Experimental Validation of Formula for Calculation Thermal Diffusivity in Superlattices Performed Using a Combination of Two Frequency-Domain Methods: Photothermal Infrared Radiometry and Thermoreflectance
Abstract
1. Introduction
2. Materials and Methods
2.1. Frequency Domain Photothermal Infrared Radiometry Set Up
2.2. Frequency Domain Thermoreflectance Set Up
2.3. Materials
3. Theoretical Models
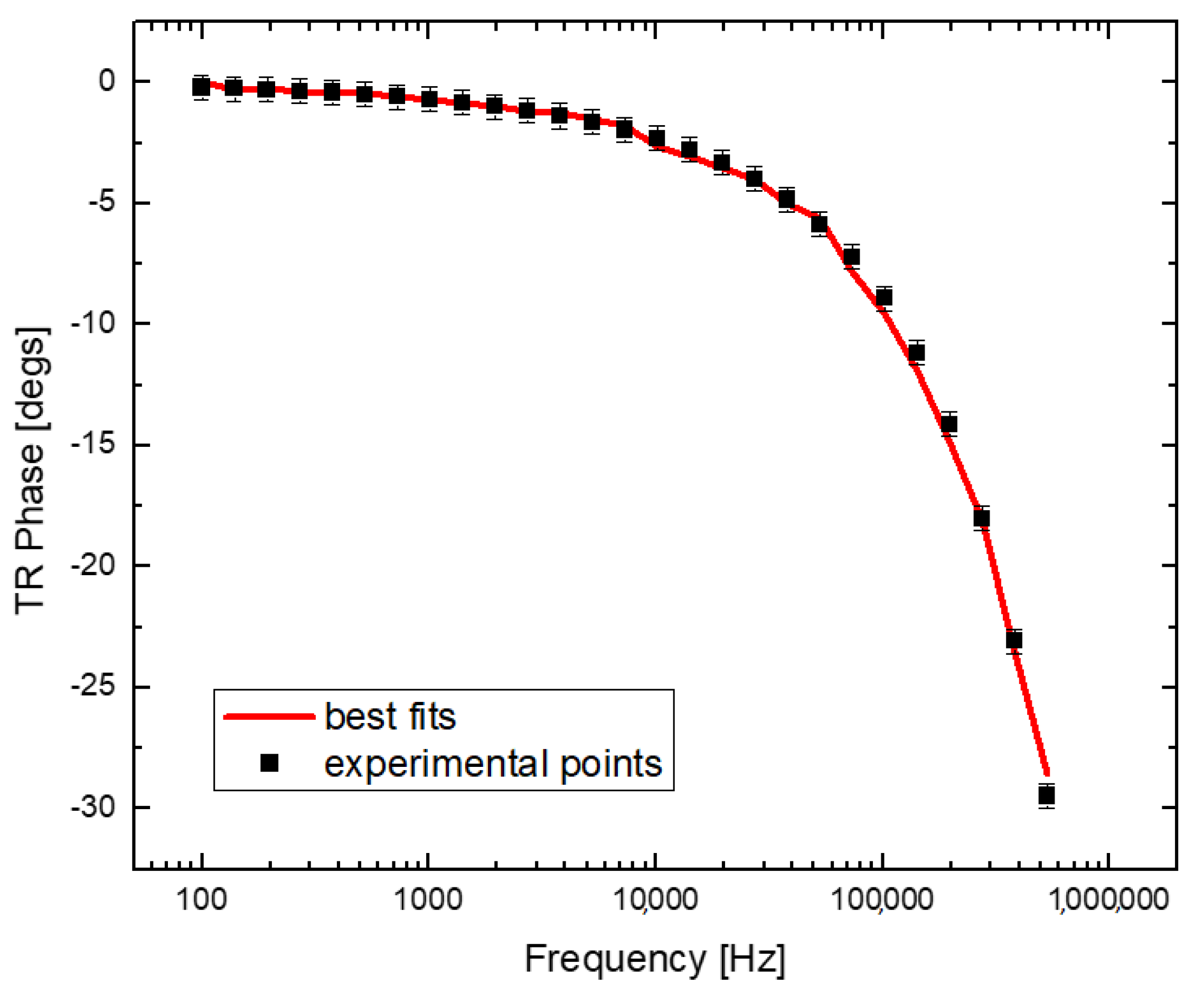
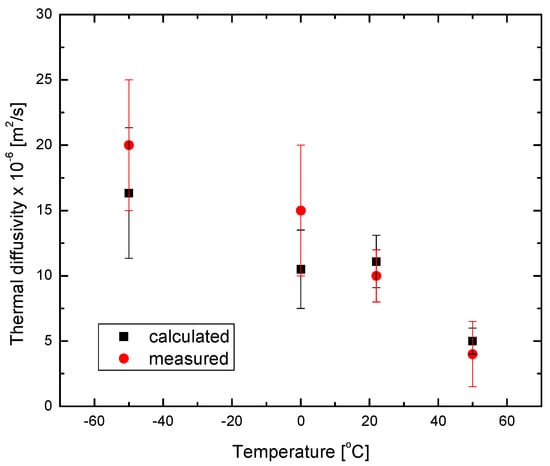
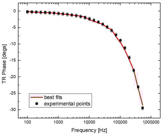
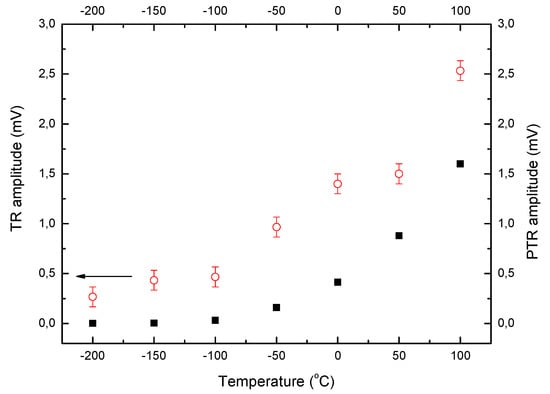
4. Results
5. Discussion
6. Conclusions
Author Contributions
Funding
Institutional Review Board Statement
Informed Consent Statement
Acknowledgments
Conflicts of Interest
References
- Cahill, D.G.; Goodson, K.; Majumdar, A. Thermometry and Thermal Transport in Micro/Nanoscale Solid-State Devices and Structures. J. Heat Transf. 2002, 124, 223–241. [Google Scholar] [CrossRef]
- Cahill, D.G. Analysis of heat flow in layered structures for time-domain thermoreflectance. Rev. Sci. Instrum. 2004, 75, 5119–5122. [Google Scholar] [CrossRef]
- Schmidt, A.J.; Chen, X.; Chen, G. Pulse accumulation, radial heat conduction, and anisotropic thermal conductivity in pump-probe transient thermoreflectance. Rev. Sci. Instrum. 2008, 79, 114902. [Google Scholar] [CrossRef] [PubMed]
- Hopkins, P.E.; Serrano, J.R.; Phinney, L.M.; Kearney, S.P.; Grasser, T.W.; Harris, C.T. Criteria for Cross-Plane Dominated Thermal Transport in Multilayer Thin Film Systems During Modulated Laser Heating. J. Heat Transf. 2010, 132, 081302. [Google Scholar] [CrossRef]
- Toberer, E.S.; Baranowski, L.L.; Dames, C. Advances in Thermal Conductivity. Annu. Rev. Mater. Res. 2012, 42, 179–209. [Google Scholar] [CrossRef]
- Feser, J.P.; Cahill, D.G. Probing anisotropic heat transport using time-domain thermoreflectance with offset laser spots. Rev. Sci. Instrum. 2012, 83, 104901. [Google Scholar] [CrossRef] [PubMed]
- Luckyanova, M.N.; Garg, J.; Esfarjani, K.; Jandl, A.; Bulsara, M.T.; Schmidt, A.J.; Minnich, A.J.; Chen, S.; Dresselhaus, M.S.; Ren, Z.; et al. Coherent Phonon Heat Conduction in Superlattices. Science 2012, 338, 936–939. [Google Scholar] [CrossRef]
