New Insight into Breast Cancer Cells Involving Drug Combinations for Dopamine and Serotonin Receptors
Abstract
1. Introduction
2. Materials and Methods
2.1. Materials
2.2. Cell Line and Cell Culture
2.3. Drug Treatment
2.4. Growth Curve Determination
2.5. Cell Viability Assay
2.6. Analysis of Drug Interactions
2.7. Liquid Chromatography Coupled with Mass Spectrometry (LC-MS)
2.8. Immunofluorescence of MCF-7 Cells Treated with Pharmaceutical Compounds
2.9. Data Analysis
2.10. Statistical Analysis
3. Results
3.1. Growth Curve: Ensuring Uniform Growth over Time
3.2. Evaluation of the Most Suitable Viability Assay for MCF-7 Cells
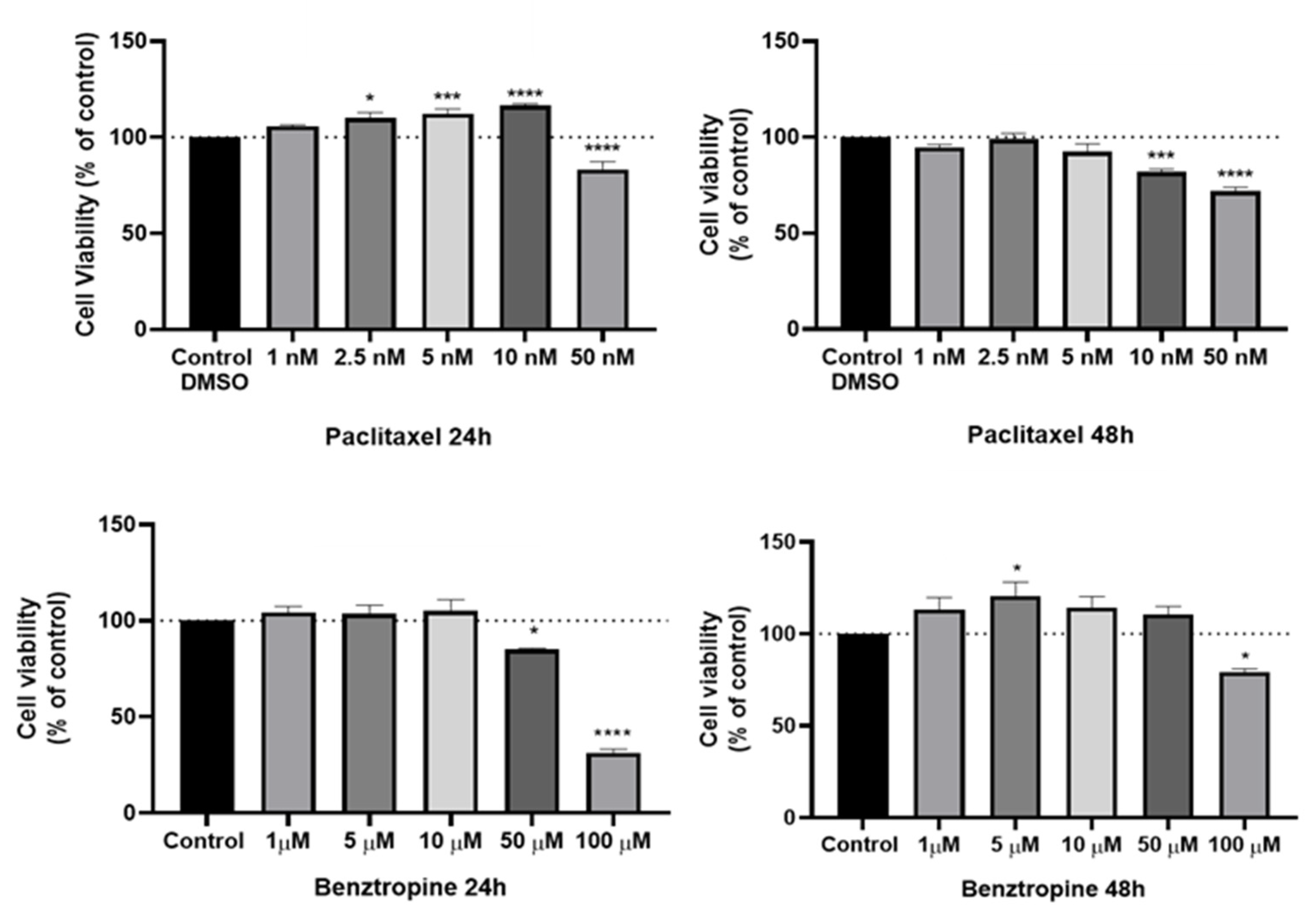
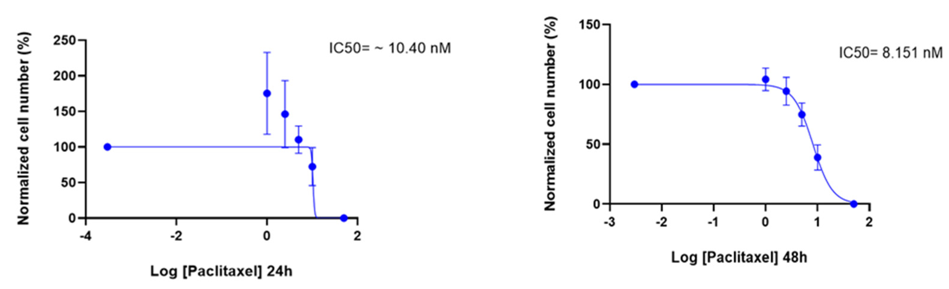
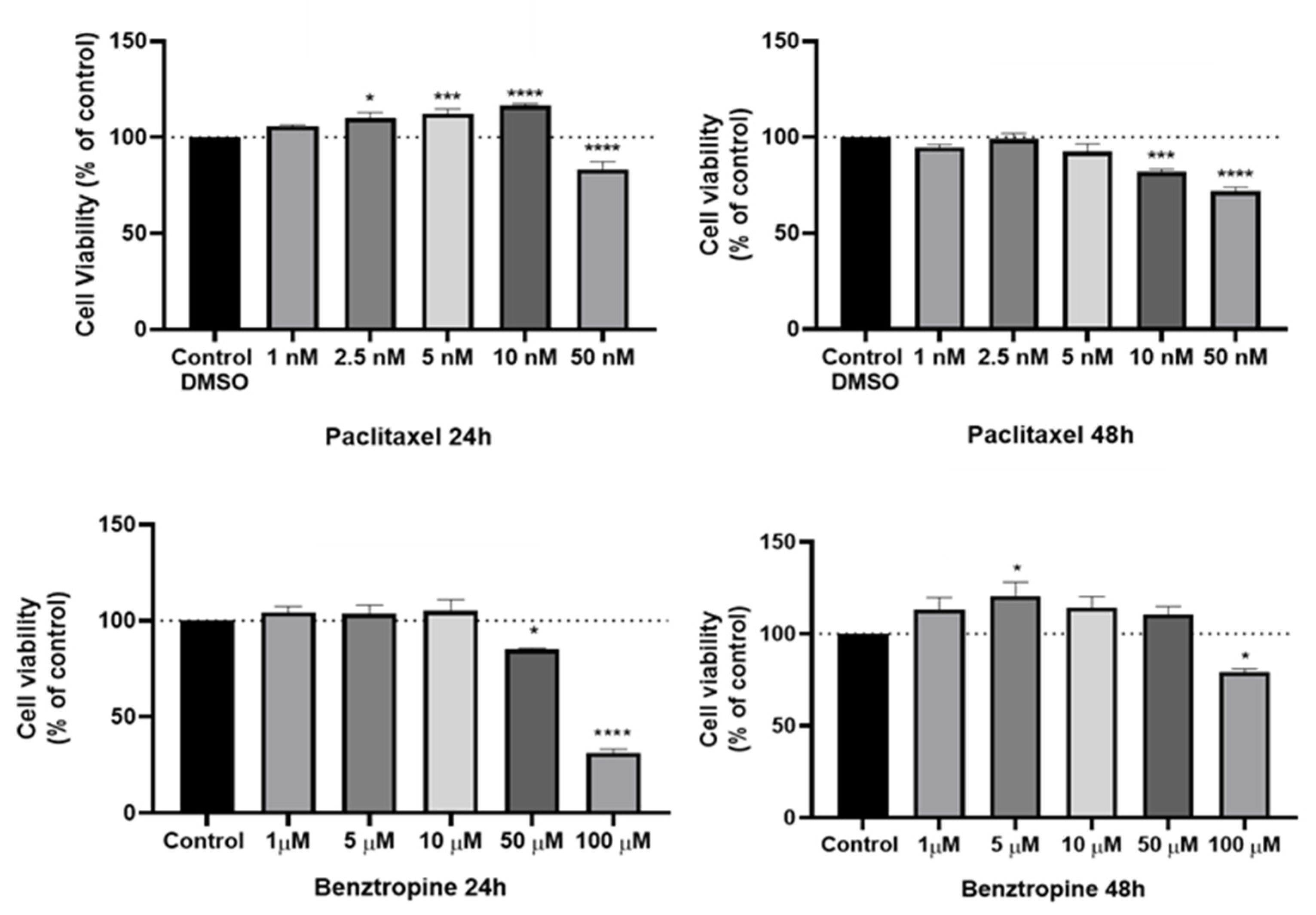
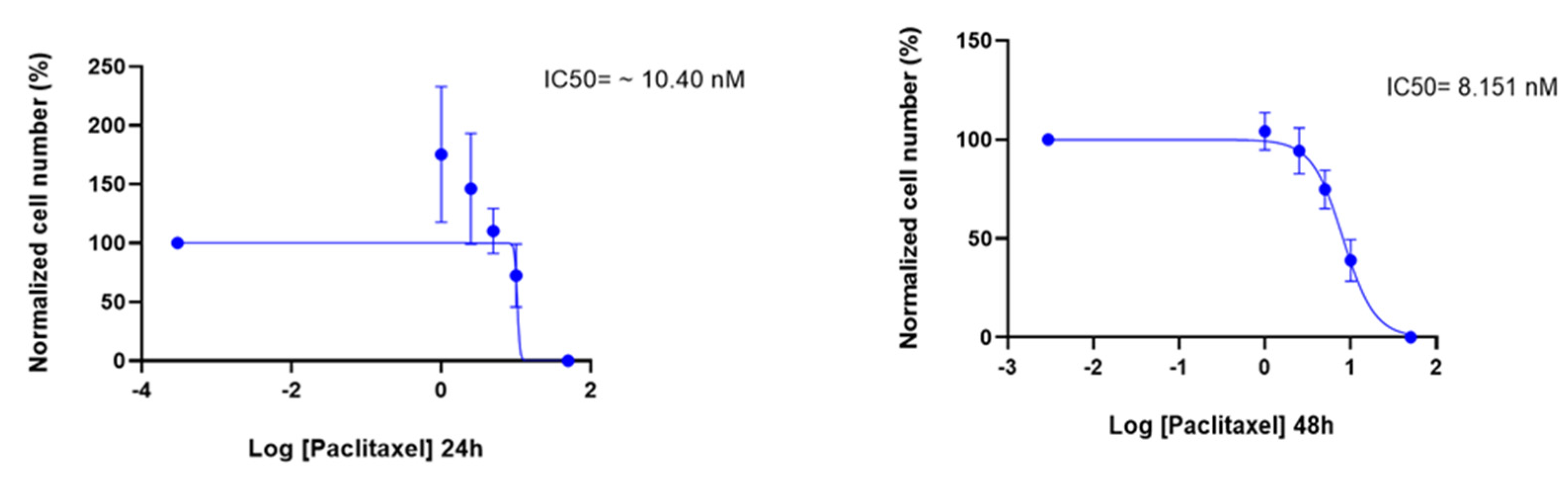
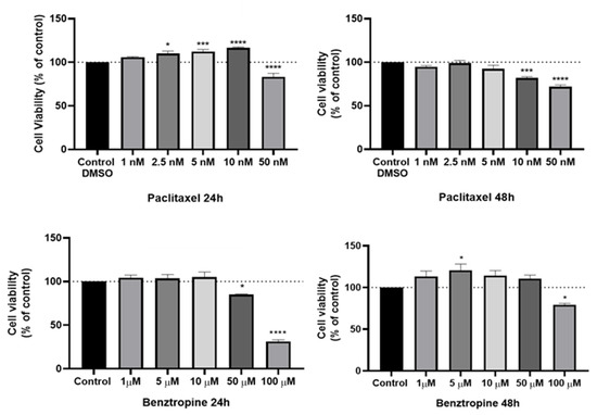
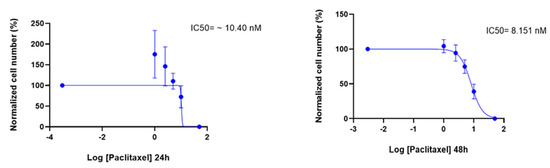
3.3. Cytotoxicity Induced by Paclitaxel Administration
3.4. Screening of the Selected Repurposed Drugs
3.4.1. Quetiapine
3.4.2. Selegiline, Rasagiline, 2-PCPA and m-CPBH
3.4.3. Thioridazine
3.4.4. Benztropine Mesylate
3.5. Combinations of the Reference and Repurposed Drugs
3.5.1. Paclitaxel and Benztropine Mesylate
3.5.2. Paclitaxel and Thioridazine
3.5.3. Synergistic Effect of Combination
3.6. LC-MS Analysis
3.7. Vimentin Expression Is Altered by Drug Administration in MCF-7 Cells
3.8. E-cadherin Expression Is Altered by Drug Administration in MCF-7 Cells
4. Discussion
4.1. Study Design
4.2. Chemotherapeutic of Reference: Paclitaxel
4.3. Screening of the Selected Repurposed Drugs
4.3.1. Thioridazine
4.3.2. Benztropine Mesylate
4.4. Combination
4.4.1. Paclitaxel and Benztropine Mesylate
4.4.2. Paclitaxel and Thioridazine
4.4.3. Synergistic Effect of Combination
4.5. LC-MS Analysis
4.6. Vimentin Expression Is Altered by Drug Administration in MCF-7 Cells
