figure 7.
Mean AE amplitudes of GFRP specimens.
Figure 8a presents the cumulative AE hits. As photodegradation progressed, the time to crack initiation decreased. Note that small microcracks can occur before the first AE hit because a hit is recorded only when a signal exceeds the threshold. The time of the first hit is important because it represents the rate at which the cracks reach a specific size. The trend in cumulative hits was similar after approximately 30% of the lifetime. Figure 8b shows the number of AE signals per second (one black dot corresponds to the number of AE signals that occurred in 1 s). High hit-per-second peaks are labelled #1–4. The maximum amplitude changed according to the hits per second (Figure 5a). It is well-known that cracks do not always grow at a constant rate, and there are regions where the cracks grow suddenly depending on the fiber structure. The AE test results indicate that these regions can be detected by amplitude analysis.
Figure 8.
Acoustic emission (AE) hit distribution. (a) Cumulative AE hits and (b) AE occurrence rate (hits per second) for the 0 h specimen.
3.2. Structural Health Monitoring via Ib-Value Analysis
As discussed in the previous section, the Ib-value can be used to diagnose the state of the structure by determining the frequency at which a higher-amplitude signal appears as a result of crack propagation. Figure 9 presents an example of an amplitude distribution and Ib-value calculation for a 0 h specimen. Labels #1–4 are the same as those in Figure 8b. Amplitudes were calculated based on Ib-values within a specific range around the mean value (a1 = 10, a2 = 5). The Ib-values continuously decrease, unlike the b-value. Our previous b-value analysis of a GFRP [30] determined that increasing b-values stem from the complex failure behavior of FRP, which creates many microcracks, even when they are propagating. Hence, the Ib-value is more suitable than the b-value for SHM of FRP structures.
Figure 9.
Example cumulative hits and Ib-values.
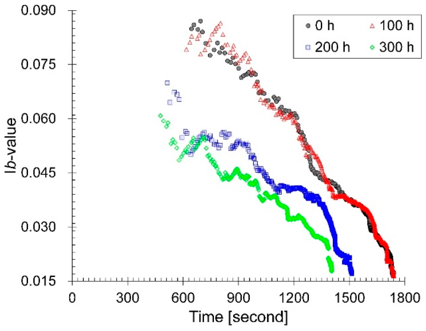
Figure 10 shows the Ib-values over the lifetime of the specimens. The parametric values were calculated after successive generation of 10 AE hits (e.g., 1st–10th, 1st–20th …1st–100th). The Ib-values continued to linearly decrease until the end of the experiment. The maximum Ib-value in the experiment corresponded to the beginning of crack growth, and the minimum value corresponded to specimen failure. The trends were quite similar between the 0 and 100 h specimens, but the starting Ib-value was lower for the 200 and 300 h specimens. Notably, the Ib-value behavior of all specimens linearly decreased and converged to the same value at final failure. Thus, the behavior of an environmentally degraded GFRP can be predicted based on the Ib-value behavior of the pristine specimen.
Figure 10.
Ib-values of specimens.
4. Conclusions
We investigated changes in the mechanical properties of a woven GFRP after exposure to UV radiation. We mainly focused on changes in AE parameters, including Ib-values. The UV radiation affected fracture stress and strain differently. In this study, the fundamental AE parameters, i.e., amplitude and frequency (hits per second), increased continuously, and relatively faster, in the UV-treated specimens. A comparison of the b- and Ib-values revealed that Ib-value analysis is more suitable for SHM of FRPs. The Ib-value continuously decreased up to the final fracture (0.017), but the beginning value lowered for the 0 and 300 h specimens (0.087 and 0.061). Therefore, Ib-value can be used to determine the level of environmental degradation of a GFRP.
Author Contributions
Conceptualization, D.J. and W.N.; methodology, D.J.; software, D.J.; validation, D.J. and W.N.; formal analysis, D.J. and W.N.; investigation, D.J. and W.N.; data curation, D.J. and W.N.; writing—original draft preparation, D.J.; writing—review and editing, W.N.; visualization, D.J.; supervision, W.N.; project administration, W.N.; funding acquisition, W.N. All authors have read and agreed to the published version of the manuscript.
Funding
This study was supported by the Korea Institute of Science and Technology (KIST) institutional Program.
Institutional Review Board Statement
Not applicable.
Informed Consent Statement
Not applicable.
Data Availability Statement
Not applicable.
Acknowledgments
This study was supported by the Korea Institute of Science and Technology (KIST) institutional Program.
Conflicts of Interest
The authors declare no conflict of interest.
