Application of Machine Learning Algorithms to Predict the Effectiveness of Radial Jet Drilling Technology in Various Geological Conditions
Abstract
:1. Introduction
2. Materials and Methods
2.1. Analysis of the Efficiency of Radial Jet Drilling Technology at the Perm Territory Oil Fields
2.2. Analysis of the Current RJD Efficiency Forecasting Methods
2.3. Brief Description of the Reservoirs
2.4. Assessing the Influence of the Geological and Physical Properties of the Reservoir on the RJD Efficiency
- For the Fm site, the main influence on the efficiency is from the conductivity and permeability of the reservoir farfield, piezoconductivity, oil saturation, and oil-saturation thickness. At higher values of the said parameters, better efficiency of RJD should be expected. Moreover, if the bottom hole zone (BHZ) is deteriorated (positive skin factor value), the well intervention is more effective due to the use of the well potential during the BHZ cleaning.
- In the wells operating the T reservoir, the greatest efficiency is achieved at the higher viscosity and density of the oil and higher energy potential of the reservoir (reservoir and bottom-hole pressure). Poor BHZ condition improves the efficiency of the technology.
- For the Bsh site, the success of RJD was mostly due to the higher values of interval quantity, sand content and net pay reservoir thickness, the relatively contaminated BHZ (skin factor, BHZ permeability), the higher values of bottom-hole pressure, saturation pressure, piezoconductivity, BHZ, and farfield hydroconductivity, but the effect duration was longer with poorer oil viscosity and, consequently, poorer hydroconductivity.
- For all the sites, there is the influence of the skin factor value, oil production rate before RJD, reservoir oil saturation, and reservoir energy (bottom-hole and reservoir pressures).
2.5. Development of the Integrated RJD Efficiency Forecasting Method
3. Results
4. Discussion
5. Conclusions
- The efficiency of radial jet drilling in Russian and foreign oil fields was analyzed.
- The industrial survey data on radial jet drilling in different wells were analyzed and systematized. For different carbonate sites of the Perm Territory oil fields, the geological, physical, and technological parameters, influencing the effectiveness of radial jet drilling, were determined.
- Machine learning models have been developed to predict post-RJD fluid rates for candidate wells. It can be noted that the quality of the forecast has improved according to the standard statistical method used in the fields of the Perm Territory. The R-squared obtained for MLP is suitable for well stimulation prediction tasks.
- The integrated method of forecasting the incremental production rate due to RJD was developed and tested. It should be noted that with an accurate forecast of the liquid production rate after RJD, the forecast of increased oil production total on the reservoir simulation model turns out to be very accurate (relative error less than 11%).
Author Contributions
Funding
Institutional Review Board Statement
Informed Consent Statement
Data Availability Statement
Acknowledgments
Conflicts of Interest
References
- Zotikov, V.I.; Kochnev, A.A.; Galkin, S.V. Analysis of the influence of geological technological parameters on the effectiveness of radial drilling technology on the example of operational objects in Perm region. Bull. Tomsk Polytech. Univ. Geo Аssets Eng. 2018, 329, 20–29. [Google Scholar]