4.7. E-cadherin Expression Is Altered by Drug Administration in MCF-7 Cells
4.8. Study Considerations and Future Research
5. Conclusions
Supplementary Materials
Author Contributions
Funding
Institutional Review Board Statement
Informed Consent Statement
Data Availability Statement
Acknowledgments
Conflicts of Interest
References
- Martin, V. Overview of Paclitaxel (TAXOL®). Semin. Oncol. Nurs. 1993, 9, 2–5. [Google Scholar] [CrossRef]
- Harbeck, N.; Penault-Llorca, F.; Cortes, J.; Gnant, M.; Houssami, N.; Poortmans, P.; Ruddy, K.; Tsang, J.; Cardoso, F. Breast cancer. Nat. Rev. Dis. Prim. 2019, 5, 1–31. [Google Scholar] [CrossRef] [PubMed]
- Abu Samaan, T.M.; Samec, M.; Liskova, A.; Kubatka, P.; Büsselberg, D. Paclitaxel’s Mechanistic and Clinical Effects on Breast Cancer. Biomolecules 2019, 9, 789. [Google Scholar] [CrossRef] [PubMed]
- Marupudi, I.N.; Han, E.J.; Li, K.W.; Renard, V.M.; Tyler, B.M.; Brem, H. Paclitaxel: A review of adverse toxicities and novel delivery strategies. Expert Opin. Drug Saf. 2007, 6, 609–621. [Google Scholar] [CrossRef] [PubMed]
- Stage, T.B.; Bergmann, T.K.; Kroetz, D.L. Clinical Pharmacokinetics of Paclitaxel Monotherapy: An Updated Literature Review. Clin. Pharmacokinet. 2017, 57, 7–19. [Google Scholar] [CrossRef]
- Zaal, E.A.; Berkers, C.R. The Influence of Metabolism on Drug Response in Cancer. Front. Oncol. 2018, 8, 500. [Google Scholar] [CrossRef] [PubMed]
- Cree, I.A.; Charlton, P. Molecular chess? Hallmarks of anti-cancer drug resistance. BMC Cancer 2017, 17. [Google Scholar] [CrossRef]
- Palumbo, M.O.; Ekavan, P.; Miller, W.H.; Epanasci, L.; Eassouline, S.; Ejohnson, N.; Ecohen, V.; Epatenaude, F.; Epollak, M.; Jagoe, R.T.; et al. Systemic cancer therapy: Achievements and challenges that lie ahead. Front. Pharmacol. 2013, 4, 57. [Google Scholar] [CrossRef]