- Luckyanova, M.N.; Johnson, J.A.; Maznev, A.A.; Garg, J.; Jandl, A.; Bulsara, M.T.; Fitzgerald, E.A.; Nelson, K.A.; Chen, G. Anisotropy of the Thermal Conductivity in GaAs/AlAs Superlattices. Nano Lett. 2013, 13, 3973–3977. [Google Scholar] [CrossRef] [PubMed]
- Favaloro, T.; Bahk, J.-H.; Shakouri, A. Characterization of the temperature dependence of the thermoreflectance coefficient for conductive thin films. Rev. Sci. Instrum. 2015, 86, 024903. [Google Scholar] [CrossRef]
- Cheaito, R.; Polanco, C.A.; Addamane, S.; Zhang, J.; Ghosh, A.W.; Balakrishnan, G.; Hopkins, P.E. Interplay between total thickness and period thickness in the phonon thermal conductivity of superlattices from the nanoscale to the microscale: Coherent versus incoherent phonon transport. Phys. Rev. B 2018, 97, 085306. [Google Scholar] [CrossRef]
- Jiang, P.; Huang, B.; Koh, Y.K. Accurate measurements of cross-plane thermal conductivity of thin films by dual-frequency time-domain thermoreflectance (TDTR). Rev. Sci. Instrum. 2016, 87, 075101. [Google Scholar] [CrossRef] [PubMed]
- Zevalkink, A.; Smiadak, D.M.; Blackburn, J.L.; Ferguson, A.J.; Chabinyc, M.L.; Delaire, O.; Wang, J.; Kovnir, K.; Martin, J.; Schelhas, L.T.; et al. A practical field guide to thermoelectrics: Fundamentals, synthesis, and characterization. Appl. Phys. Rev. 2018, 5, 021303. [Google Scholar] [CrossRef]
- Jiang, P.; Qian, X.; Yang, R. Tutorial: Time-domain thermoreflectance (TDTR) for thermal property characterization of bulk and thin film materials. J. Appl. Phys. 2018, 124, 161103. [Google Scholar] [CrossRef]
- Koh, Y.K.; Singer, S.L.; Kim, W.; Zide, J.M.; Lu, H.; Cahill, D.G.; Majumdar, A.; Gossard, A.C. Comparison of the 3ω method and time-domain thermoreflectance for measurements of the cross-plane thermal conductivity of epitaxial semiconductors. J. Appl. Phys. 2009, 105, 054303. [Google Scholar] [CrossRef]
- Chávez, E.; Cuffe, J.; Alzina, F.; Torres, C.S. Calculation of the specific heat in ultra-thin free-standing silicon membranes. J. Phys. 2012, 395, 012105. [Google Scholar] [CrossRef]
- Markushev, D.K.; Markushev, D.D.; Aleksic, S.M.; Pantic, D.S.; Galovic, S.P.; Todorovic, D.M.; Ordonez-Miranda, J. Effects of the photogenerated excess carriers on the thermal and elastic properties of n-type silicon excited with a modulated light source: Theoretical analysis. J. Appl. Phys. 2019, 126, 185102. [Google Scholar] [CrossRef]
