Next Article in Journal
Optimal Design of Cantilever Soldier Pile Retaining Walls Embedded in Frictional Soils with Harmony Search Algorithm
Previous Article in Journal
Effect of Rock Abrasiveness on Wear of Shield Tunnelling in Bukit Timah Granite
 
 
Font Type:
Arial Georgia Verdana
Font Size:
Aa Aa Aa
Line Spacing:
Column Width:
Background:
Article

MHD Natural Convection of a Fe3O4–Water Nanofluid within an Inside Round Diagonal Corner Square Cavity with Existence of Magnetic Source

1
Mechanical Engineering Department, College of Engineering, University of Bisha, Bisha 61922, Saudi Arabia
2
Laboratory of Electro-Mechanical Systems (LASEM), National Engineering School of Sfax-ENIS, B.P. W3038, University of Sfax, Sfax 3038, Tunisia
3
Mechanical Engineering Department, Faculty of Engineering, Jazan University, Jazan 82822, Saudi Arabia
4
Department of Mechanical Engineering, Higher Institute of Technological Studies of Gafsa, General Directorate of Technological Studies, Radès Médina 2098, Tunisia
5
Department of Technological Studies, Faculty of Sciences Gafsa, University of Gafsa, Gafsa 2112, Tunisia
*
Author to whom correspondence should be addressed.
Appl. Sci. 2020, 10(9), 3236; https://doi.org/10.3390/app10093236
Submission received: 12 April 2020 / Revised: 1 May 2020 / Accepted: 3 May 2020 / Published: 6 May 2020
(This article belongs to the Section Applied Physics General)

Abstract

This study concerns a numerical investigation of a magnetohydrodynamic (MHD) natural convection of a Fe3O4–water nanofluid filled within a round diagonal corner square cavity. The cavity was subjected to imposed temperatures (hot and cold walls) and one magnetic source. The nanofluid flow and heat transfer problem was mathematically modeled and its dimensionless problem was established. The finite element method was implemented in order to solve the MHD problem. The effects of the Rayleigh number, Hartmann number and round corner radius on the nanofluid flow (streamlines and velocity magnitude) and heat transfer (isotherms and temperature distribution) were evaluated. Heat transfer was assessed when the convection or the conduction dominates with regard to the nature of the flow.