- Chakroborty, D.; Sarkar, C.; Basu, B.; Dasgupta, P.S.; Basu, S. Catecholamines Regulate Tumor Angiogenesis: Figure 1. Cancer Res. 2009, 69, 3727–3730. [Google Scholar] [CrossRef] [PubMed]
- Lu, M.; Li, J.; Luo, Z.; Zhang, S.; Xue, S.; Wang, K.; Shi, Y.; Zhang, C.; Chen, H.; Li, Z. Roles of dopamine receptors and their antagonist thioridazine in hepatoma metastasis. OncoTargets Ther. 2015, 8, 1543–1552. [Google Scholar] [CrossRef]
- Wang, S.; Mou, Z.; Ma, Y.; Li, J.; Li, J.; Ji, X.; Wu, K.; Li, L.; Lu, W.; Zhou, T. Dopamine enhances the response of sunitinib in the treatment of drug-resistant breast cancer: Involvement of eradicating cancer stem-like cells. Biochem. Pharmacol. 2015, 95, 98–109. [Google Scholar] [CrossRef] [PubMed]
- Sarkar, C.; Chakroborty, D.; Chowdhury, U.R.; Dasgupta, P.S.; Basu, S. Dopamine Increases the Efficacy of Anticancer Drugs in Breast and Colon Cancer Preclinical Models. Clin. Cancer Res. 2008, 14, 2502–2510. [Google Scholar] [CrossRef] [PubMed]
- Asada, M.; Ebihara, S.; Yamanda, S.; Niu, K.; Okazaki, T.; Sora, I.; Arai, H. Depletion of Serotonin and Selective Inhibition of 2B Receptor Suppressed Tumor Angiogenesis by Inhibiting Endothelial Nitric Oxide Synthase and Extracellular Signal-Regulated Kinase 1/2 Phosphorylation. Neoplasia 2009, 11, 408–410. [Google Scholar] [CrossRef]
- Ballou, Y.; Rivas, A.; Belmont, A.; Patel, L.; Amaya, C.N.; Lipson, S.; Khayou, T.; Dickerson, E.B.; Nahleh, Z.; Bryan, B.A. 5-HT serotonin receptors modulate mitogenic signaling and impact tumor cell viability. Mol. Clin. Oncol. 2018, 9, 243–254. [Google Scholar] [CrossRef]
- Arese, M.; Bussolino, F.; Pergolizzi, M.; Bizzozero, L.; Pascal, D. Tumor progression: The neuronal input. Ann. Transl. Med. 2018, 6, 89. [Google Scholar] [CrossRef] [PubMed]