- Markushev, D.K.; Markushev, D.D.; Aleksic, S.M.; Pantic, D.S.; Galovic, S.P.; Todorovic, D.M.; Ordonez-Miranda, J. Experimental photoacoustic observation of the photogenerated excess carrier influence on the thermoelastic response of n-type silicon. J. Appl. Phys. 2020, 128, 095103. [Google Scholar] [CrossRef]
- Korte, D.; Cabrera, H.; Toro, G.; Grima, J.; Leal, C.; Villabona, A.; Franko, M. Optimized frequency dependent photothermal beam deflection spectroscopy. Laser Phys. Lett. 2016, 13, 1–12. [Google Scholar] [CrossRef][Green Version]
- Korte, D.; Pavlica, E.; Bratina, G.; Franko, M. Characterization of pure and modified TiO2 layer on glass and aluminium support by beam deflection spectrometry. Int. J. Thermophys. 2014, 35, 1990–2000. [Google Scholar] [CrossRef]
- Cabrera, H.; Matroodi, F.; Cabrera-Díaz, H.D.; Ramírez-Miquet, E.E. Frequency-resolved photothermal lens: An alternative approach for thermal diffusivity measurements in weak absorbing thin samples. Int. J. Heat Mass Transf. 2020, 158, 120036. [Google Scholar] [CrossRef]
- Cabrera, H.; Ramírez-Miquet, E.E.; Suarez-Vargas, J.J.; Ramírez, J.F.; Korte, D.; Niemela, J.J. Pump-Probe Photothermal Self-Mixing System for Highly Sensitive Trace Detection. IEEE Sens. J. 2019, 19, 2547–2552. [Google Scholar] [CrossRef]
- Schmidt, A.J.; Cheaito, R.; Chiesa, M. A frequency-domain thermoreflectance method for the characterization of thermal properties. Rev. Sci. Instrum. 2009, 80, 094901. [Google Scholar] [CrossRef] [PubMed]
- Zhu, J.; Tang, D.; Wang, W.; Liu, J.; Holub, K.W.; Yang, R. Ultrafast thermoreflectance techniques for measuring thermal conductivity and interface thermal conductance of thin films. J. Appl. Phys. 2010, 108, 094315. [Google Scholar] [CrossRef]
- Pawlak, M.; Jukam, N.; Kruck, T.; Dziczek, D.; Ludwig, A.; Wieck, A.D. Measurement of thermal transport properties of selected superlattice and thin films using frequency-domain photothermal infrared radiometry. Measurement 2020, 166, 108226. [Google Scholar] [CrossRef]
- Trefon-Radziejewska, D.; Juszczyk, J.; Fleming, A.; Horny, N.; Antoniow, J.S.; Chirtoc, M.; Kaźmierczak-Bałata, A.; Bodzenta, J. Thermal characterization of metal phthalocyanine layers using photothermal radiometry and scanning thermal microscopy methods. Synth. Met. 2017, 232, 72–78. [Google Scholar] [CrossRef]