- Chi, H.; Li, G.; Huang, Z.; Tian, S.; Song, X. Maximum drillable length of the radial horizontal micro-hole drilled with multiple high-pressure water jets. J. Nat. Gas Sci. Eng. 2015, 26, 1042–1049. [Google Scholar] [CrossRef]
- Brantson, T.; Ju, B.; Yang, Y.; Chi, J. A numerical simulator developed for modeling permeability control for enhanced oil recovery. J. Pet. Sci. Eng. 2017, 159, 360–375. [Google Scholar]
- Ivanov, V.A. Development system of low-productivity zonal-heterogeneous oil reservoir. Oilfield Eng. 2012, 8, 5–11. [Google Scholar]
- Cinelli, S.D.; Ahmed, H. Kamel Novel Technique to Drill Horizontal Laterals Revitalizes Aging Field. In Proceedings of the SPE/IADC Drilling Conference, Amsterdam, The Netherlands, 5–7 March 2013. [Google Scholar] [CrossRef]
- Ibeh, S.; Obah, B.; Chibueze, S. Investigating the Application of Radial Drilling Technique for Improved Recovery in Mature Niger Delta Oil Fields. In Proceedings of the SPE Nigeria Annual International Conference and Exhibition, Lagos, Nigeria, 31 July–2 August 2017. SPE-189137-MS. [Google Scholar]
- Abdel-Ghany, M.A.; Siso, S.; Hassan, A.M.; Pierpaolo, P.; Roberto, C. New Technology Application, Radial Drilling Petrobel, First Well in Egypt. In Proceedings of the 10th Offshore Mediterranean Conference and Exhibition (OMC), Ravenna, Italy, 23–25 March 2011. [Google Scholar]
- Jain, D.; Maut, P.P.; Saharia, P.; Dutta, R.; Yomdo, S. Oil field radial jet drilling in mature fields of oil India limited- an experimental approach. In Proceedings of the SPE Oil and Gas India Conference and Exhibition, Mumbai, India, 4–6 April 2017. [Google Scholar]
- Ahmed, K. RJD: A Cost Effective Frackless Solution for Production Enhancement in Marginal Fields. In Proceedings of the SPE Eastern Regional Meeting, Canton, OH, USA, 13 September 2016; University of Texas of the Permian Basin: Odessa, TX, USA, 2016. [Google Scholar]
- Dickinson, W.; Dickinson, R.; Nees, J.; Dickinson, E.; Dykstra, H. Field production results with the ultrashort radius radial system in unconsolidated sandstone formations. In Proceedings of the 5th UNITAR International Conference on Heavy Crude and Tar Sands, Caracas, Venezuela, 4–9 August 1991; Volume II, pp. 307–326. [Google Scholar]
- Dickinson, W.; Dykstra, H.; Nordlund, R. Coiled-Tubing Radials Placed by Water-Jet Drilling: Field Results, Theory, and Practice. In Proceedings of the SPE Annual Technical Conference and Exhibition, Houston, TX, USA, 1 January 1993. [Google Scholar]
- Dickinson, W.; Dickinson, R. Horizontal radial drilling system. SPE 1985, 13949, 36–39. [Google Scholar]
- Pavelieva, O.N.; Popova, Z.S. Analysis of the effectiveness of application of advanced deep-radial channel drilling technology at the Vakhitovskoye deposit. In Geology and Oil and Gas Content of the West Siberian Megabasin (Experience, Innovations). Materials of the Tenth International Scientific and Technical Conference (Dedicated to the 60 Anniversary of the Tyumen Industrial University); Tyumen Industrial University: Tymen, Russian, 2016; pp. 112–115. [Google Scholar]
- Ilyushin, P.Y.; Rakhimzyanov, R.M.; Solovyov, D.Y.; Kolychev, I.Y. Analysis of geological and technical measures to increase the productivity of producing wells in the oil fields of the Perm region. Vestnik Permskogo natsional’nogo issledovatel’skogo politekhnicheskogo universiteta.Geologiya. Neftegazovoe i gornoe delo Perm. J. Pet. Min. Eng. 2015, 14, 81–89. [Google Scholar]