- Peters, M.A.; Walenkamp, A.M.; Kema, I.P.; Meijer, C.; de Vries, E.; Oosting, S.F. Dopamine and serotonin regulate tumor behavior by affecting angiogenesis. Drug Resist. Updat. 2014, 17, 96–104. [Google Scholar] [CrossRef]
- Zimmermann, G.R.; Lehár, J.; Keith, C.T. Multi-target therapeutics: When the whole is greater than the sum of the parts. Drug Discov. Today 2007, 12, 34–42. [Google Scholar] [CrossRef]
- Mokhtari, R.B.; Homayouni, T.S.; Baluch, N.; Morgatskaya, E.; Kumar, S.; Das, B.; Yeger, H. Combination therapy in combating cancer. Oncotarget 2017, 8, 38022–38043. [Google Scholar] [CrossRef]
- Bahmad, H.F.; Elajami, M.K.; El Zarif, T.; Bou-Gharios, J.; Abou-Antoun, T.; Abou-Kheir, W. Drug repurposing towards targeting cancer stem cells in pediatric brain tumors. Cancer Metastasis Rev. 2020, 39, 127–148. [Google Scholar] [CrossRef]
- Tegowski, M.; Fan, C.; Baldwin, A.S. Selective Effects of Thioridazine on Self-Renewal of Basal-Like Breast Cancer Cells. Sci. Rep. 2019, 9, 1–12. [Google Scholar] [CrossRef]
- Borcherding, D.C.; Tong, W.; Hugo, E.R.; Barnard, D.F.; Fox, S.; LaSance, K.; Shaughnessy, E.; Ben-Jonathan, N. Expression and therapeutic targeting of dopamine receptor-1 (D1R) in breast cancer. Oncogene 2016, 35, 3103–3113. [Google Scholar] [CrossRef] [PubMed]
- Pottegård, A.; Lash, T.L.; Cronin-Fenton, D.; Ahern, T.P.; Damkier, P. Use of antipsychotics and risk of breast cancer: A Danish nationwide case–control study. Br. J. Clin. Pharmacol. 2018, 84, 2152–2161. [Google Scholar] [CrossRef] [PubMed]
- Fowler, J.S.; Logan, J.; Volkow, N.D.; Shumay, E.; McCall-Perez, F.; Jayne, M.; Wang, G.-J.; Alexoff, D.L.; Apelskog-Torres, K.; Hubbard, B.; et al. Evidence that formulations of the selective MAO-B inhibitor, selegiline, which bypass first-pass metabolism, also inhibit MAO-A in the human brain. Neuropsychopharmacology 2014, 40, 650–657. [Google Scholar] [CrossRef]
