Bonding of Selected Hardwoods with PVAc Adhesive
Abstract
1. Introduction
2. Materials and Methods
2.1. Hardwoods
2.1.1. Wood Species
2.1.2. Characteristics of Hardwoods: Density, Cold Water Extract, pH Value, Roughness, and Wettability
2.2. Adhesive
2.3. Wood Bonding
2.4. Adhesion Strength: Tensile Shear Strength
2.5. Statistical Analyses
3. Results and Discussion
3.1. Density, Cold Water Extract, pH Value, Roughness, and Wettability of Hardwoods
| Wood Species | Scientific Name | Density (kg/m3) | Cold Water Extract (%) | pH | |
|---|---|---|---|---|---|
| EN 350 [54] | Obtain | ||||
| Bangkirai | Shorea obtusa | 700-930-1150 | 834 | 2.70 | 3.82 |
| Beech | Fagus sylvatica | 690-710-750 | 705 | 2.13 | 5.79 |
| Black locust | Robinia pseudoacacia | 720-740-800 | 726 | 4.56 | 4.65 |
| Bubinga | Guibourtia demeusii | 700-830-910 | 887 | 3.15 | 4.12 |
| Ipé | Tabebuia serratifolia | 900-1050-1150 1 | 957 | 2.08 | 3.94 |
| Iroko | Milicia excels | 630-650-670 | 641 | 3.51 | 5.60 |
| Maçaranduba | Manilkara bidentate | 1000-1100-1150 1 | 1105 | 3.66 | 4.60 |
| Meranti | Shorea curtisii | 600-680-730 | 636 | 1.55 | 3.38 |
| Oak | Quercus robur | 670-710-760 | 779 | 4.33 | 3.83 |
| Palisander | Machaerium scleroxylon | 700-900-1000 1 | 818 | 4.21 | 5.84 |
| Sapelli | Entandrophragma cylindricum | 640-650-700 | 693 | 1.62 | 5.23 |
| Wengé | Millettia laurentii | 780-830-900 | 881 | 1.53 | 4.32 |
| Zebrano | Microberlinia brazzavillensis | 700-770-850 1 | 777 | 0.91 | 5.62 |
3.2. Adhesion of Hardwoods with PVAc Adhesive
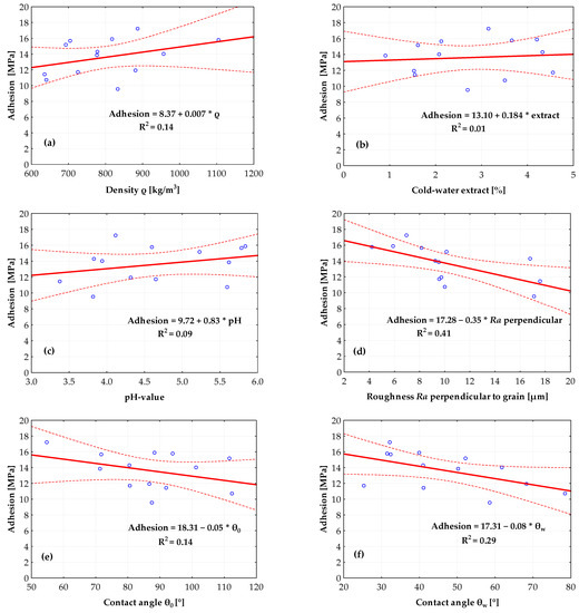
3.3. Connections between Bonding and Selected Characteristics of Hardwoods
4. Conclusions
Author Contributions
Funding
Institutional Review Board Statement
Informed Consent Statement
Data Availability Statement
Acknowledgments
Conflicts of Interest
References
- Sernek, M.; Resnik, J.; Kamke, F.A. Penetration of liquid urea-formaldehyde adhesive into beech wood. Wood Fiber Sci. 1999, 31, 41–48. [Google Scholar]
- Kamke, F.A.; Lee, N.J. Adhesive penetration in wood—A review. Wood Fiber Sci. 2007, 39, 205–220. [Google Scholar]
- Mendoza, M.; Hass, P.; Wittel, F.K.; Niemz, P.; Herrmann, H.J. Adhesive penetration of hardwood: A generic penetration model. Wood Sci. Technol. 2012, 41, 529–549. [Google Scholar] [CrossRef]
- Bourreau, D.; Aimene, Y.; Beauchene, J.; Thibaut, B. Feasibility of glued laminated timber beams with tropical hardwoods. Eur. J. Wood Wood Prod. 2013, 71, 653–662. [Google Scholar] [CrossRef]
- Hiziroglu, S.; Zhong, Z.W.; Tan, H.L. Measurement of bonding strength of pine, kapur and meranti wood species as function of their surface quality. Measurement 2013, 46, 3198–3201. [Google Scholar] [CrossRef]