Graphical Abstract

1. Introduction

Nanofluids [1,2,3,4] can be simply seen as nanometer-sized particles (such as metal and crystalline materials) suspended in a fluid (such as water). Hence, nanofluids benefit from both high energy storage per unit mass without considerable increase in temperature of the water, and high thermal conductivity of the metal material. The heat transfer of a nanofluid is all the more efficient as both its heat capacity and thermal conductivity were high, because the heat transfer between a wall and a fluid is carried via both conduction and convection.
Some relevant and interesting numerical works have been carried out in the last three years in order to investigate the magnetohydrodynamic (MHD) natural convection within an enclosure filled with nanofluid. Yuan Ma et al. [5] numerically investigated the MHD natural convection in a baffled U-shaped enclosure. The thermal conductivity and the viscosity of the nanofluid were obtained using the Koo–Kleinstreuer–Li correlations. The effects of the Rayleigh number, the Hartmann number, the solid volume fraction and the aspect ratio of the enclosure on the nanofluid flow and heat transfer were assessed. Results showed that the average Nusslet number augmented by the increasing of the Rayleigh number, the solid volume fraction and the enclosure aspect ratio. The effect of Rayleigh number on the average Nusselt number was more remarkable at lower Hartmann number. The effect of Rayleigh number on heat transfer was more prominent at higher enclosure aspect ratio. The effect of magnetic field on heat transfer was more pronounced at high Rayleigh number. Tao Zhang et al. [6] numerically studied the effects of magnetic field and cavity inclination on the natural convection of a Cu–water nanofluid, assuming one hot and one cold source. The double multiple-relaxation-time thermal lattice Boltzmann method has been used to simulate the effects of Rayleigh number, Hartmann number, the solid volume fraction and the cavity inclination angle on the flow and the heat transfer performance of the nanofluid. Results showed that when the cavity inclination angle increased, the average Nusselt number decreased drastically first, and then subsequently increased continuously until approaching a maximum value at a certain cavity inclination angle for high values of Rayleigh number. Results also showed that for high Rayleigh number, the maximized average Nusselt number were obtained for lower cavity inclination angles when the Hartmann number increased.
P. Akbarzadeh and A.H. Fardi [7] numerically investigated the natural convection heat transfer within 2D and 3D trapezoidal section channels filled with nanofluids with variable characteristics. The finite element method and the SIMPLER algorithm were used to simulate the effect of the Rayleigh number, the solid volume fraction, the side wall angle of the channel trapezoidal section and the channel axial slope on the heat transfer rate. The rate of heat transfer increased when the Rayleigh number increased for both 2D and 3D channels. For the 2D trapezoidal section channel, the increase in the solid volume fraction from 0% to 2% induced a decrease in the Nusselt number. For a solid volume fraction higher than 2%, the Nusselt number increased. For the 3D trapezoidal section channel, the increase in the channel axial slope provoked an increase in the Nusselt number. H. Sajjadi et al. [8] numerically studied the 3D MHD natural convection within a Cu/water nanofluid-filled cubic enclosure with one side wall sinusoidal temperature distribution and subjected to a horizontal magnetic field. A new double multiple-relaxation-time thermal lattice Boltzmann model was used to simulate the effects of the Rayleigh number, the Hartmann number, the solid volume fraction and the phase deviation on the heat transfer rate performance (Nusselt number) within the nanofluid. Results showed that the heat transfer rate was diminished when the Hartmann number increased and was improved when the Rayleigh number and the solid volume fraction increase. The effect of magnetic field on heat transfer rate was maximum and minimum for a Rayleigh number in the order of 104 and 103, respectively. The effect of Rayleigh number on the heat transfer rate was maximum for a null Hartmann number whatever the value of the solid volume fraction.
J. H. Son and I. S. Park [9] numerically investigated a 2D laminar MHD natural convection within a heated rectangular enclosure, subjected to uniform horizontal magnetic field, with insulated square block. Simulations of heat transfer performance within the nanofluid were carried out for various Rayleigh number and Hartmann number with fixed Prandtl number. Results show that the heat transfer rate was reduced when the magnetic field intensity increased. Simulations show that the incorporation of insulated block, with a certain size range under a certain Hartman number range permits to improve the heat transfer rate within the nanofluid. Jing-Kui Zhang et al. [10] numerically studied the MHD natural convection in a 2D and 3D cavity subjected to thermal radiation under different plank number and Hartmann number. The 3D Navier Stokes equations were solved implementing a combined spectral collocation method-artificial compressibility method. The thermal radiation effect on the heat transfer was comparatively analyzed between 2D and 3D cavity under identical parameters. Results show that the heat transfer and the flow were enhanced by the thermal radiation while they were reduced by the magnetic field in the spanwise direction of the 3D cavity. The flow and the temperature distribution difference between 2D and 3D cavity were more pronounced for strong thermal radiation and weak magnetic field.
Latifa M. Al-Balushi et al. [11] numerically investigated an unsteady natural convective heat transfer flow, within a square enclosure filled with nanofluids, without considering magnetic field effect. Uniform hot and cold temperatures were imposed in bottom and upper walls, respectively while the left and right walls were insulated. The implementation of the Galerkin weighted residual finite element method permits to obtain numerical simulations. Four types of nanoparticles and 3 types of based fluid were considered. Numerical results show that the increase of Rayleigh number and nanoparticles volume fraction permits to enhance the average Nusselt number. In addition, results show that the Nusselt number was higher for the nanoparticles with blade shape and for the Mn-ZnFe2O4-kerosene nanofluid.
Amin Matori et al. [12] numerically studied the influence of nanofluid and hot isothermal obstacle inside a Π-shaped enclosure. Uniform cold temperature was imposed in the interior walls of the enclosure and the other walls were adiabatic. The hot obstacle was located on the upper side of the enclosure. The implementation of the lattice Boltzmann method permits to obtain numerical simulations. Numerical results show that the average Nusselt number was enhanced when the Rayleigh number, the aspect ratio and the nanoparticles solid volume fraction increase. Results show, also, that the heat transfer was more effective when the hot obstacle was located on the center of upper wall.
A.S. Dogonchi and Hashim [13] numerically investigated the natural convection heat transfer within an annulus between a wavy circular cylinder and a rhombus enclosure. Uniform cold and hot temperatures were imposed in the annulus wall and the rhombus enclosure, respectively. A novel viscosity model named magnetic field dependent was applied. The control volume finite element method was implemented. The effect of physical parameters (such as Rayleigh number, Hartmann number, aspect ratio, solid volume fraction, …, etc.) was investigated. Numerical results show that the local heat transfer rate was improved with the decrease of aspect ratio when the Hartmann number was absent.
This work aims to numerically investigate the impact of the Rayleigh number, the Hartmann number and the round corner radius on the Fe3O4–water nanofluid flow and heat transfer. The particularity of this work is that it seeks to assess the natural convection inside an enclosure having a specific shape (inside round diagonal corner square). The nanofluid flow was evaluated in terms of streamlines and velocity magnitude distribution while the nanofluid heat transfer was assessed in terms of isotherms contours and temperature distribution.
Section 2 of this work presents a detailed description for the investigated system. The mathematical modeling of the problem is carried out in Section 3. Section 4 is dedicated to the numerical approach used in this investigation. Section 5 presents the simulation results as well as its discussion and interpretation. Conclusions are summarized in Section 6.

2. System Description

We assumed an enclosure with an inside round diagonal corner square shape. The corner radius R varies as R = 0.2; 0.4; 0.6 and 0.7. The enclosure was supposed to be filled with a Fe3O4–water nanofluid. The solid volume fraction ϕ of the nanofluid was in the order of ϕ = 0.05 . The nanofluid Prandtl number Pr was set at Pr = 0.7. The nanofluid Rayleigh number Ra varies from Ra = 103 to Ra = 105. The nanofluid Hartmann number Ha varies from Ha = 0 to Ha = 50. The nanofluid Eckert number Ec was set at Ec = 10−5. The thermophysical properties of the nanofluid were based on the properties of both fluid and magnetic particles, as summarized by Table 1. The enclosure was subjected to hot and cold imposed temperatures at the walls depicted by Figure 1. The other walls were adiabatic. The enclosure was also subjected to a magnetic source as depicted by Figure 1.