References
- Chand, S. Carbon fibers for composites. J. Mater. Sci. 2000, 35, 1303–1313. [Google Scholar] [CrossRef]
- Luan, C.; Movva, S.; Wang, K.; Yao, X.; Zhang, C.; Wang, B. Towards next-generation fiber-reinforced polymer composites: A perspective on multifunctionality. Funct. Compos. Struct. 2019, 1, 042002. [Google Scholar] [CrossRef]
- Tsopelas, N.K.; Papasalouros, D.G.; Anastasopoulos, A.A.; Kourousis, D.A.; Dong, J.W. Acoustic emission for structural integrity assessment of wind turbine blades. In Advances in Acoustic Emission Technology; Springer: New York, NY, USA, 2015; pp. 369–382. [Google Scholar]
- Javaid, U.; Khan, Z.M.; Khan, M.; Bassyouni, M.; Abdel-Hamid, S.-S.; Abdel-Aziz, M.; ul Hasan, S.W. Fabrication and thermo-mechanical characterization of glass fiber/vinyl ester wind turbine rotor blade. Compos. Part B Eng. 2016, 91, 257–266. [Google Scholar] [CrossRef]
- Shah, D.U.; Schubel, P.J.; Clifford, M.J. Can flax replace E-glass in structural composites? A small wind turbine blade case study. Compos. Part B Eng. 2013, 52, 172–181. [Google Scholar] [CrossRef] [Green Version]
- Karthikeyan, N.; Anand, R.; Suthakar, T.; Barhate, S. Materials, Innovations and Future Research Opportunities on Wind Turbine Blades—Insight Review. Environ. Prog. Sustain. Energy 2019, 38, e13046. [Google Scholar] [CrossRef]
- Morăraş, C.; Barsanescu, P.; Tugui, C. Some aspects regarding the influence of humidity on the tensile characteristics of GFRP composite material. In IOP Conference Series: Materials Science and Engineering; IOP Publishing: Bristol, UK, 2020; Volume 997, No. 1. [Google Scholar]
- Guzman, V.A.; Brøndsted, P. Effects of moisture on glass fiber-reinforced polymer composites. J. Compos. Mater. 2015, 49, 911–920. [Google Scholar] [CrossRef]
- Huh, Y.-H.; Kim, J.-I.; Kim, D.-J.; Lee, G.-C. Temperature-Dependency of Tensile Properties of GFRP Composite for Wind Turbine Blades. Trans. Korean Soc. Mech. Eng. A 2012, 36, 1053–1057. [Google Scholar] [CrossRef]
- Chen, Z.; Yu, T.; Park, S.-J.; Hong, J.-H.; Kim, Y.-H. Rapid in situ remediation of glass fiber wind turbine blades in low temperature environment. Mod. Phys. Lett. B 2019, 33, 1940022. [Google Scholar] [CrossRef]
- Wang, P.; Zhou, W.; Bao, Y.; Li, H. Ice monitoring of a full-scale wind turbine blade using ultrasonic guided waves under varying temperature conditions. Struct. Control. Health Monit. 2018, 25, e2138. [Google Scholar] [CrossRef]
- Abedi, M.; Aliabadi, A.; Mosavei, S.E.; Sarfaraz, R. Dimensional characteristic of glass/epoxy composite plate with edge notch under wet freeze-thaw cycles. J. Solid Fluid Mech. 2020, 10, 219–231. [Google Scholar]
- Nikafshar, S.; Zabihi, O.; Ahmadi, M.; Mirmohseni, A.; Taseidifar, M.; Naebe, M. The Effects of UV Light on the Chemical and Mechanical Properties of a Transparent Epoxy-Diamine System in the Presence of an Organic UV Absorber. Materials 2017, 10, 180. [Google Scholar] [CrossRef]
- Woo, R.S.C.; Chen, Y.; Zhu, H.; Li, J.; Kim, J.K.; Leung, C.K.Y. Environmental degradation of epoxy-organoclay nanocomposites due to UV exposure. Part I: Photo-degradation. Compos. Sci. Technol. 2007, 67, 3448–3456. [Google Scholar] [CrossRef]
- Zhang, G.; Pitt, W.; Goates, S.; Owen, N. Studies on oxidative photodegradation of epoxy resins by IR-ATR spectroscopy. J. Appl. Polym. Sci. 1994, 54, 419–427. [Google Scholar] [CrossRef]
- Zhao, J.; Cai, G.; Cui, L.; Si Larbi, A.; Daniel Tsavdaridis, K. Deterioration of basic properties of the materials in FRP-strengthening RC structures under ultraviolet exposure. Polymers 2017, 9, 402. [Google Scholar] [CrossRef] [PubMed] [Green Version]