- Cui, J.; Hollmén, M.; Li, L.; Chen, Y.; Proulx, S.T.; Reker, D.; Schneider, G.; Detmar, M. New use of an old drug: Inhibition of breast cancer stem cells by benztropine mesylate. Oncotarget 2016, 8, 1007–1022. [Google Scholar] [CrossRef] [PubMed]
- Finberg, J.P. Pharmacology of Rasagiline, a New MAO-B Inhibitor Drug for the Treatment of Parkinson’s Disease with Neuroprotective Potential. Rambam Maimonides Med. J. 2010, 1, e0003. [Google Scholar] [CrossRef]
- Lee, H.T.; Choi, M.R.; Doh, M.S.; Jung, K.H.; Chai, Y.G. Effects of the monoamine oxidase inhibitors pargyline and tranylcypromine on cellular proliferation in human prostate cancer cells. Oncol. Rep. 2013, 30, 1587–1592. [Google Scholar] [CrossRef]
- Tuladhar, B.R.; Womack, M.D.; Naylor, R.J. Pharmacological characterization of the 5-HT receptor-mediated contraction in the mouse isolated ileum. Br. J. Pharmacol. 2000, 131, 1716–1722. [Google Scholar] [CrossRef]
- Chou, T.-C. Drug Combination Studies and Their Synergy Quantification Using the Chou-Talalay Method. Cancer Res. 2010, 70, 440–446. [Google Scholar] [CrossRef] [PubMed]
- Van Tonder, A.; Joubert, A.M.; Cromarty, A.D. Limitations of the 3-(4,5-dimethylthiazol-2-yl)-2,5-diphenyl-2H-tetrazolium bromide (MTT) assay when compared to three commonly used cell enumeration assays. BMC Res. Notes 2015, 8, 47. [Google Scholar] [CrossRef]
- Liebmann, J.; Cook, J.; Lipschultz, C.; Teague, D.; Fisher, J.; Mitchell, J. Cytotoxic studies of paclitaxel (Taxol®) in human tumour cell lines. Br. J. Cancer 1993, 68, 1104–1109. [Google Scholar] [CrossRef]
- Bai, Z.-G.; Zhang, Z.; Qu, X.; Han, W.; Ma, X. Sensitization of breast cancer cells to taxol by inhibition of taxol resistance gene 1. Oncol. Lett. 2011, 3, 135–140. [Google Scholar] [CrossRef]