- Demyanenko, N.; Serebrennikov, A.; Povzhik, P.; Galai, M.; Tretyakov, D.; Klochkov, S. Drilling deep radial channels. Opening of productive strata of low-permeability reservoirs. Oil Gas J. 2016, 7, 52–56. [Google Scholar]
- Raspopov, A.V.; Novokreshchennykh, D.V. Analysis of the results of the application of intensification methods on carbonate reservoirs of Perm Krai deposits. Vestnik Permskogo natsional’nogo issledovatel’skogo politekhnicheskogo universiteta. Geol. Neftegazov. Gorn. Delo. 2014, 13, 73–82. (In Russian) [Google Scholar]
- Novokreshchenny, D.V.; Raspopov, A.V. Perspectives of development of technologies of radial opening of a layer on deposits of the Perm edge. Oil Ind. 2014, 3, 54–57. [Google Scholar]
- Gladkikh, E.A.; Galkin, V.I.; Khizhniak, G. Estimation method of oil displacement efficiency based on standard core analysis. In Proceedings of the International Conference Actual Issues of Mechanical Engineering (AIME 2017), Tomsk, Russia, 27–29 July 2017; Volume 133, pp. 240–247. [Google Scholar]
- Repina, V.; Galkin, V.; Galkin, S. Complex Petrophysical Correction in the Adaptation of Geological Hydrodynamic Models (on the example of visean pool of gondyrev oil field). J. Min. Inst. 2018, 231, 268–274. [Google Scholar]
- Lyadova, N.A.; Yu, A.; Yakovlev, A.V.; Raspopov, M. Geology and development of oil fields in the Perm region. JSC VNIIOENG 2010, 335, 8. [Google Scholar]
- Andronov, Y.V.; Strekalov, A.V. Choice of variables for neural network training for predicting the efficiency of formation hydraulic fracturing. Dev. Oil Gas Fields 2014, 12, 3. [Google Scholar]
- Galkin, V.I.; Ponomareva, I.N. Study of reservoir properties fractured-porous reservoirs of Tournasian-Famennian objects in the oil fields of Solikamskaia depression. OIJ 2016, 2016, 88–91. (In Russian) [Google Scholar]
- Galkin, S.V.; Efimov, A.A.; Krivoshchekov, S.N.; Savitskiy, Y.V.; Cherepanov, S.S. X-ray tomography in petrophysical studies of core samples from oil and gas fields. Russ. Geol. Geophys. 2015, 5, 782–792. [Google Scholar] [CrossRef]
- Kochnev, A.A.; Galkin, S.V. Modeling a hydromonitor drilling by predicting the direction of the radial channel taking into account the stress state of the rock mass. In Proceedings of the Volume 2216: 28th Russian Conference on Mathematical Modelling in Natural Sciences, Perm, Russia, 2–5 October 2019. [Google Scholar]
- Galkin, S.V.; Kochnev, A.A.; Zotikov, V.I. Estimate of Radial Drilling Technology Efficiency for the Bashkir Operational Oilfields Objects of Perm Krai. J. Min. Inst. 2019, 238, 410–414. [Google Scholar] [CrossRef]
- Koltyrin, A.N. Improving the efficiency of hydraulic fracturing technology on a carbonate reservoir. Oilfield Eng. 2016, 10, 29–32. [Google Scholar]






| Geological and Technological Parameters | Abbr., Units |
|---|---|
| Average general thickness | Ho, m |
| Average oil-saturated thickness | hoil, m |
| Porosity | 𝜙, % |
| Average initial oil saturation | Koil, unit fractions |
| Permeability GPFP | kgpfp, µm2 |
| Net-to-gross sand ratio | NTG, unit fractions |
| Compartmentalization | Kcomp, units |
| Average oil dynamic viscosity in the formation conditions | µ, mPa·s |
| Oil density in the formation conditions | ƍoil, g/cm3 |
| Formation volume factor | Bo, bbls/stb |