- Trefon-Radziejewska, D.; Hamaoui, G.; Chirtoc, M.; Horny, N.; Smokal, V.; Biitseva, A.; Krupka, O.; Derkowska-Zielinska, B. Thermal properties of methacrylic polymer films with guest-host and side-chain azobenzene. Mater. Chem. Phys. 2019, 223, 700–707. [Google Scholar]
- Fuente, R.; Apiñaniz, E.; Mendioroz, A. Agustín Salazar Simultaneous measurement of thermal diffusivity and optical absorption coefficient using photothermal radiometry. I. Homog. Solids 2011, 110, 033515. [Google Scholar]
- Nordal, P.; Kanstad, S. Photothermal Radiometry. Phys. Scr. 1979, 20, 659–662. [Google Scholar] [CrossRef]
- Pawlak, M.; Pal, S.; Scholz, S.; Ludwig, A.; Wieck, A.D. Simultaneous measurement of thermal conductivity and diffusivity of an undoped Al0.33Ga0.67As thin film epitaxially grown on a heavily Zn doped GaAs using spectrally-resolved modulated photothermal infrared radiometry. Thermochim. Acta 2018, 662, 69–74. [Google Scholar] [CrossRef]
- Pawlak, M.; Horny, N.; Scholz, S.; Ebler, C.; Ludwig, A.; Wieck, D.A. Simultaneous measurement of infrared absorption coefficient of Carbon doped Al0.33Ga0.67As thin film and thermal boundary resistance between thin film and heavily Zn doped GaAs using spectrally-resolved modulated photothermal infrared radiometry. Thermochim. Acta 2018, 667, 73–78. [Google Scholar] [CrossRef]
- Malinski, M.; Chrobak, L. Investigations and modeling aspects of the influence of the high energy and high dose implantation on the optical and transport parameters of implanted layers in silicon. Phys. B Condens. Matter 2020, 578, 411851. [Google Scholar] [CrossRef]
- Dorywalski, K.; Chrobak, L.; Malinski, M. Comparative Studies of The Optical Absorption Coefficient Spectra in The Implanted Layers in Silicon with The Use of Nondestructive Spectroscopic Techniques. Metrol. Meas. Syst. 2020, 27, 323–337. [Google Scholar]
- Jiang, P.; Qian, X.; Yang, R. A new elliptical-beam method based on time-domain thermoreflectance (TDTR) to measure the in-plane anisotropic thermal conductivity and its comparison with the beam-offset method. Rev. Sci. Instrum. 2018, 89, 09490. [Google Scholar] [CrossRef]
- el Helou, A.; Raad, P.E.; Komarov, P. Temperature dependence of the thermoreflectance coefficient of gold by the use of a phase-locked single-point measurement approach. In Proceedings of the 2018 34th Thermal Measurement, Modeling & Management Symposium (SEMI-THERM), San Jose, CA, USA, 19–23 March 2018; pp. 161–164. [Google Scholar]