3. Mathematical Modeling

3.1. Nanofluid Problem Statement

Some assumptions were taken into consideration when establishing the governing equations of the nanofluid MHD natural convection problem [14,15,16,17]:
  • The nanofluid is incompressible;
  • The nanofluid is Newtonian;
    It is important to explain here that the assumption of Newtonian nanofluid used for our investigation is absolutely valid. In fact, the used base fluid is the water which is a Newtonian fluid. The behavior of the nanofluid (especially in terms of viscosity) is almost similar to that of the base fluid since the volume fraction ϕ of the nanoparticles is low ( ϕ = 0.05 );
  • The nanofluid density variation is governed by the Boussinesq model;
  • The nanofluid flow is steady, laminar and two dimensional;
  • The induced magnetic field is neglected;
  • The induced displacement currents are neglected;
  • The induced heating joule is neglected;
  • The radiation and energy dissipation are neglected.
The nanofluid MHD natural convection problem is governed by the following equations [18]:

3.1.1. Nanofluid Mass Conservation Equation

u x + v y = 0

3.1.2. Nanofluid X-Momentum Equation

ρ n f u u x + ρ n f v u y = p x + x ( μ n f u x ) + y ( μ n f u y ) + f x
with
ρ n f = ( 1 ϕ ) ρ f + ϕ ρ p
μ n f = μ f ( 1 ϕ ) 2.5
f x = μ 0 2 σ n f H ¯ y 2 u + μ 0 2 σ n f H ¯ x H ¯ y v
σ n f = σ f ( 1 + 3 ( σ p σ f 1 ) ϕ ( σ p σ f + 1 ) ( σ p σ f 1 ) ϕ )

3.1.3. Nanofluid Y-Momentum Equation

ρ n f u v x + ρ n f v v y = p y + x ( μ n f v x ) + y ( μ n f v y ) + f y
with
f y = ( ρ β ) n f g ( T T c ) μ 0 2 σ n f · H ¯ x 2 v + μ 0 2 · σ n f H ¯ x H ¯ y u
( ρ β ) n f = ( 1 ϕ ) ( ρ β ) f + ϕ ( ρ β ) p

3.1.4. Nanofluid Energy Conservation Equation

u T x + v T y = α n f ( 2 T x 2 + 2 T y 2 ) + S T ( ρ C p ) n f
with
α n f = k n f ( ρ C p ) n f
k n f = k f k p + 2 k f 2 ϕ ( k f k p ) k p + 2 k f + ϕ ( k f k p )
S T = σ n f μ 0 2 ( H ¯ x v H ¯ y u ) 2 + μ n f { 2 ( u x ) 2 + 2 ( v y ) 2 + ( u x + v y ) 2 }
( ρ C p ) n f = ( 1 ϕ ) ( ρ C p ) f + ϕ ( ρ C p ) p

3.1.5. Dimensionless Nanofluid Problem Statement

It is useful to nondimensionalize the nanofluid problem implementing the following dimensionless quantities:
X = x L
Y = y L
U = u L α n f
P = p L 2 ρ n f α n f 2
θ = T T c T h T c
V = v L α n f
P r = υ n f α n f
R a = g β ( T T c ) L 3 υ n f α n f
H a = L B 0 σ n f μ n f
H ¯ x = I 2 π 1 ( x a ) 2 + ( y b ) 2 ( y b )
H ¯ y = I 2 π 1 ( x a ) 2 + ( y b ) 2 ( x a )
H 0 = H ¯ x 2 + H ¯ y 2 = I 2 π 1 ( x a ) 2 + ( y b ) 2
H = H ¯ H 0
E c = μ n f α n f ( ρ C p ) n f L 2 Δ T
The dimensionless nanofluid problem statement becomes:
U X + V Y = 0
U U X + V U Y = P X + P r ( 2 U X 2 + 2 U Y 2 ) + F x
F x = L 3 ρ n f α n f 2 f x = H a 2 P r H y 2 U + H a 2 P r H x H y V
U V X + V V Y = P Y + P r ( 2 V X 2 + 2 V Y 2 ) + F y
F y = L 3 ρ n f α n f 2 f y = R a P r θ H a 2 P r H x 2 V + H a 2 P r H x H y U
U θ X + V θ Y = ( 2 θ X 2 + 2 θ Y 2 ) + Θ T
Θ T = L 2 α n f Δ T S T ( ρ C p ) n f = E c H a 2 ( H x V H y U ) 2 + E c { 2 ( U X ) 2 + 2 ( V Y ) 2 + ( U X + V Y ) 2 }

4. Numerical Approach

The finite element method was used to numerically implement the nonlinear PDEs mathematical model that govern the flow and heat transfer [19] of the nanofluid. The nanofluid domain was discretized into triangles element (Figure 2). The relative tolerance was in the order of ε = 10−5. It was chosen small enough in order to ensure the convergence.
| Current   solution Previous   solution Current   solution | < Relative   tolerance
For the case when the corner radius was 0.2, we tested 3 different meshes for a number of elements in the order of 1290, 2102 and 3190, having a maximum element quality in the order of 0.6766, 0.6497 and 0.6459, respectively. The calculated results for the coarse and the fine meshes differs only by less than 1%. We used in this investigation a number of elements in the order of 3190.

5. Results and Discussion

It is to note that the assumed values of all dimensionless numbers, used for simulations, were chosen in such a way that the buoyancy forces and the viscosity forces were moderate. This will permit to generate significant results in terms of isotherms contours, temperature distribution, flow streamlines and velocity magnitude distribution.