- Stoeckel, F.; Konnerth, J.; Gindl-Altmutter, W. Mechanical properties of adhesives for bonding wood—A review. Int. J. Adhes. Adhes. 2013, 45, 32–41. [Google Scholar] [CrossRef]
- Luedtke, J.; Amen, C.; van Ofen, A.; Lehringer, C. 1C-PUR-bonded hardwoods for engineered wood products: Influence of selected processing parameters. Eur. J. Wood Wood Prod. 2015, 73, 167–178. [Google Scholar] [CrossRef]
- Aicher, S.; Ahmad, Z.; Hirsch, M. Bondline shear strength and wood failure of European and tropical hardwood glulams. Eur. J. Wood Wood Prod. 2018, 76, 1205–1222. [Google Scholar] [CrossRef]
- Bockel, S.; Mayer, I.; Konnerth, J.; Niemz, P.; Swaboda, C.; Beyer, M.; Harling, S.; Weiland, G.; Bieri, N.; Pichelin, F. Influence of wood extractives on two-component polyurethane adhesive for structural hardwood bonding. J. Adhes. 2018, 94, 829–845. [Google Scholar] [CrossRef]
- Bomba, J.; Šedivka, P.; Hýsek, Š.; Fáber, J.; Oberhofnerová, E. Influence of glue line thickness on the strength of joints bonded with PVAc adhesives. Prod. J. 2018, 68, 120–126. [Google Scholar] [CrossRef]
- Bockel, S.; Mayer, I.; Konnerth, J.; Harling, S.; Niemz, P.; Swaboda, C.; Beyer, M.; Bieri, N.; Weiland, G.; Pichelin, F. The role of wood extractives in structural hardwood bonding and their influence on different adhesive systems. Int. J. Adhes Adhes. 2019, 91, 43–53. [Google Scholar] [CrossRef]
- Petković, G.; Vukoje, M.; Bota, J.; Preprotić, S.P. Enhancement of polyvinyl acetate (PVAc) adhesion performance by SiO2 and TiO2 nanoparticles. Coatings 2019, 9, 707. [Google Scholar] [CrossRef]
- Marini, F.; Zikeli, F.; Corona, P.; Vinciguerra, V.; Manetti, M.C.; Portoghesi, L.; Mugnozza, G.S.; Romagnoli, M. Impact of bio-based (tannins) and nano-scale (CNC) additives on bonding properties of synthetic adhesives (PVAc and MUF) using chestnut wood from young coppice stands. Nanomaterials 2020, 10, 956. [Google Scholar] [CrossRef] [PubMed]
- Shida, S.; Hiziroglu, S. Evaluation of shear strength of Japanese wood species as a function of surface roughness. For. Prod. J. 2010, 60, 400–404. [Google Scholar] [CrossRef]
- Konnerth, J. Survey of selected adhesive bonding properties of nine European softwood and hardwood species. Eur. J. Wood Wood Prod. 2016, 74, 809–819. [Google Scholar] [CrossRef]
- Alamsyah, E.M.; Nan, L.C.; Taki, M.Y.K.; Yoshida, H. Bondability of tropical fast-growing tree species I: Indonesian wood species. J. Wood Sci. 2007, 53, 40–46. [Google Scholar] [CrossRef]
- Ülker, O. Wood adhesives and bonding theory. In Adhesives–Application and Properties, 1st ed.; Rudawska, A., Ed.; IntechOpen: London, UK, 2016; pp. 271–288. [Google Scholar] [CrossRef]
- Boehme, C.; Hora, G. Water absorption and contact angle measurement of native European, North American and tropical wood species to predict gluing properties. Holzforschung 1996, 50, 269–276. [Google Scholar] [CrossRef]
