Unsteady Aerodynamic Characteristics Simulations of Rotor Airfoil under Oscillating Freestream Velocity
Abstract
1. Introduction
2. Aerodynamic Environment of Helicopter Rotor
3. Numerical Simulation Method
4. Analyses and Discussions
4.1. The Dynamic Stall Characteristics of Airfoil Under 3D Conditions
4.2. Aerodynamic Loads of Airfoil under Coupled Condition
4.2.1. Case 1
4.2.2. Case 2
4.3. Vortex Characters of Dynamic Stall under the OFV Condition
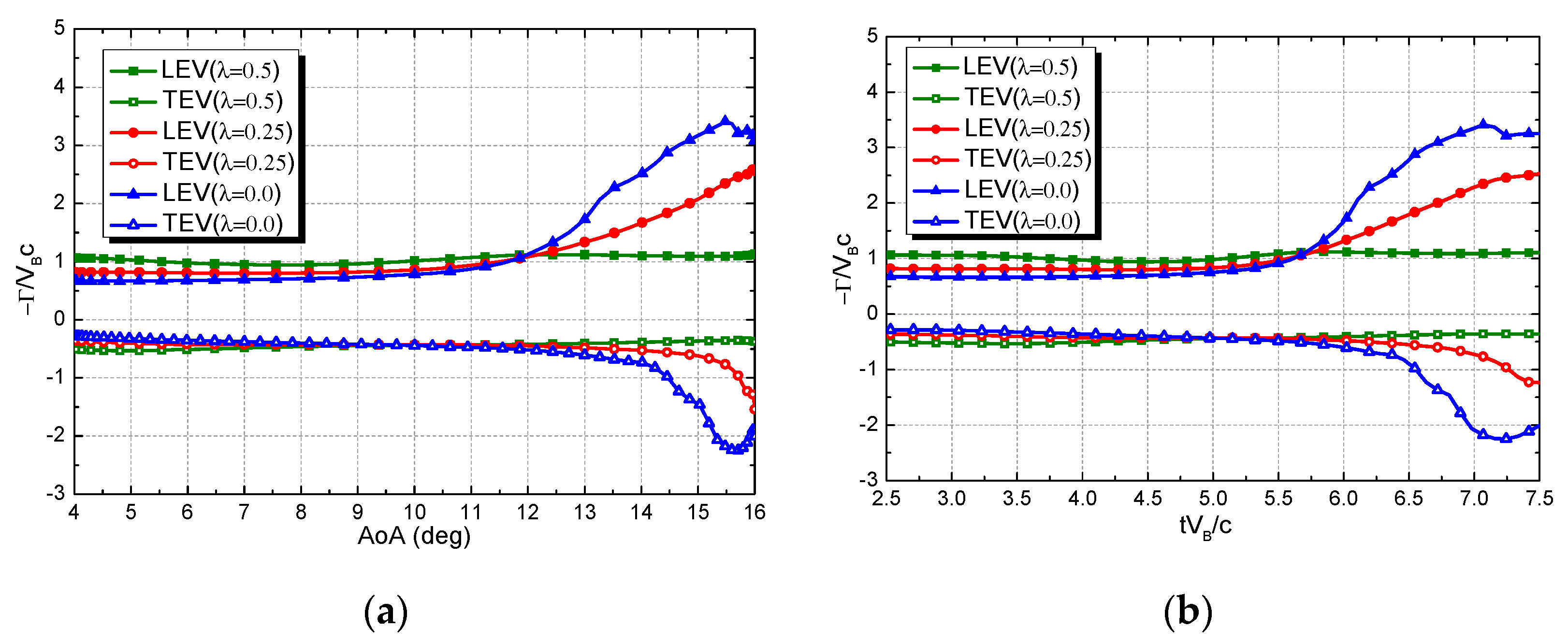
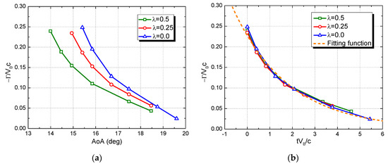
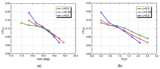
4.3.1. Circulation of Flowfield
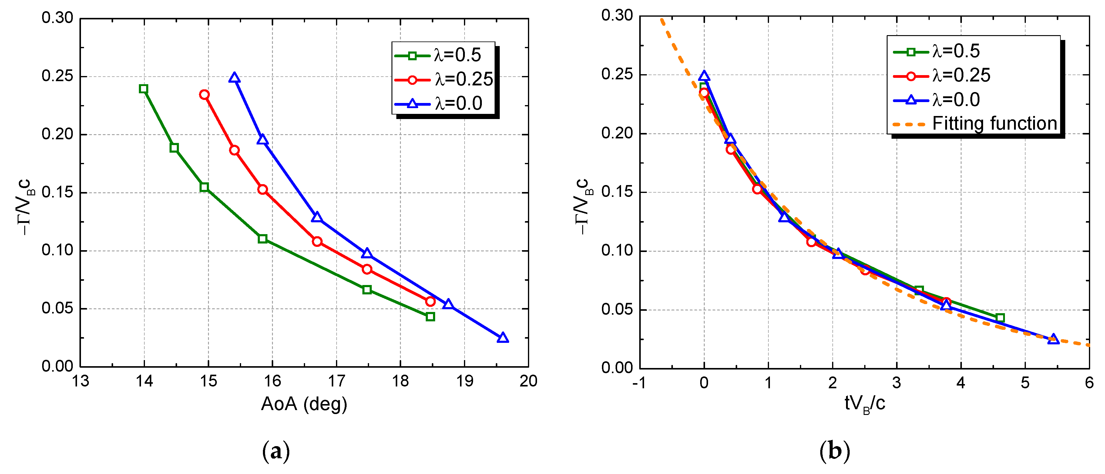
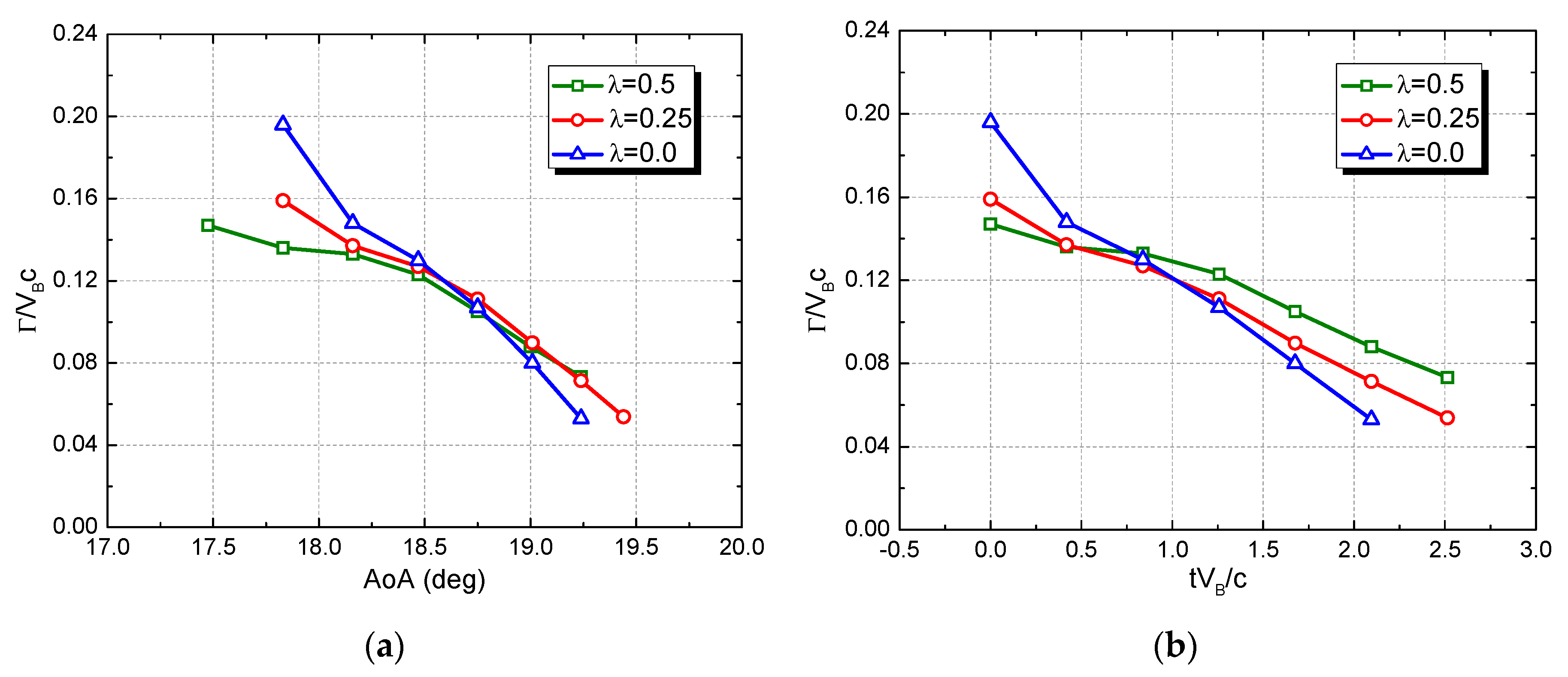
4.3.2. Dissipation Process of Separated Vortex
5. Conclusions
- (1).
- By comparing the simulated result, it is indicated that the dynamic stall characteristics of the OA209 airfoil would be enhanced with increased oscillating velocity when the maximum negative pressure exceeds the critical value (−1.08). On the contrary, it would be inhibited when the maximum negative pressure is less than this critical value.
- (2).
- By comparing the dissipation processes of vortex circulation at a fixed integral window, it indicates that the dissipation of LEV presents as exponent characteristics under different oscillating velocities. Meanwhile, the dissipation rate of LEV is not sensitive to different oscillating velocities. However, the dissipation rate of TEV would be reduced by increasing the oscillating velocity.