5.1. Effect of Rayleigh Number and Hartmann Number on Nanofluid Thermal Behavior

The simulations were carried out under the following data:
  • The corner radius was R = 0.25
  • The solid volume fraction was ϕ = 0.05
  • The Prandtl number was Pr = 0.7
  • The Rayleigh number was Ra = 103; 104; 105
  • The Hartmann number was Ha = 0; 10; 30; 50
  • The Eckert number was Ec = 10−5
Figure 3 and Figure 4 show the effect of Rayleigh number and the effect of Hartmann number on the isotherm contours and the surface temperature distribution, respectively. The Rayleigh number varies, from left to right (columns), as Ra = 103; 104; 105, while the Hartmann number varies, from up to down (lines), as Ha = 0; 10; 30; 50.
Results show that the parallelism of isotherms to hot and cold walls was more pronounced at low Rayleigh number (Ra = 103) and strongly degenerated as the Rayleigh number increased from Ra = 103 to Ra = 105, especially in the central zone of the nanofluid filled cavity, due to the enhancement of buoyancy.
Thus, the heat transfer was dominated by convection instead of conduction when the Rayleigh number increased, as it was expected. Results show, also, that the parallelism of isotherms to hot and cold walls was enhanced when the Hartman number increased from Ha = 0 to Ha = 50, especially in the central zone of the nanofluid filled cavity, due to the enhancement of Lorentz force that weaken the flow within the cavity. Hence, the convection was retarded, and the heat transfer was dominated by conduction when Hartmann number increased, as it was predicted. It is to note, also, that the temperature homogeneity of the nanofluid was globally improved as the Rayleigh number increased and the Hartmann number decreased.

5.2. Effect of Rayleigh Number and Hartmann Number on Nanofluid Flow Behavior

The simulations were carried out under the same data presented in Section 5.1.
Figure 5 and Figure 6 show the effect of Rayleigh number and the effect of Hartmann number on the flow streamlines and the surface velocity magnitude, respectively. The Rayleigh number varies, from left to right (columns), as Ra = 103; 104; 105, while the Hartmann number varies, from up to down (lines), as Ha = 0; 10; 30; 50.
Results show that the flow streamlines present globally an elliptical core vortex oriented towards the diagonal direction of the cavity. The minimum velocity magnitude of the flow was reached in the central zone and near the walls of the nanofluid filled cavity, while its maximum value was reached all around the central zone. This maximum value was increased as the Rayleigh number increased from Ra = 103 to Ra = 105.
Results show, also, that, as the Hartman number increased, the zone of maximum velocity magnitude will be pushed away from the magnetic source, towards the down left side of the nanofluid filled cavity, while the maximum value of the velocity magnitude was decreased. It was to note, also, that the increase in Rayleigh number and Hartman number favors the establishment of a second vortex representing a zone of minimum velocity magnitude.

5.3. Effect of Hartmann Number and Round Corner Radius on Nanofluid Thermal Behavior

The simulations were carried out under the following data:
  • The corner radius was R = 0.2; 0.4; 0.6; 0.7
  • The solid volume fraction was ϕ = 0.05
  • The Prandtl number was P r = 0.7
  • The Rayleigh number was R a = 5 × 10 4
  • The Hartmann number was H a = 0 ; 20 ; 40
  • The Eckert number was E c = 10 5
Figure 7 and Figure 8 show the effect of Hartmann number and the effect of round corner radius on the isotherm contours and the surface temperature distribution, respectively. The Hartmann number varies, from left to right (columns), as Ha = 0; 20; 40, while the round corner radius varies, from up to down (lines), as R = 0.2; 0.4; 0.6; 0.7.
Results show that the parallelism of isotherms to hot and cold walls was more pronounced at higher corner radius and degenerates as the corner radius decreased from R = 0.7 to R = 0.2, especially in the central zone of the nanofluid filled cavity, due to the enhancement of buoyancy. Thus, the heat transfer was dominated by convection instead of conduction when the corner radius decreased. This was explained by the fact that the decrease of corner radius permit to give much more space of nanofluid, which favors considerably the convective heat transfer. Results show, also, that the parallelism of isotherms to hot and cold walls was enhanced when the Hartman number increased from Ha = 0 to Ha = 50, especially in the central zone of the nanofluid filled cavity. This was explained as the same in Section 5.1. It is to note, also, that the temperature homogeneity of the nanofluid was globally improved as the Hartmann number and the round corner radius decrease.

5.4. Effect of Hartmann Number and Round Corner Radius on Nanofluid Flow Behavior

The simulations were carried out under the same data presented in Section 5.1.
Figure 9 and Figure 10 show the effect of Hartmann number and the round corner radius on the flow streamlines and the surface velocity magnitude, respectively. The Hartmann number varies, from left to right (columns), as Ha = 0; 20; 40, while the round corner radius varies, from up to down (lines), as R = 0.2; 0.4; 0.6; 0.7.
Results show that the flow streamlines present globally an elliptical core vortex oriented towards the diagonal direction of the cavity. Two elliptical core vortexes were encountered for higher round corner radius and higher Hartmann number, inducing two almost separated cavities. The minimum velocity magnitude of the flow was reached in the central zone and near the walls of each nanofluid filled cavity, while its maximum value was reached all around the central zone. This maximum value was decreased as the round corner radius increased from R = 0.2 to R = 0.7.
Results show, also, that, as the Hartman increased from Ha = 0 to Ha = 40, the zone of maximum velocity magnitude will be pushed away from the magnetic source, towards the down left side of each nanofluid filled cavity, while the maximum value of the velocity magnitude was decreased. It is to note, also, that the increase in Hartman number favors the establishment of a second zone of minimum velocity magnitude.