| Paraffin content | PC, % |
| Average gas-oil ratio | GOR, m3/m3 |
| Bottom hole zone (BHZ) hydroconductivity | εbhz, µm2·cm/(mPa·s) |
| Farfield hydroconductivity | εfarfield, µm2·cm/(mPa·s) |
| Bottom hole zone (BHZ) permeability coefficient | kbhz, µm2 |
| Farfield permeability factor | kfarfield, µm2 |
| Piezoconductivity | χ, cm2·s |
| Reservoir pressure | Рres, MPa |
| Bottom-hole pressure | Рbh, MPa |
| Bubble pressure | Рb, MPa |
| Well skin factor | S |
| Total reservoir thickness GWSIR | Htotal, m |
| Average thickness of an oil-saturated interlayer GWSIR | hav, m |
| Net pay thickness GWSIR | Нpay, m |
| Oil-saturated reservoir thickness GWSIR | hsat., m |
| Oil saturation factor GWSIR | Ksat., unit fractions |
| Porosity GWSIR | 𝜙GWSIR, % |
| Permeability GWSIR | KGWSIR, µm2 |
| Oil production rate before the operation | qoil, barrels/day |
| Liquid production rate before the operation | qliq, m3/day |
| Compartmentalization for oil layers | Kcomp(oil), units |
| Efficiency Parameters | |
| Maximum oil production rate after RJD | barrels/day |
| Effect duration | days |
| Average daily oil production rate increment | barrels/day |
| Incremental oil production total | barrels |
| Incremental Oil Production Total, Barrels | <16,023 | >16,023 | t-Test | p | N1 | N2 | R |
|---|---|---|---|---|---|---|---|
| µ, mPa·s | 16.6 | 20.2 | −2.0 | 0.04 | 275 | 271 | −0.31 |
| G, m3/m3 | 42.2 | 36.6 | 1.9 | 0.05 | 274 | 271 | 0.13 |
| εbhz, µm2·cm/(mPa·s) | 1.2 | 2.0 | −2.3 | <0.01 | 171 | 171 | 0.17 |
| χ, cm2·s; | 120.5 | 213.0 | −1.8 | 0.07 | 171 | 171 | 0.19 |
| Рbh, MPa | 4.5 | 5.2 | −2.4 | 0.02 | 171 | 171 | 0.14 |
| skin factor S | −2.8 | −1.7 | −3.1 | <0.01 | 171 | 171 | 0.12 |
| εbhz, µm2·cm/(mPa·s) | 1.2 | 2.0 | −2.3 | <0.01 | 171 | 171 | 0.11 |
| Ksat, unit fractions | 69.0 | 73.8 | −2.25 | 0.02 | 200 | 197 | 0.14 |
| Oil production rate increment, barrels/day | <19.6 | >19.6 | t-test | p | N1 | N2 | R |
| Koil, unit fractions | 0.741 | 0.754 | −2.7 | <0.01 | 278 | 256 | 0.11 |
| Kperm, µm2 | 6.5 | 7.3 | −2.2 | 0.02 | 279 | 261 | 0.12 |
| Рsat, MPa | 9.0 | 9.5 | −2.8 | <0.01 | 279 | 260 | 0.08 |
| εfarfield, µm2·cm/mPa·s | 0.9 | 2.3 | −3.6 | <0.01 | 177 | 165 | 0.31 |
| kfarfield, µm2 | 0.027 | 0.061 | −1.9 | 0.06 | 176 | 163 | 0.15 |
| χ, cm2·s; | 86.9 | 252.4 | −3.2 | <0.01 | 177 | 165 | 0.29 |
| Рres, MPa | 10.3 | 11.2 | −2.5 | 0.01 | 177 | 164 | 0.25 |
| Рbh, MPa | 4.2 | 5.6 | −5.1 | <0.01 | 177 | 165 | 0.27 |
| skin factor S | −2.8 | −1.7 | −3.4 | <0.01 | 177 | 165 | 0.21 |
| Нsat, m | 7.4 | 8.3 | −2.06 | 0.04 | 203 | 190 | 0.22 |
| RJD effect duration, days | <870 | >870 | t-test | p | N1 | N2 | R |
| 𝜙, % | 13.7 | 14.1 | −2.1 | 0.03 | 264 | 270 | 0.11 |
| NTG, unit fractions | 0.3 | 0.4 | −2.0 | 0.04 | 269 | 277 | 0.13 |
| Bo, bbls/stb | 1.1 | 1.3 | 2.0 | 0.04 | 269 | 277 | −0.07 |
| kbhz, µm2 | 0.068 | 0.039 | 1.8 | 0.07 | 66 | 73 | 0.13 |
| Рbh, MPa | 10.3 | 11.1 | −2.0 | 0.04 | 169 | 172 | 0.13 |
| skin factor S | −2.6 | −1.8 | −2.2 | 0.02 | 170 | 172 | 0.18 |
| Maximum oil production rate after RJD, barrels/day | <72.8 | >72.8 | t-test | p | N1 | N2 | R |
| hoil, m | 5.8 | 7.8 | −4.1 | <0.01 | 281 | 261 | 0.23 |
| Kperm, µm2 | 6.3 | 7.6 | −3.6 | <0.01 | 283 | 263 | 0.11 |
| εfarfield, µm2·cm/mPa·s | 0.9 | 2.2 | −3.5 | <0.01 | 161 | 181 | 0.31 |
| χ, cm2·s; | 86.3 | 238.4 | −2.9 | <0.01 | 161 | 141 | 0.27 |