- Adachi, S. GaAs, AlAs, and AlxGa1-xAs: Material parameters for use in research and device applications. J. Appl. Phys. 1985, 58, R1. [Google Scholar] [CrossRef]
- Cardenas, C.; Fabris, D.; Tokairin, S.; Madriz, F.; Yang, C.Y. Thermoreflectance Measurement of Temperature and Thermal Resistance of Thin Film Gold. J. Heat Transf. 2012, 134, 111401. [Google Scholar] [CrossRef]
- Mei, S.; Knezevic, I. Thermal conductivity of III-V semiconductor superlattices. J. Appl. Phys. 2015, 118, 175101. [Google Scholar] [CrossRef]











| Thicknesses Estimated from Reflectivity Measurement [24] | Description | Metalic Layer on the Top | |
|---|---|---|---|
| Sample #1 | - | Undoped GaAs used as substrate; | Ti 50 nm |
| Sample #2 | 1980 nm | Thin Al0.33Ga0.67As alloy | Au 100 nm |
| Sample #3 | 520 nm | AlAs/GaAs superlattice with period thickness of 52 nm | Ti 50 nm |
| Sample #4 | 520 nm | AlAs/GaAs superlattice with period thickness of 52 nm | Au 100 nm |
| Parameter | Three Layer |
|---|---|
| k1 = kTi (W/mK) at −50 °C | 22.9 |
| k1 = kTi (W/mK) at 0 °C | 21.5 |
| k1 = kTi (W/mK) at 50 °C | 21.0 |
| α1 = αTi (m2/s) for all temperatures | 8 × 10−6 |
| k1 = kau (W/mK) at −50 °C | 321 |
| k1 = kAu (W/mK) at 0 °C | 318 |
| k1 = kAu (W/mK) at 50 °C | 315 |
| α1 = αAu (m2/s) for all temperatures | 127 × 10−6 |
| RTi/GaAs (R12) | 2.0 × 10−8 (m2 KW−1) from reference measurement |
| k3 = kGaAs (W/mK) at −50 °C | 70 |
| α3 = αGaAs (m2/s) at −50 °C | 4.2 × 10−5 |
| k3 = kGaAs (W/mK) at 0 °C | 60 |
| α3 = αGaAs (m2/s) at 0 °C | 3.2 × 10−5 |
| k3 = kGaAs (W/mK) at 50 °C | 30 |
| α3 = αGaAs (m2/s) at 50 °C | 1.7 × 10−5 |
| Temperature (°C) | kGaAs/AlAs (W/mK) | αGaAs/AlAs (m2/s) | Rth,23 (m2KW−1) |
|---|---|---|---|
| −50 | 25 ± 2 | (2.0 ± 0.6) × 10−5 | (2 ± 0.2) × 10−8 |
| 0 | 16 ± 3 | (1.5 ± 0.5) × 10−5 | (1 ± 0.5) × 10−8 |
| 50 | 8 ± 3 | (4.0 ± 2.5) × 10−6 | (1.5 ± 0.9) × 10−8 |
| RT [15] | 19 ± 5 | (1.0 ± 0.2) × 10−5 | (3.0 ± 0.8) × 10−8 |
| Temperature (°C) | kGaAs/AlAs (W/mK) | Rth,12 (m2KW−1) |
|---|---|---|
| −50 | 45 ± 5 | (0.9 ± 0.2) × 10−7 |
| 0 | 40 ± 5 | (1 ± 0.9) × 10−7 |
| 50 | 20 ± 5 | (1.5 ± 0.9) × 10−7 |
| Feature | Frequency Domain PTR | Frequency Domain TR | ||
|---|---|---|---|---|
