Modeling the Dynamics of Two Cooperating Robots
Abstract
1. Introduction
2. Description of the Kinematics of Two Robots in the Beam Transport Task
3. Description of the Dynamics of Two Robots Transporting a Beam
4. Description of Robot Formation Dynamics in Controllable Coordinates
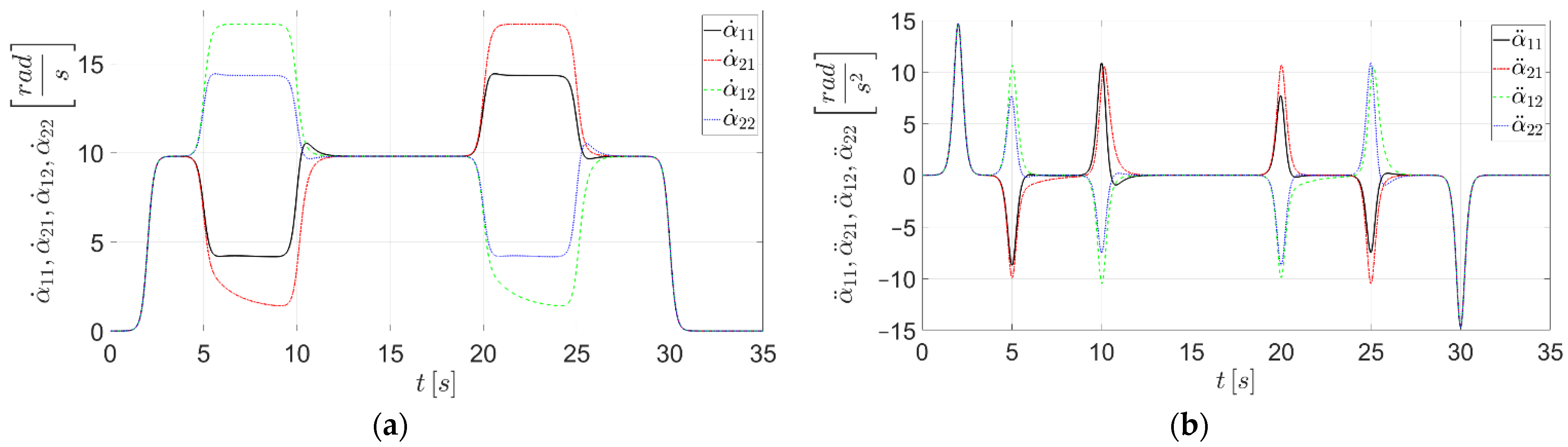
5. Simulation of the Obtained Solution
6. Conclusions
Author Contributions
Funding
Institutional Review Board Statement
Informed Consent Statement
Conflicts of Interest
References
- Zieliński, C.; Trojanek, P. Stigmergic cooperation of autonomous robots. Mech. Mach. Theory 2009, 44, 656–670. [Google Scholar] [CrossRef]
- Miyata, N.; Ota, J.; Arai, T.; Asama, H. Cooperative transport by multiple mobile robots in unknown static environments associated with real-time task assignment. IEEE Trans. Robot. Autom. 2002, 18, 769–780. [Google Scholar] [CrossRef]
- Esposito, J.; Feemster, M.; Smith, E. Cooperative manipulation on the water using a swarm of autonomous tugboats. In Proceedings of the 2008 IEEE International Conference on Robotics and Automation, Pasadena, CA, USA, 19–23 May 2008; IEEE: Piscataway, NJ, USA, 2008; pp. 1501–1506. [Google Scholar]
- Kosuge, K.; Oosumi, T.; Satou, M.; Chiba, K.; Takeo, K. Transportation of a single object by two decentralized-controlled nonholonomic mobile robots. In Proceedings of the 1998 IEEE International Conference on Robotics and Automation (Cat. No.98CH36146), Leuven, Belgium, 20 May 1998; IEEE Xplore: Piscataway, NJ, USA, 2002; pp. 2989–2994. [Google Scholar]
- Wang, Z.D.; Nakano, E.; Matsukawa, T. Cooperating Multiple Behavior-Based Robots for Object Manipulation. In Distributed Autonomous Robotic Systems; Springer: Tokyo, Japan, 1994; pp. 371–382. [Google Scholar]
- Khatib, O.; Yokoi, K.; Chang, K.; Ruspini, D.; Holmberg, R.; Casal, A. Vehicle/arm coordination and multiple mobile manipulator decentralized cooperation. In Proceedings of the IEEE/RSJ International Conference on Intelligent Robots and Systems, IROS’96, Osaka, Japan, 8 November 1996; IEEE Xplore: Piscataway, NJ, USA, 2002; pp. 546–553. [Google Scholar]
- Humberstone, C.K.; Smith, K.B. Object Transport Using Multiple Mobile Robots with Pin Joint Endeffectors. Distrib. Auton. Robot. Syst. 2000, 4, 417–426. [Google Scholar]
- Stilwell, D.J.; Bay, J.S. Toward the development of a material transport system using swarms of ant-like robots. In Proceedings of the IEEE International Conference on Robotics and Automation, Atlanta, GA, USA, 2–6 May 1993; IEEE Xplore: Piscataway, NJ, USA, 2002; pp. 766–771. [Google Scholar]
- Schenker, P.S.; Huntsberger, T.L.; Pirjanian, P.; Trebi-Ollennu, A.; Das, H.; Joshi, S.S.; Aghaz-Arian, H.; Ganino, A.J.; Kennedy, B.A.; Garrett, M.S. Robot work crews for planetary outposts: Close cooperation and coordination of multiple mobile robots. Sens. Fusion Decentralized Control Robot. Syst. III 2000, 4196, 210–220. [Google Scholar]
- Qian, S.; Zi, B.; Shang, W.W.; Xu, Q.S. A Review on Cable-driven Parallel Robots. Chin. J. Mech. Eng. 2018, 31, 66. [Google Scholar] [CrossRef]