- Özçifçi, A.; Yapici, F. Effects of machining method and grain orientation on the bonding strength of some wood species. J. Mater. Process. Technol. 2008, 202, 353–358. [Google Scholar] [CrossRef]
- Burdurlu, E.; Kilic, Y.; Elibol, G.C.; Kilic, M. The shear strength of Calabrian pine (Pinus brutia Ten.) bonded with polyurethane and polyvinyl acetate adhesives. J. Appl. Polym. Sci. 2006, 99, 3050–3061. [Google Scholar] [CrossRef]
- Kilic, M.; Hiziroglu, S.; Burdurlu, E. Effect of machining on surface roughness of wood. Build. Environ. 2006, 41, 1074–1078. [Google Scholar] [CrossRef]
- Gurau, L. Analyses of roughness of sanded oak and beech surface. ProLigno 2013, 9, 741–750. [Google Scholar]
- Kúdela, J.; Mrenica, L.; Javorek, Ľ. The influence of milling and sanding on wood surface morphology. Acta Fac. Xylologiae Zvolen 2018, 60, 71–83. [Google Scholar] [CrossRef]
- Hiziroglu, S.; Zhong, Z.W.; Ong, W.K. Evaluating of bonding strength of pine, oak and nyatoh wood species related to their surface roughness. Measurement 2014, 49, 397–400. [Google Scholar] [CrossRef]
- Petrič, M.; Oven, P. Determination of wettability of wood and its significance in wood science and technology: A critical review. Rev. Adhes. Adhes. 2015, 3, 121–187. [Google Scholar]
- Frihart, C.R. Wood structure and adhesive bond strength. In Characterization of the Cellulosic Cell Wall; Stokke, D.S., Groom, L.H., Eds.; USDA Forest Service, Blackwell Publishing: Grad Lake, CO, USA, 2006; pp. 241–253. [Google Scholar]
- Hse, C.Y.; Kuo, M. Influence of extractives an wood gluing and finishing–A review. Prod. J. 1988, 38, 52–56. [Google Scholar]
- Prayitno, T.A.; Widyorini, R.; Lukmandaru, G. The adhesion properties of wood preserved with natural preservatives. Wood Res. 2016, 61, 197–204. [Google Scholar]
- Bhatt, S.; Tripathi, S.; Khali, D.P. Performance evaluation of boric and silicic acid treatment in plywood by shear strength. Indian For. 2017, 143, 38–42. [Google Scholar]
- Jankowska, A.; Boruszewski, P.; Drożdżek, M.; Rebkowski, B.; Kaczmarczyk, A.; Skowronska, A. The role of extractives and wood anatomy in the wettability and free surface energy of hardwoods. BioResources 2018, 13, 3082–3097. [Google Scholar] [CrossRef]
- Roffael, E. Significance of wood extractives for wood bonding. Appl. Microbiol. Biotechnol. 2016, 100, 1589–1596. [Google Scholar] [CrossRef]
- Waliszewska, B.; Zborowska, M.; Prądzyński, W.; Robaszyńska, M. Chemical composition of selected species of exotic trees. In Wood Structure and Properties '06; Kurjatko, S., Kúdela, J., Lagaňa, R., Eds.; Arbora Publishers: Zvolen, Slovakia, 2006; pp. 171–174. [Google Scholar]