- Comşa, Ş.; Cimpean, A.M.; Raica, M. The Story of MCF-7 Breast Cancer Cell Line: 40 years of Experience in Research. Anticancer Res. 2015, 35, 3147–3154. [Google Scholar]
- Niepel, M.; Hafner, M.; Chung, M.; Sorger, P.K. Measuring Cancer Drug Sensitivity and Resistance in Cultured Cells. Curr. Protoc. Chem. Biol. 2017, 9, 55–74. [Google Scholar] [CrossRef] [PubMed]
- Aslantürk, Ö.S. In Vitro Cytotoxicity and Cell Viability Assays: Principles, Advantages, and Disadvantages; IntechOpen: London, UK, 2018. [Google Scholar]
- Méry, B.; Guy, J.-B.; Vallard, A.; Espenel, S.; Ardail, D.; Rodriguez-Lafrasse, C.; Rancoule, C.; Magné, N. In Vitro Cell Death Determination for Drug Discovery: A Landscape Review of Real Issues. J. Cell Death 2017, 10. [Google Scholar] [CrossRef]
- Kuwano, M.; Akiyama, S.-I.; Shiraishi, N.; Kuratomi, Y.; Nakagawa, M. Circumvention of Multiple-Drug Resistance in Human Cancer Cells by Thioridazine, Trifluoperazine, and Chlorpromazine2. J. Natl. Cancer Inst. 1986, 76, 839–844. [Google Scholar] [CrossRef]
- Tegowski, M.; Fan, C.; Baldwin, A.S. Thioridazine inhibits self-renewal in breast cancer cells via DRD2-dependent STAT3 inhibition, but induces a G1 arrest independent of DRD2. J. Biol. Chem. 2018, 293, 15977–15990. [Google Scholar] [CrossRef]
- Sogawa, C.; Eguchi, T.; Tran, M.T.; Ishige, M.; Trin, K.; Okusha, Y.; Taha, E.A.; Lu, Y.; Kawai, H.; Sogawa, N.; et al. Antiparkinson Drug Benztropine Suppresses Tumor Growth, Circulating Tumor Cells, and Metastasis by Acting on SLC6A3/DAT and Reducing STAT3. Cancers 2020, 12, 523. [Google Scholar] [CrossRef] [PubMed]
- Cerles, O.; Gonçalves, T.C.; Chouzenoux, S.; Benoit, E.; Schmitt, A.; Saidu, N.E.B.; Kavian, N.; Chéreau, C.; Gobeaux, C.; Weill, B.; et al. Preventive action of benztropine on platinum-induced peripheral neuropathies and tumor growth. Acta Neuropathol. Commun. 2019, 7, 9. [Google Scholar] [CrossRef]