5.5. Effect of Hartman Number and Rayleigh Number on Velocity and Temperature along the Diagonal Line

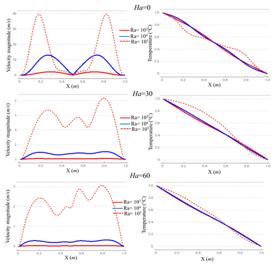
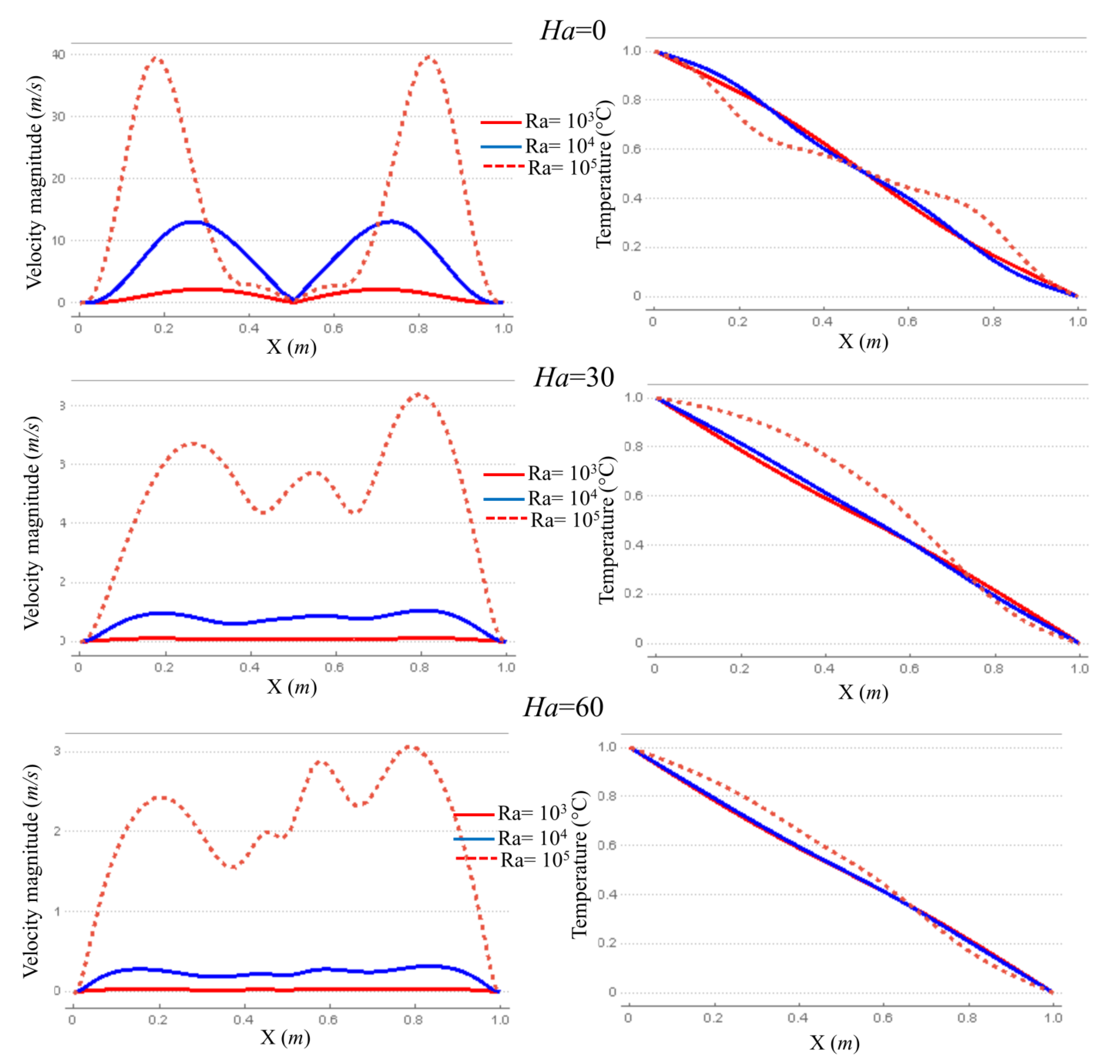
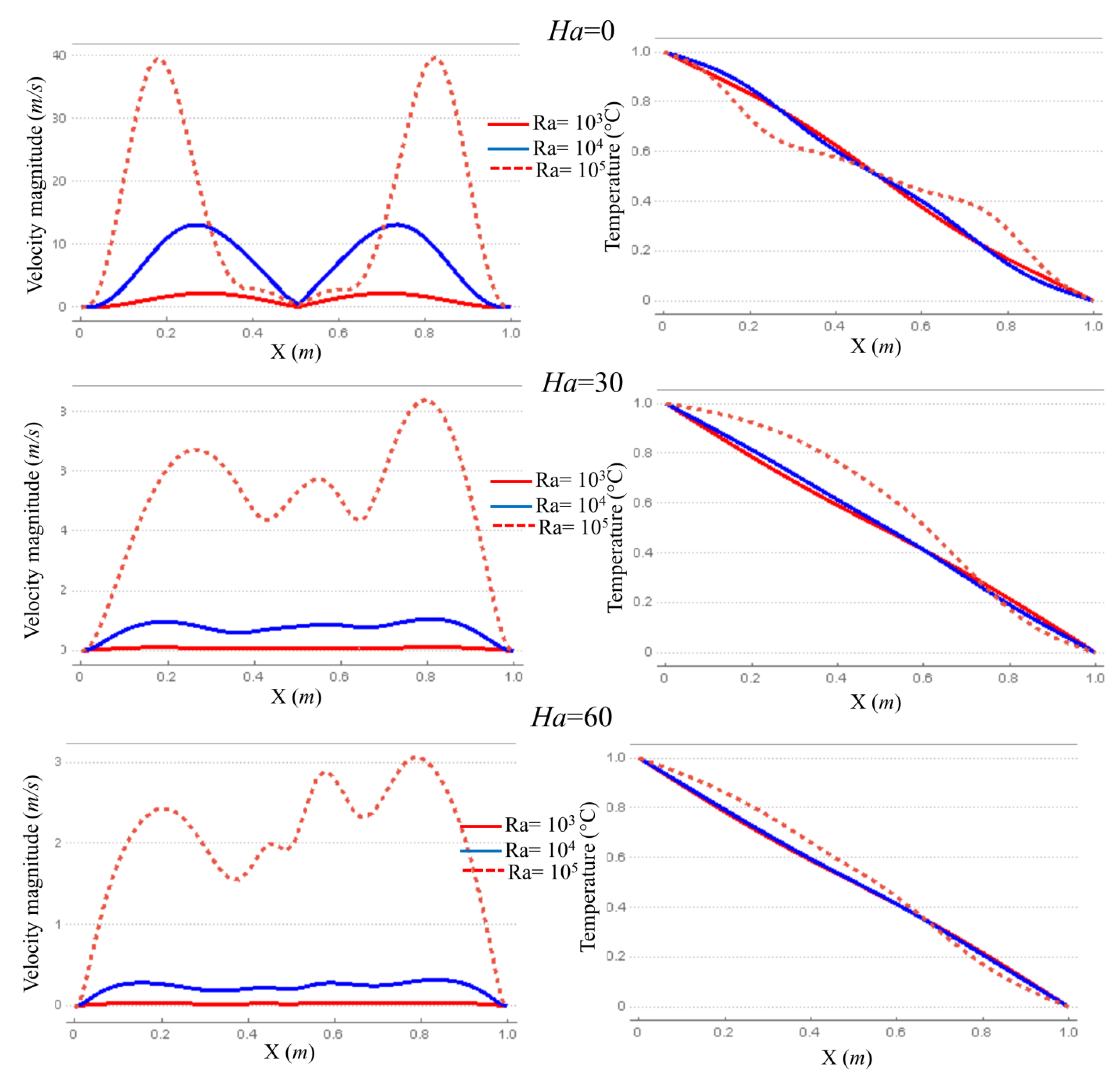
The simulations were carried out under the following data, along the diagonal line between the two corners:
  • The corner radius was R = 0.25
  • The solid volume fraction was ϕ = 0.05
  • The Prandtl number was P r = 0.7
  • The Eckert number was E c = 10 5
Figure 11 shows the effect of Hartmann number: Ha = 0; 30; 60 and the effect of Rayleigh number Ra = 103; 104; 105 on the velocity magnitude and the temperature of the nanofluid along the diagonal line that connects the two round corners.
Results show that, when the magnetic field was null (Ha = 0), the evolution profiles of the nanofluid velocity magnitude and temperature were symmetrical, with respect to the central point of the diagonal line, for all Rayleigh number. As the Hartmann number increased until Ha = 60, the evolution profile of the velocity magnitude moves towards the cold wall and its amplitude was reduced, while the evolution profile of the temperature becomes more linearized, for all Rayleigh number. As the Rayleigh number increased from Ra = 103 to Ra = 105, the velocity magnitude was considerably reduced, while the temperature was more linearized for lower Rayleigh number.