- Hernández, R.E. Swelling properties of hardwoods as affected by their extraneous substances, wood density, and interlocked grain. Wood Fiber Sci. 2007, 39, 146–158. [Google Scholar]
- Rodrigues, A.M.S.; Theodoro, P.N.E.T.; Eparvier, V.; Basset, C.; Silva, M.R.R.; Beauchêne, J.; Espíndola, L.S.; Stien, D. Search for antifungal compounds from the wood of durable tropical trees. J. Nat. Prod. 2010, 73, 1706–1707. [Google Scholar] [CrossRef] [PubMed]
- Valette, N.; Perrot, T.; Sormani, R.; Gelhaye, E.; Morel-Rouhier, M. Antifungal activities of wood extractives. Fungal Biol. Rev. 2017, 31, 113–123. [Google Scholar] [CrossRef]
- Sakuna, T.; Moredo, C.C. Bending of selected tropical woods–Effect of extractives and related properties. In Proceedings of the. Adhesive Technology and Bonded Tropical Wood Products, Taipei, Taiwan, 25–28 May 1993; pp. 166–189. [Google Scholar]
- Knorz, M.; Niemz, P.; van de Kuilen, J.W. Measurement of moisture related strain in bonded ash depending on adhesive type and glueline thickness. Holzforschung 2016, 70, 145–155. [Google Scholar] [CrossRef]
- Schmidt, M.; Glos, P.; Wegener, G. Gluing of European beech wood for load bearing timber structures. Eur. J. Wood Wood Prod. 2010, 68, 43–57. [Google Scholar] [CrossRef]
- Knorz, M.; Schmidt, M.; Torno, S.; van de Kuilen, J.-W. Structural bonding of ash (Fraxinus excelsior L.): Resistance to delamination and performance in shearing tests. Eur. J. Wood Wood Prod. 2014, 72, 297–309. [Google Scholar] [CrossRef]
- Morin-Bernard, A.; Blanchet, P.; Dagenais, C.; Achim, A. Use of northern hardwoods in glued-laminated timber: A study of bondline shear strength and resistance to moisture. Eur. J. Wood Wood Prod. 2020, 78, 891–903. [Google Scholar] [CrossRef]
- EN 13556. Round and Sawn Timber. Nomenclature of Timbers Used in Europe; European Committee for Standardization: Brussels, Belgium, 2003. [Google Scholar]
- EN 323. Wood-Based Panels-Determination of Density; European Committee for Standardization: Brussels, Belgium, 1993. [Google Scholar]
- ASTM D1110. Standard Test. Methods for Water Solubility of Wood; ASTM International: West Conshohocken, PA, USA, 2013. [Google Scholar]
- Liptáková, E.; Kúdela, J. Analysis of the wood–wetting process. Holzforschung 1994, 48, 139–144. [Google Scholar]
- EN ISO 4287. Geometrical Product Specifications (GPS)−Surface Texture: Profile Method−Terms, Definitions and Surface Texture Parameters; European Committee for Standardization: Brussels, Belgium, 1998. [Google Scholar]
- EN 205. Adhesives. Wood Adhesives for Non-Structural Applications. Determination of Tensile Shear Strength of Lap Joints; European Committee for Standardization: Brussels, Belgium, 2016. [Google Scholar]