| Рres, MPa | 10.3 | 11.1 | −2.0 | 0.04 | 161 | 181 | 0.09 |
| Рbh, MPa | 4.2 | 5.4 | −4.5 | <0.01 | 161 | 180 | 0.3 |
| Нpay | 9.0 | 10.4 | −2.52 | 0.01 | 187 | 181 | 0.18 |
| Нsat, m | 7.1 | 8.5 | −3.19 | <0.01 | 186 | 206 | 0.22 |
| Kcomp, units | 7.6 | 9.4 | −3.24 | <0.01 | 186 | 206 | 0.07 |
| Kcomp(oil), units | 9.3 | 11.1 | −2.79 | 0.01 | 186 | 206 | 0.08 |
| Architecture | Training Productivity | Test Productivity | Learning Algorithm | Error Function | Active Hidden Neuron Function | Active Output Neuron Function |
|---|---|---|---|---|---|---|
| MLP 17-5-1 | 0.819 | 0.814 | BFGS 27 | Sum of squares | Hyperbolic | Identical |
| MLP 17-5-1 | 0.772 | 0.767 | BFGS 17 | Sum of squares | Exponential | Identical |
| MLP 17-12-1 | 0.798 | 0.807 | BFGS 25 | Sum of squares | Hyperbolic | Identical |
| MLP 17-14-1 | 0.806 | 0.787 | BFGS 20 | Sum of squares | Exponential | Identical |
| MLP 17-5-1 | 0.855 | 0.800 | BFGS 35 | Sum of squares | Exponential | Identical |
| Architecture | Training/Test | R Square | Mean Absolute Percentage Error (MAPE) | STD | SEM | RMSE |
|---|---|---|---|---|---|---|
| MLP 17-5-1 | training | 0.74 | 13% | 4.36 | 0.64 | 3.8 |
| MLP 17-5-1 | test | 0.65 | 16.2% | 4.16 | 0.66 | 5.8 |
| SVM | training | 0.62 | 17.02% | 3.5 | 0.26 | 5.01 |
| SVM | test | 0.61 | 17.07% | 3.7 | 0.48 | 5.09 |
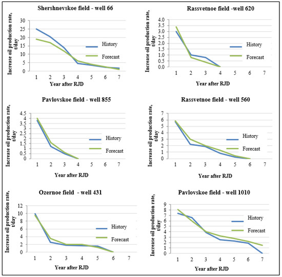
| Wells | R-Square | RMS | History Increased Oil Production Total, Barrels | Forecast Increased Oil Production Total, Barrels | Relative Error,% |
|---|---|---|---|---|---|
| 431 | 0.98 | 0.538516481 | 18,384.2 | 20,166.3 | −9.7 |
| 855 | 0.99 | 0.264575131 | 6597.1 | 7193.2 | −9 |
| 1010 | 0.95 | 0.750238057 | 44,334.5 | 48,717.8 | −9.9 |
| 560 | 0.98 | 0.438748219 | 27,468.9 | 29,626.7 | −7.9 |
| 620 | 0.975 | 0.346410162 | 6983.0 | 6517.1 | 6.7 |
| 66 | 0.98 | 3.044393755 | 117,987.7 | 105,545.4 | 10.5 |
Publisher’s Note: MDPI stays neutral with regard to jurisdictional claims in published maps and institutional affiliations. |
© 2021 by the authors. Licensee MDPI, Basel, Switzerland. This article is an open access article distributed under the terms and conditions of the Creative Commons Attribution (CC BY) license (https://creativecommons.org/licenses/by/4.0/).
Share and Cite
Kochnev, A.; Galkin, S.; Krivoshchekov, S.; Kozyrev, N.; Chalova, P. Application of Machine Learning Algorithms to Predict the Effectiveness of Radial Jet Drilling Technology in Various Geological Conditions. Appl. Sci. 2021, 11, 4487. https://doi.org/10.3390/app11104487
Kochnev A, Galkin S, Krivoshchekov S, Kozyrev N, Chalova P. Application of Machine Learning Algorithms to Predict the Effectiveness of Radial Jet Drilling Technology in Various Geological Conditions. Applied Sciences. 2021; 11(10):4487. https://doi.org/10.3390/app11104487
Chicago/Turabian StyleKochnev, Aleksandr, Sergey Galkin, Sergey Krivoshchekov, Nikita Kozyrev, and Polina Chalova. 2021. "Application of Machine Learning Algorithms to Predict the Effectiveness of Radial Jet Drilling Technology in Various Geological Conditions" Applied Sciences 11, no. 10: 4487. https://doi.org/10.3390/app11104487
APA StyleKochnev, A., Galkin, S., Krivoshchekov, S., Kozyrev, N., & Chalova, P. (2021). Application of Machine Learning Algorithms to Predict the Effectiveness of Radial Jet Drilling Technology in Various Geological Conditions. Applied Sciences, 11(10), 4487. https://doi.org/10.3390/app11104487