6. Conclusions

The numerical investigation of the natural convection, within a specific round corner square cavity, filled with Fe3O4–water nanofluid was performed. This permitted to assess the effect of Rayleigh number, Hartmann number and round corner radius on the nanofluid flow and heat transfer. As the Rayleigh number increased from Ra = 103 to Ra = 105 and the Hartmann number decreased from Ha = 50 to Ha = 0, the parallelism of isotherms to hot and cold walls degenerates. Thus, the heat transfer becomes dominated by convection instead of conduction. Consequently, the nanofluid temperature homogeneity was improved. The flow streamlines were in the form of elliptical core vortex, oriented towards the diagonal direction of the cavity. The increase in Rayleigh number from Ra = 103 to Ra = 105 and Hartman number from Ha = 0 to Ha = 50 favors the establishment of a second vortex. The maximum value of velocity magnitude was amplified as the Rayleigh number increased from Ra = 103 to Ra = 105. As the Hartman number increased from Ha = 0 to Ha = 50, the maximum velocity magnitude zone moves away from the magnetic source, while the maximum value of velocity was reduced. As the round corner radius increased from Ha = 0 to Ha = 50 and the Hartmann number increased from Ha = 0 to Ha = 40, the parallelism of isotherms to hot and cold walls becomes more pronounced. Thus, the heat transfer becomes dominated by conduction instead of convection and the nanofluid temperature homogeneity was deteriorated. For both higher round corner radius and higher Hartmann number, two elliptical vortexes were encountered. The maximum value of velocity magnitude was reduced as the round corner radius increased from R = 0.2 to R = 0.7. As the Hartman number increased from Ha = 0 to Ha = 40, the maximum velocity magnitude zone moves away from the magnetic source, while the maximum value of velocity was decreased.

Author Contributions

Conceptualization, C.A.; methodology, R.N. and C.A.; software, C.A.; validation, C.A., R.N., Y.A.R. and F.N.; formal analysis, F.N., R.N. and Y.A.R.; investigation, F.N., Y.A.R. and R.N.; resources, Y.A.R. and C.A.; data curation, R.N.; writing—original draft preparation, R.N., Y.A.R., F.N. and C.A.; writing—review and editing, R.N., F.N. and Y.A.R.; supervision, C.A. All authors have read and agreed to the published version of the manuscript.