- EN 204. Classification of Thermoplastic Wood Adhesives for Non-structural Applications; European Committee for Standardization: Brussels, Belgium, 2016. [Google Scholar]
- Bougnom, B.P.; Knapp, B.A.; Etoa, F.; Insam, H. Possible use of wood ash and compost for improving acid tropical soils. In Recycling of Biomass Ashes; Springer Verlag: New York, NY, USA, 2011; pp. 87–105. [Google Scholar]
- Wanschura, R.; Windeisen, E.; Richter, K. Analysis of extractives of tropical hardwoods and benefits for the surface treatment. In Eco-Efficient Resource Wood with Special Focus on Hardwoods, Proceedings of IAWS Plenary Meeting; Németh, R., Teischinger, A., Schmitt, U., Eds.; University of West Hungary Press: Sopron, Hungary; Vienna, Austria, 2014; pp. 71–72. [Google Scholar]
- Kilic, A.; Niemz, P. Extractives in some tropical woods. Eur. J. Wood Wood Prod. 2012, 70, 79–83. [Google Scholar] [CrossRef]
- Yamamoto, K.; Hong, L.T. A laboratory method for predicting the durability of tropical hardwoods. JARQ 1994, 28, 268–275. [Google Scholar]
- Torelli, N.; Čufar, K. Mexican tropical hardwoods. pH-value. Holz als Roh-und Werkstoff 1995, 53, 133–134. [Google Scholar] [CrossRef]
- Ikenyiri, P.N.; Abowei, F.M.N.; Ukpaka, C.P.; Amadi, S.A. Characterization and physicochemical properties of wood sawdust in Niger area, Nigeria. Chem. Int. 2019, 5, 190–197. [Google Scholar] [CrossRef]
- EN 350. Durability of Wood and Wood-Based Products–Testing and Classification of the Durability to Biological Agents of Wood and Wood-Based Materials; European Committee for Standardization: Brussels, Belgium, 2016. [Google Scholar]
- Wagenführ, R. Holzatlas, 6th ed.; Fachbuchverlag: Leipzig, Germany, 2007; p. 816. [Google Scholar]
- Liptáková, E.; Kúdela, J.; Bastl, Z.; Spirovová, I. Influence of mechanical surface treatment of wood on the wetting process. Holzforschung 1995, 49, 369–375. [Google Scholar] [CrossRef]
- Martha, R.; Dirna, F.C.; Hasanusi, A.; Rahayu, I.S.; Darmawan, W. Surface free energy of 10 tropical woods species and their acrylic paint wettability. J. Adhes. Sci. Technol. 2020, 34, 167–177. [Google Scholar] [CrossRef]
- Hubbe, M.A.; Gardner, D.J.; Shen, W. Contact angles and wettability of cellulosic surfaces: A review of proposed mechanisms and test strategies. BioResources 2015, 10, 8657–8749. [Google Scholar] [CrossRef]
- Cheng, E.; Sun, X. Effects of wood-surface roughness, adhesive viscosity and processing pressure on adhesion strength of protein adhesive. J. Adhes. Sci. Technol. 2006, 20, 997–1017. [Google Scholar] [CrossRef]
- Siau, J.F. Flow in Wood; Syracuse University Press: New York, NY, USA, 1971; p. 131. [Google Scholar]
- Kurjatko, S.; Reinprecht, L. Transport látok v dreve. (Transport of Substances in Wood); Vedecké a pedagogické aktuality 7/1993; Technical University: Zvolen, Slovakia, 1993; p. 110. ISBN 80-228-0307-3. [Google Scholar]