| Advantages | Disadvantage | Advantages | Disadvantage | |
| Measurement of cross-plane thermal transport properties | Possible | Difficult but possible | ||
| Measurement of in-plane thermal transport properties | Difficult but possible | Possible | ||
| Complexity of optical system | Relatively easy | Relatively difficult | ||
| Temperature-measurements at low temperatures | Difficult | Possible | ||
| Temperature measurements at high temperatures | Possible | Possible | ||
Publisher’s Note: MDPI stays neutral with regard to jurisdictional claims in published maps and institutional affiliations. |
© 2021 by the authors. Licensee MDPI, Basel, Switzerland. This article is an open access article distributed under the terms and conditions of the Creative Commons Attribution (CC BY) license (https://creativecommons.org/licenses/by/4.0/).
Share and Cite
Pawlak, M.; Kruck, T.; Spitzer, N.; Dziczek, D.; Ludwig, A.; Wieck, A.D. Experimental Validation of Formula for Calculation Thermal Diffusivity in Superlattices Performed Using a Combination of Two Frequency-Domain Methods: Photothermal Infrared Radiometry and Thermoreflectance. Appl. Sci. 2021, 11, 6125. https://doi.org/10.3390/app11136125
Pawlak M, Kruck T, Spitzer N, Dziczek D, Ludwig A, Wieck AD. Experimental Validation of Formula for Calculation Thermal Diffusivity in Superlattices Performed Using a Combination of Two Frequency-Domain Methods: Photothermal Infrared Radiometry and Thermoreflectance. Applied Sciences. 2021; 11(13):6125. https://doi.org/10.3390/app11136125
Chicago/Turabian StylePawlak, Michał, Timo Kruck, Nikolai Spitzer, Dariusz Dziczek, Arne Ludwig, and Andreas D. Wieck. 2021. "Experimental Validation of Formula for Calculation Thermal Diffusivity in Superlattices Performed Using a Combination of Two Frequency-Domain Methods: Photothermal Infrared Radiometry and Thermoreflectance" Applied Sciences 11, no. 13: 6125. https://doi.org/10.3390/app11136125
APA StylePawlak, M., Kruck, T., Spitzer, N., Dziczek, D., Ludwig, A., & Wieck, A. D. (2021). Experimental Validation of Formula for Calculation Thermal Diffusivity in Superlattices Performed Using a Combination of Two Frequency-Domain Methods: Photothermal Infrared Radiometry and Thermoreflectance. Applied Sciences, 11(13), 6125. https://doi.org/10.3390/app11136125