- Nakamura, H.; Ohtsu, M.; Enoki, M.; Mizutani, Y.; Shigeishi, M.; Inaba, H.; Nakano, M.; Shiotani, T.; Yuyama, S.; Sugimoto, S. Practical Acoustic Emission Testing; Springer: Berlin/Heidelberg, Germany, 2016; pp. 66–69. [Google Scholar]
- Behnia, A.; Chai, H.K.; Shiotani, T. Advanced structural health monitoring of concrete structures with the aid of acoustic emission. Constr. Build. Mater. 2014, 65, 282–302. [Google Scholar] [CrossRef]
- Noorsuhada, M.N. An overview on fatigue damage assessment of reinforced concrete structures with the aid of acoustic emission technique. Constr. Build. Mater. 2016, 112, 424–439. [Google Scholar] [CrossRef]
- Ohtsu, M. Elastic wave methods for NDE in concrete based on generalized theory of acoustic emission. Constr. Build. Mater. 2016, 122, 845–854. [Google Scholar] [CrossRef]
- Tsangouri, E.; Aggelis, D.G. A review of acoustic emission as indicator of reinforcement effectiveness in concrete and cementitious composites. Constr. Build. Mater. 2019, 224, 198–205. [Google Scholar] [CrossRef]
- Chen, J.; Zhu, S. Spatial and temporal b-value precursors preceding the 2008 Wenchuan, China, earthquake (Mw = 7.9): Implications for earthquake prediction. Geomat. Nat. Hazards Risk 2020, 11, 1196–1211. [Google Scholar] [CrossRef]
- Rao, M.V.M.S.; Prasanna Lakshmi, K.J. Analysis of b-value and improved b-value of acoustic emissions accompanying rock fracture. Curr. Sci. 2005, 89, 1577–1582. [Google Scholar]
- Kurz, J.H.; Finck, F.; Grosse, C.U.; Reinhardt, H.W. Stress drop and stress redistribution in concrete quantified over time by the b-value analysis. Struct. Health Monit. 2006, 5, 69–81. [Google Scholar] [CrossRef]
- Ozawa, M.; Uchida, S.; Kamada, T.; Morimoto, H. Study of mechanisms of explosive spalling in high-strength concrete at high temperatures using acoustic emission. Constr. Build. Mater. 2012, 37, 621–628. [Google Scholar] [CrossRef]
- Vidya Sagar, R. A parallel between earthquake sequences and acoustic emissions released during fracture process in reinforced concrete structures under flexural loading. Constr. Build. Mater. 2016, 114, 772–793. [Google Scholar] [CrossRef]
- Gutenberg, B. The energy of earthquakes. Q. J. Geol. Soc. 1956, 112. [Google Scholar] [CrossRef]
- Shiotani, T.; Ohtsu, M.; Ikeda, K. Detection and evaluation of AE waves due to rock deformation. Constr. Build. Mater. 2001, 15, 235–246. [Google Scholar] [CrossRef]
- Colombo, I.S.; Main, I.G.; Forde, M.C. Assessing damage of reinforced concrete beam using “b-value” analysis of acoustic emission signals. J. Mater. Civ. Eng. 2003, 15, 280–286. [Google Scholar] [CrossRef] [Green Version]
- Jung, D.; Mizutani, Y.; Todoroki, A.; Na, W. Effect of Ultraviolet Irradiation on the Material Properties and Acoustic Emission of a Fiber-reinforced Composite. Fibers Polym. 2021. [Google Scholar] [CrossRef]
- Jung, D.; Yu, W.R.; Na, W. Use of acoustic emission b(Ib)-values to quantify damage in composites. Compos. Commun. 2020, 22, 100499. [Google Scholar] [CrossRef]
- Jung, D.; Lee, B.-S.; Yu, W.-R.; Na, W. Effect of propagation distance on acoustic emission of carbon fiber/epoxy composites. Struct. Health Monit. 2021, 1475921720986156. [Google Scholar] [CrossRef]
Publisher’s Note: MDPI stays neutral with regard to jurisdictional claims in published maps and institutional affiliations. |
© 2021 by the authors. Licensee MDPI, Basel, Switzerland. This article is an open access article distributed under the terms and conditions of the Creative Commons Attribution (CC BY) license (https://creativecommons.org/licenses/by/4.0/).