- He, Z.; Chiozza, F. Adhesive strength of pilot-scale-produced water-washed cottonseed meal in comparison with a synthetic glue for non-structural interior applications. J. Mater. Sci. Res. 2017, 6, 20–26. [Google Scholar] [CrossRef]




| Wood Species | Roughness Parallel with Grain (μm) | Roughness Perpendicular to Grain (μm) | ||||
|---|---|---|---|---|---|---|
| Ra | Rz | RSm | Ra | Rz | RSm | |
| Bangkirai | 10.4 (3.0) | 68.4 (18.5) | 698.4 (193.6) | 17.1 (3.6) | 131.9 (19.7) | 560.5 (89.5) |
| Beech | 6.0 (1.8) | 41.2 (12.6) | 673.9 (142.9) | 8.2 (1.9) | 63.7 (12.8) | 408.5 (56.7) |
| Black locust | 5.8 (2.7) | 40.5 (19.3) | 572.4 (121.8) | 9.6 (2.7) | 86.7 (20.7) | 565.5 (149.7) |
| Bubinga | 6.5 (3.6) | 44.9 (22.8) | 591.4 (150.1) | 7.0 (3.1) | 69.3 (22.2) | 688.5 (233.6) |
| Ipé | 7.9 (4.6) | 51.5 (25.8) | 737.1 (197.5) | 9.3 (3.8) | 77.2 (20.5) | 572.4 (105.9) |
| Iroko | 7.1 (1.8) | 51.6 (13.7) | 580.5 (134.8) | 10.0 (3.2) | 82.5 (24.7) | 661.1 (256.5) |
| Maçaranduba | 3.6 (1.5) | 26.7 (8.7) | 555.1 (104.7) | 4.2 (0.9) | 46.8 (13.5) | 643.9 (213.3) |
| Meranti | 9.9 (5.1) | 60.8 (27.3) | 655.0 (179.8) | 17.6 (4.6) | 126.6 (21.3) | 760.2 (197.7) |
| Oak | 9.4 (6.4) | 59.5 (35.2) | 574.5 (195.2) | 16.8 (5.1) | 123.4 (33.7) | 534.5 (119.5) |
| Palisander | 4.7 (1.3) | 34.3 (10.1) | 679.2 (239.1) | 5.9 (2.1) | 57.6 (14.7) | 555.7 (138.8) |
| Sapelli | 7.3 (2.8) | 52.8 (19.4) | 565.1 (109.0) | 10.2 (2.3) | 87.6 (11.1) | 533.8 (93.0) |
| Wengé | 5.4 (3.3) | 39.2 (20.0) | 545.6 (145.7) | 9.8 (2.7) | 78.5 (17.8) | 712.1 (174.5) |
| Zebrano | 7.1 (3.2) | 50.3 (22.4) | 588.5 (159.5) | 9.5 (3.3) | 81.6 (21.7) | 622.5 (195.1) |
| Wood Species | Contact Angle (°) | ||
|---|---|---|---|
| θ0 | θe | θw | |
| Bangkirai | 87.6 (20.7) | 46.1 (14.2) | 58.6 (22.3) |
| Beech | 71.8 (9.3) | 27.6 (11.6) | 32.4 (12.9) |
| Black locust | 80.7 (14.8) | 19.7 (10.7) | 25.4 (13.8) |
| Bubinga | 54.8 (7.5) | 30.5 (17.6) | 32.2 (18.7) |
| Ipé | 101.3 (7.5) | 46.2 (16.4) | 61.8 (21.0) |
| Iroko | 112.5 (10.3) | 54.0 (10.7) | 78.5 (15.7) |
| Maçaranduba | 94.0 (5.7) | 23.5 (10.4) | 31.5 (14.5) |
| Meranti | 92.0 (15.1) | 32.5 (23.7) | 41.1 (25.0) |
| Oak | 80.5 (12.2) | 33.6 (14.6) | 41.0 (16.7) |
| Palisander | 88.4 (12.7) | 29.9 (9.3) | 40.0 (14.3) |
| Sapelli | 111.7 (14.0) | 32.0 (16.5) | 52.2 (26.5) |
| Wengé | 86.8 (8.4) | 59.1 (7.6) | 68.3 (7.9) |
| Zebrano | 71.4 (9.9) | 45.0 (13.0) | 50.3 (14.2) |
| Wood Species | Adhesion-Tensile Shear Strength of Lap Joints (MPa) | ||
|---|---|---|---|
| Dry | Wet | Reconditioned | |
| Bangkirai | 9.53 (1.68) - | 2.29 (0.54) | 11.24 (1.58) |
| Beech | 15.65 (2.73) a | 2.64 (0.20) | 16.19 (2.56) |