- Zhou, X.; Tang, C.P.; Krovi, V. Analysis framework for cooperating mobile cable robots. In Proceedings of the 2012 IEEE International Conference on Robotics and Automation, Saint Paul, MN, USA, 14–18 May 2012; IEEE Xplore: Piscataway, NJ, USA, 2012; pp. 3128–3133. [Google Scholar]
- Jiang, Q.; Kumar, V. The Inverse Kinematics of Cooperative Transport with Multiple Aerial Robots. IEEE Trans. Robot. 2013, 29, 136–145. [Google Scholar] [CrossRef]
- Hendzel, Z.; Rykała, Ł. Opis kinematyki mobilnego robota kołowego z kołami typu mecanum. Modelowanie Inżynierskie 2015, 26, 5–12. [Google Scholar]
- Klačnar, G.; Škrjanc, I. Tracking-error model-based predictive control for mobile robots in real time. Robot. Auton. Syst. 2007, 55, 460–469. [Google Scholar] [CrossRef]
- Tanner, H.G.; Kyriakopoulos, K.J. Mobile manipulator modeling with Kane’s approach. Robotica 2001, 19, 675–690. [Google Scholar] [CrossRef][Green Version]
- Alipour, K.; Robat, A.B.; Tarvirdizadeh, B. Dynamics modeling and sliding mode control of tractor-trailer wheeled mobile robots subject to wheels slip. Mech. Mach. Theory 2019, 138, 16–37. [Google Scholar] [CrossRef]
- Kassaeiyan, P.; Tarvirdizadeh, B.; Alipour, K. Control of tractor-trailer wheeled robots considering self-collision effect and actuator saturation limitations. Mech. Syst. Signal Process. 2019, 127, 388–411. [Google Scholar] [CrossRef]
- Abbaspour, A.; Alipour, K.; Jafari, H.Z.; Moosavian, S.A.A. Optimal formation and control of cooperative wheeled mobile robots. C. R. Mécanique 2015, 343, 307–321. [Google Scholar] [CrossRef]
- Dhaouadi, R.; Hatab, A.A. Dynamic modelling of differential-drive mobile robots using lagrange and Newton-Euler methodologies: A unified framework. Adv. Robot. Autom. 2013, 2, 1–7. [Google Scholar]
- Thanjavur, K.; Rajagopalan, R. Ease of dynamic modelling of wheeled mobile robots (WMRs) using Kane’s approach. In Proceedings of the International Conference on Robotics and Automation, Albuquerque, NM, USA, 25 April 1997; IEEE: Piscataway, NJ, USA, 2002; pp. 2926–2931. [Google Scholar]
- Yun, X.; Sarkar, N. Unified formulation of robotic systems with holonomic and nonholonomic constraints. IEEE Trans. Robot. Autom. 1998, 14, 640–650. [Google Scholar]
- Motte, I.; Campion, H. Control of sliding mobile robots: A slow manifold approach. In Proceedings of the Fourth Symposium on Mathematical Theory of Networks and Systems (MTNS 2000), Perpignan, France, 19–23 June 2000. [Google Scholar]
- Yi, J.; Song, D.; Zhang, J.; Goodwin, Z. Adaptive trajectory tracking control of skid-steered mobile robots. In Proceedings of the 2007 IEEE International Conference on Robotics and Automation, Rome, Italy, 10–14 April 2007; IEEE Xplore: Piscataway, NJ, USA, 2007; pp. 2605–2610. [Google Scholar]
- Wang, D.; Low, C.B. Modeling and analysis of skidding and slipping in wheeled mobile robots: Control design perspective. IEEE Trans. Robot. 2008, 24, 676–687. [Google Scholar] [CrossRef]
- Yoo, S.J. Approximation-based adaptive control for a class of mobile robots with unknown skidding and slipping. Int. J. Control Autom. Syst. 2012, 10, 703–710. [Google Scholar] [CrossRef]