Funding

This research received no external funding.

Conflicts of Interest

The authors declare no conflict of interest.

Nomenclature

BMagnetic induction field
CpSpecific heat capacity
EcEckert number, indicating the relationship between the flow’s kinetic energy and the flow internal energy
gGravitational acceleration
HMagnetic field strength
HaHartman number, indicating the relationship between the Laplace force and viscous forces
kThermal conductivity
LCharacteristic length
pPressure
PrPrandtl number, indicating the relationship between momentum diffusivity and thermal diffusivity
RRound corner radius
RaRayleigh number, defined as the product of the Grashof number, relating the effects of the gravitational force to the viscosity of the fluid and the Prandtl number
STSource Term
TTemperature
ux-component of velocity
vx-component of velocity
xx-direction
yy-direction
Greek symbols
α Thermal diffusivity
β Coefficient of thermal expansion
ϕ Solid volume fraction
μ Dynamic viscosity
θ Dimensionless temperature
ρ Density
σ Electrical conductivity
υ Kinematic viscosity
Subscripts
cCold
fFluid
hHot
nfNanofluid
pParticle
0Initial
Upscripts
*Dimensionless number
Capital letterDimensionless variable

References

  1. Sattler, K.D. Handbook of Nanophysics: Nanoparticles and Quantum Dots, 1st ed.; CRC Press: Boca Raton, FL, USA, 2010; ISBN 9781420075441. [Google Scholar]
  2. Yu, W.; Xie, H. A Review on Nanofluids: Preparation, Stability Mechanisms, and Applications. J. Nanomater. 2012, 2012, 5873. [Google Scholar] [CrossRef]
  3. Raja, M.; Vijayan, R.; Dineshkumar, P.; Venkatesan, M. Review on nanofluids characterization, heat transfer characteristics and applications. Renew. Sustain. Energy Rev. 2016, 64, 163–173. [Google Scholar] [CrossRef]
  4. Yu, W.; France, D.M.; Routbort, J.L.; Choi, S.U.S. Review and Comparison of Nanofluid Thermal Conductivity and Heat Transfer Enhancements. Heat Transf. Eng. 2011, 29, 432–460. [Google Scholar] [CrossRef]
  5. Ma, Y.; Mohebbi, R.; Rashidi, M.M.; Yang, Z.; Sheremet, M.A. Numerical study of MHD nanofluid natural convection in a baffled U-shaped enclosure. Int. J. Heat Mass Transf. 2019, 130, 123–134. [Google Scholar] [CrossRef]
  6. Zhang, T.; Che, D.; Zhu, Y.; Shi, H.; Chen, D. Effects of Magnetic Field and Inclination on Natural Convection in a Cavity Filled with Nanofluids by a Double Multiple-Relaxation-Time Thermal Lattice Boltzmann Method. Heat Transf. Eng. 2019, 41, 1–40. [Google Scholar] [CrossRef]
  7. Akbarzadeh, P.; Fardi, A.H. Natural Convection Heat Transfer in 2D and 3D Trapezoidal Enclosures Filled with Nanofluid. J. Appl. Mech. Tech. Phys. 2018, 59, 292–302. [Google Scholar] [CrossRef]
  8. Sajjadi, H.; Amiri Delouei, A.; Atashafrooz, M.; Sheikholeslami, M. Double MRT Lattice Boltzmann simulation of 3-D MHD natural convection in a cubic cavity with sinusoidal temperature distribution utilizing nanofluid. Int. J. Heat Mass Transf. 2018, 126, 489–503. [Google Scholar] [CrossRef]
  9. Son, J.H.; Park, I.S. Numerical study of MHD natural convection in a rectangular enclosure with an insulated block. Numer. Heat Transf. Part A Appl. Int. J. Comput. Methodol. 2017, 71, 1004–1022. [Google Scholar] [CrossRef]
  10. Zhang, J.K.; Li, B.W.; Dong, H.; Luo, X.H.; Lin, H. Analysis of magnetohydrodynamics (MHD) natural convection in 2D cavity and 3D cavity with thermal radiation effects. Int. J. Heat Mass Transf. 2017, 112, 216–223. [Google Scholar] [CrossRef]
  11. Al-Balushi, L.M.; Uddin, M.J.; Rahman, M.M. Natural convective heat transfer in a square enclosure utilizing magnetic nanoparticles. Propuls. Power Res. 2019, 8, 194–209. [Google Scholar] [CrossRef]
  12. Matori, A.; Mohebbi, R.; Hashemi, Z.; Ma, Y. Lattice Boltzmann study of multi-walled carbon nanotube (MWCNT)-Fe3O4/water hybrid nanofluids natural convection heat transfer in a Π-shaped cavity equipped by hot obstacle. J. Therm. Anal. Calorim. 2019, 136, 2495–2508. [Google Scholar] [CrossRef]
  13. Dogonchi, A.S.; Hashim. Heat transfer by natural convection of Fe3O4-water nanofluid in an annulus between a wavy circular cylinder and a rhombus. Int. J. Heat Mass Transf. 2019, 130, 320–332. [Google Scholar] [CrossRef]
  14. Selimefendigil, F.; Oztop, H.F. Conjugate natural convection in a nanofluid filled partitioned horizontalannulus formed by two isothermal cylinder surfaces under magnetic field. Int. J. Heat Mass Transf. 2017, 108, 156–171. [Google Scholar] [CrossRef]
  15. Mahmoudi, A.; Mejri, I.; Abbassi, M.A.; Omri, A. Lattice Boltzmann simulation of MHD natural convection in a nanofluid-filled cavity with linear temperature distribution. Powder Technol. 2014, 256, 257–271. [Google Scholar] [CrossRef]
  16. Mejri, I.; Mahmoudi, A.; Abbassi, M.A.; Omri, A. Magnetic field effect on entropy generation in a nanofluid-filled enclosure with sinusoidal heating on both side walls. Powder Technol. 2014, 266, 340–353. [Google Scholar] [CrossRef]
  17. Mliki, B.; Abbassi, M.A.; Guedri, K.; Omri, A. Lattice Boltzmann simulation of natural convection in an L-shaped enclosure in the presence of nanofluid. Eng. Sci. Technol. Int. J. 2015, 18, 503–511. [Google Scholar] [CrossRef]
  18. Mliki, B.; Abbassi, M.A.; Omri, A.; Belkacem, Z. Lattice Boltzmann analysis of MHD natural convection of CuO-water nanofluid in inclined C-shaped enclosures under the effect of nanoparticles Brownian motion. Powder Technol. 2017, 308, 70–83. [Google Scholar] [CrossRef]
  19. Nasri, F.; Alqurashi, F.; Nciri, R.; Ali, C. Design and simulation of a novel solar air-conditioning system coupled with solar chimney. Sustain. Cities Soc. 2018, 40, 667–676. [Google Scholar] [CrossRef]
Figure 1. System description.
Figure 1. System description.
Applsci 10 03236 g001
Figure 2. Meshing of the nanofluid domain.
Figure 2. Meshing of the nanofluid domain.
Applsci 10 03236 g002
Figure 3. Effect of Hartmann number and Rayleigh number on the isotherm contours.
Figure 3. Effect of Hartmann number and Rayleigh number on the isotherm contours.
Applsci 10 03236 g003
Figure 4. Effect of Hartmann number and Rayleigh number on the surface temperature distribution.
Figure 4. Effect of Hartmann number and Rayleigh number on the surface temperature distribution.
Applsci 10 03236 g004
Figure 5. Effect of Hartmann number and Rayleigh number on the flow streamlines.
Figure 5. Effect of Hartmann number and Rayleigh number on the flow streamlines.
Applsci 10 03236 g005
Figure 6. Effect of Hartmann number and Rayleigh number on the surface velocity magnitude distribution.
Figure 6. Effect of Hartmann number and Rayleigh number on the surface velocity magnitude distribution.
Applsci 10 03236 g006
Figure 7. Effect of Hartmann number and round corner radius on the isothermal contours.
Figure 7. Effect of Hartmann number and round corner radius on the isothermal contours.
Applsci 10 03236 g007
Figure 8. Effect of Hartmann number and round corner radius on the surface temperature distribution.
Figure 8. Effect of Hartmann number and round corner radius on the surface temperature distribution.
Applsci 10 03236 g008
Figure 9. Effect of Hartmann number and Rayleigh number on the surface velocity streamlines.
Figure 9. Effect of Hartmann number and Rayleigh number on the surface velocity streamlines.
Applsci 10 03236 g009
Figure 10. Effect of Hartmann number and round corner radius on the surface velocity magnitude distribution.
Figure 10. Effect of Hartmann number and round corner radius on the surface velocity magnitude distribution.
Applsci 10 03236 g010
Figure 11. Effect of Hartmann number and Rayleigh number on velocity and temperature along the diagonal line.
Figure 11. Effect of Hartmann number and Rayleigh number on velocity and temperature along the diagonal line.
Applsci 10 03236 g011
Table 1. Thermophysical properties of the fluid and the magnetic particles.
Table 1. Thermophysical properties of the fluid and the magnetic particles.
Thermophysical PropertiesFluidMagnetic Particles (Fe2O3)
Density ρ997.1 kg/m35180 kg/m3
Thermal conductivity k0.613 W/mK9.7 W/mK
Specific heat capacity Cp4179 J/kgK670 J/kgK