| Black locust | 11.69 (2.65) c | 1.58 (0.24) | 12.62 (2.04) |
| Bubinga | 17.20 (1.09) a | 2.00 (0.17) | 19.24 (1.62) |
| Ipé | 13.99 (0.51) a | 1.27 (0.08) | 12.10 (1.41) |
| Iroko | 10.69 (2.14) d | 2.01 (0.10) | 10.26 (1.30) |
| Maçaranduba | 15.76 (2.23) a | 0.56 (0.19) | 8.48 (0.78) |
| Meranti | 11.40 (1.54) d | 2.34 (0.24) | 10.85 (1.73) |
| Oak | 14.27 (1.47) a | 2.33 (0.24) | 15.57 (1.97) |
| Palisander | 15.86 (1.18) a | 1.26 (0.18) | 13.67 (2.86) |
| Sapelli | 15.13 (1.85) a | 1.98 (0.29) | 14.90 (2.36) |
| Wengé | 11.90 (2.02) c | 1.57 (0.22) | 13.53 (0.51) |
| Zebrano | 13.85 (2.52) a | 1.12 (0.30) | 9.80 (2.12) |
| Property of Hardwood | N | R2 | T | p | Adhesion = a + b x Property | |
|---|---|---|---|---|---|---|
| Density ρ (kg/m3) | 78 | 0.086 | 2.68 | 0.009 | 8.36 + 0.007 × ρ | |
| Cold water extract (%) | 39 | 0.004 | 0.39 | 0.699 | 12.94 + 0.16 x extract | |
| pH | 39 | 0.040 | 1.24 | 0.224 | 10.06 + 0.71 × pH | |
| Roughness parallel with grain (μm) | ||||||
| Ra | 78 | 0.027 | −1.47 | 0.147 | 14.22–0.097 × Ra | |
| Rz | 78 | 0.015 | −1.06 | 0.292 | 14.14–0.012 × Rz | |
| RSm | 78 | 0.039 | 1.75 | 0.085 | 12.43 + 0.002 × RSm | |
| Roughness perpendicular to grain (μm) | ||||||
| Ra | 78 | 0.071 | −2.41 | 0.018 | 14.56–0.087 × Ra | |
| Rz | 78 | 0.081 | −2.59 | 0.011 | 15.05–0.016 × Rz | |
| RSm | 78 | 0.006 | −0.68 | 0.498 | 14.03–0.001 × RSm | |
| Contact angle (°) | ||||||
| θ0 | 78 | 0.11 | −3.03 | 0.003 | 17.52–0.044 × θ0 | |
| θe | 78 | 0.10 | −2.94 | 0.004 | 15.62–0.051 × θe | |
| θw | 78 | 0.13 | −3.40 | 0.001 | 15.82–0.043 × θw | |
Publisher’s Note: MDPI stays neutral with regard to jurisdictional claims in published maps and institutional affiliations. |
© 2020 by the authors. Licensee MDPI, Basel, Switzerland. This article is an open access article distributed under the terms and conditions of the Creative Commons Attribution (CC BY) license (http://creativecommons.org/licenses/by/4.0/).
Share and Cite
Iždinský, J.; Reinprecht, L.; Sedliačik, J.; Kúdela, J.; Kučerová, V. Bonding of Selected Hardwoods with PVAc Adhesive. Appl. Sci. 2021, 11, 67. https://doi.org/10.3390/app11010067
Iždinský J, Reinprecht L, Sedliačik J, Kúdela J, Kučerová V. Bonding of Selected Hardwoods with PVAc Adhesive. Applied Sciences. 2021; 11(1):67. https://doi.org/10.3390/app11010067
Chicago/Turabian StyleIždinský, Ján, Ladislav Reinprecht, Ján Sedliačik, Jozef Kúdela, and Viera Kučerová. 2021. "Bonding of Selected Hardwoods with PVAc Adhesive" Applied Sciences 11, no. 1: 67. https://doi.org/10.3390/app11010067
APA StyleIždinský, J., Reinprecht, L., Sedliačik, J., Kúdela, J., & Kučerová, V. (2021). Bonding of Selected Hardwoods with PVAc Adhesive. Applied Sciences, 11(1), 67. https://doi.org/10.3390/app11010067