- Mohammadpour, E.; Naraghi, M. Robust adaptive stabilization of skid steer wheeled mobile robots considering slipping effects. Adv. Robot. 2011, 25, 205–227. [Google Scholar] [CrossRef]
- Lucet, E.; Lenain, R.; Grand, C. Dynamic path tracking control of a vehicle on slippery terrain. Control Eng. Pract. 2015, 42, 60–73. [Google Scholar] [CrossRef]
- Hoang, N.B.; Kang, H.J. Neural network-based adaptive tracking control of mobile robots in the presence of wheel slip and external disturbance force. Neurocomputing 2016, 188, 12–22. [Google Scholar] [CrossRef]
- Hendzel, Z.; Szuster, M.; Burghardt, A. Fuzzy Sensor-Based Navigation with Neural Tracking Control of the Wheeled Mobile Robot. In Proceedings of the International Conference on Artificial Intelligence and Soft Computing, Zakopane, Poland, 1–5 June 2014; Springer: Berlin/Heidelberg, Germany, 2014; Volume 8468, pp. 302–313. [Google Scholar]
- Hendzel, Z.; Burghardt, A.; Szuster, M. Adaptive Critic Designs in Control of Robots Formation in Unknown Environment. In Proceedings of the International Conference on Artificial Intelligence and Soft Computing, Zakpane, Poland, 9–13 June 2013; Rutkowski, L., Korytkowski, M., Scherer, R., Tadeusiewicz, R., Zadeh, L.A., Zurada, J.M., Eds.; Springer: Berlin/Heidelberg, Germany, 2013; pp. 351–362. [Google Scholar]
- Burghardt, A.; Szuster, M.; Hendzel, Z. Artificial Intelligence Algorithms in Behavioural Control of Wheeled Mobile Robots Formation. In Proceedings of the International Joint Conference, IJCCI, Barcelona, Spain, 5–7 October 2012; Madani, K., Correia, A.D., Rosa, A., Filipe, J., Eds.; Springer: Berlin/Heidelberg, Germany, 2015; Volume 577, pp. 263–277. [Google Scholar]
- Burghardt, A.; Hendzel, Z.; Szuster, M. Artificial Intelligence Methods in Reactive Navigation of Mobile Robots Formation, IJCCI 2012. In Proceedings of the 4th International Joint Conference on Computational Intelligence, Barcelona, Spain, 5–7 October 2012; pp. 466–473. [Google Scholar]
- Burghardt, A. Proposal for a rapid prototyping environment for algorithms intended for autonomous mobile robot control. Mech. Mech. Eng. 2008, 12, 5–16. [Google Scholar]






Publisher’s Note: MDPI stays neutral with regard to jurisdictional claims in published maps and institutional affiliations. |
© 2021 by the authors. Licensee MDPI, Basel, Switzerland. This article is an open access article distributed under the terms and conditions of the Creative Commons Attribution (CC BY) license (https://creativecommons.org/licenses/by/4.0/).
Share and Cite
Burghardt, A.; Skwarek, W. Modeling the Dynamics of Two Cooperating Robots. Appl. Sci. 2021, 11, 6019. https://doi.org/10.3390/app11136019
Burghardt A, Skwarek W. Modeling the Dynamics of Two Cooperating Robots. Applied Sciences. 2021; 11(13):6019. https://doi.org/10.3390/app11136019
Chicago/Turabian StyleBurghardt, Andrzej, and Wincenty Skwarek. 2021. "Modeling the Dynamics of Two Cooperating Robots" Applied Sciences 11, no. 13: 6019. https://doi.org/10.3390/app11136019
APA StyleBurghardt, A., & Skwarek, W. (2021). Modeling the Dynamics of Two Cooperating Robots. Applied Sciences, 11(13), 6019. https://doi.org/10.3390/app11136019