- Luo, L.; Jin, X.; Zou, B.; Zhong, C.; Zhang, P.; Cheng, H.; Guo, Y.; Gou, M. Codelivery of thioridazine and doxorubicin using nanoparticles for effective breast cancer therapy. Int. J. Nanomed. 2016, 11, 4545–4552. [Google Scholar] [CrossRef] [PubMed]
- Chou, T.-C. The mass-action law based algorithm for cost-effective approach for cancer drug discovery and development. Am. J. Cancer Res. 2011, 1, 925–954. [Google Scholar]
- Mendez, M.; Kojima, S.; Goldman, R.D. Vimentin induces changes in cell shape, motility, and adhesion during the epithelial to mesenchymal transition. FASEB J. 2010, 24, 1838–1851. [Google Scholar] [CrossRef] [PubMed]
- Sommers, C.L.; Heckford, S.E.; Skerker, J.M.; Worland, P.; Torri, J.A.; Thompson, E.W.; Byers, S.W.; Gelmann, E.P. Loss of epithelial markers and acquisition of vimentin expression in adri-amycin- and vinblastine-resistant human breast cancer cell lines. Cancer Res. 1992, 52, 5190–5197. [Google Scholar] [PubMed]
- Yap, T.A.; Omlin, A.; De Bono, J.S. Development of Therapeutic Combinations Targeting Major Cancer Signaling Pathways. J. Clin. Oncol. 2013, 31, 1592–1605. [Google Scholar] [CrossRef] [PubMed]






















| Drug | Main Indication | Mode of Action (Dopamine Receptor) | Mode of Action (Serotonin Receptor) | References |
|---|---|---|---|---|
| Thioridazine | Schizophrenia | D1 and D2 receptors | [20] | |
| Quetiapine | Schizophrenia | D2 antagonist | 5-HT2 antagonist | [21,22] |
| Selegiline | Parkinson’s disease | An irreversible inhibitor of Monoamine Oxidase B (MAO-B) | [23] | |
| Benztropine | Parkinson’s disease | Dopamine reuptake inhibitor | [24] | |
| Rasagiline | Parkinson’s disease | Selective and irreversible MAO-B inhibitor | [25] | |