Share and Cite

MDPI and ACS Style

Nasri, F.; Ali Rothan, Y.; Nciri, R.; Ali, C. MHD Natural Convection of a Fe3O4–Water Nanofluid within an Inside Round Diagonal Corner Square Cavity with Existence of Magnetic Source. Appl. Sci. 2020, 10, 3236. https://doi.org/10.3390/app10093236

AMA Style

Nasri F, Ali Rothan Y, Nciri R, Ali C. MHD Natural Convection of a Fe3O4–Water Nanofluid within an Inside Round Diagonal Corner Square Cavity with Existence of Magnetic Source. Applied Sciences. 2020; 10(9):3236. https://doi.org/10.3390/app10093236

Chicago/Turabian Style

Nasri, Faouzi, Yahya Ali Rothan, Rached Nciri, and Chaouki Ali. 2020. "MHD Natural Convection of a Fe3O4–Water Nanofluid within an Inside Round Diagonal Corner Square Cavity with Existence of Magnetic Source" Applied Sciences 10, no. 9: 3236. https://doi.org/10.3390/app10093236

APA Style

Nasri, F., Ali Rothan, Y., Nciri, R., & Ali, C. (2020). MHD Natural Convection of a Fe3O4–Water Nanofluid within an Inside Round Diagonal Corner Square Cavity with Existence of Magnetic Source. Applied Sciences, 10(9), 3236. https://doi.org/10.3390/app10093236

Note that from the first issue of 2016, this journal uses article numbers instead of page numbers. See further details here.

Article Metrics

Back to TopTop