| 2-PCPA | Antidepressant | Monoamine oxidase inhibitor | [26] | |
| m-CPBH | Emetic effect | Potent and selective 5-HT3 agonist | [27] |
| Dose of Paclitaxel | Dose of Benztropine | Dose of Thioridazine | Effect | CI | |
|---|---|---|---|---|---|
| 8.5 nM | 15.84 µM | 0.7434 | 0.73380 | Synergistic (CI < 1) | |
| 8.5 nM | 100 µM | 0.915 | 0.86588 | ||
| 8.5 nM | 6.87 µM | 0.7851 | 0.56480 | ||
| 8.5 nM | 100 µM | 0.8681 | 1.75170 | Antagonistic (CI > 1) |
Publisher’s Note: MDPI stays neutral with regard to jurisdictional claims in published maps and institutional affiliations. |
© 2021 by the authors. Licensee MDPI, Basel, Switzerland. This article is an open access article distributed under the terms and conditions of the Creative Commons Attribution (CC BY) license (https://creativecommons.org/licenses/by/4.0/).
Share and Cite
Costa, B.; Matos, R.; Amorim, I.; Gärtner, F.; Vale, N. New Insight into Breast Cancer Cells Involving Drug Combinations for Dopamine and Serotonin Receptors. Appl. Sci. 2021, 11, 6082. https://doi.org/10.3390/app11136082
Costa B, Matos R, Amorim I, Gärtner F, Vale N. New Insight into Breast Cancer Cells Involving Drug Combinations for Dopamine and Serotonin Receptors. Applied Sciences. 2021; 11(13):6082. https://doi.org/10.3390/app11136082
Chicago/Turabian StyleCosta, Bárbara, Rita Matos, Irina Amorim, Fátima Gärtner, and Nuno Vale. 2021. "New Insight into Breast Cancer Cells Involving Drug Combinations for Dopamine and Serotonin Receptors" Applied Sciences 11, no. 13: 6082. https://doi.org/10.3390/app11136082
APA StyleCosta, B., Matos, R., Amorim, I., Gärtner, F., & Vale, N. (2021). New Insight into Breast Cancer Cells Involving Drug Combinations for Dopamine and Serotonin Receptors. Applied Sciences, 11(13), 6082. https://doi.org/10.3390/app11136082