Author Contributions
Funding
Conflicts of Interest
Nomenclature
| sound velocity of far flowfield, normalized by | |
| AoA | angle of attack |
| airfoil chord length, dimensionless standard | |
| drag coefficient, normalized by | |
| lift coefficient, normalized by | |
| pitch moment, normalized by | |
| pressure coefficient, normalized by | |
| pressure coefficient, normalized by | |
| k | reduced frequency |
| LEV | leading edge vortex |
| Mach number | |
| basic Mach number | |
| oscillating Mach number | |
| P | pressure of airflow, normalized by |
| R | radius of rotor, normalized by c |
| t | time, dimensionless standard |
| TEV | trailing edge vortex |
| basic velocity | |
| relative velocity of far flowfield, dimensionless standard | |
| angle of attack, degree | |
| mean angle of attack, degree | |
| amplitude of pitch oscillation, degree | |
| normalized oscillating velocity | |
| airflow density of far flowfield; dimensionless standard | |
| angular velocity, rad/s | |
| vorticity, normalized by | |
| vortex circulation, normalized by | |
| original vortex circulation, normalized by | |
| dissipation coefficient |
References
- Conlisk, A.T. Modern Helicopter Aerodynamics. Annu. Rev. Fluid Mech. 1997, 29, 515–567. [Google Scholar] [CrossRef]
- Leishman, J.G. Principles of Helicopter Aerodynamics; Cambridge University Press: New York, NY, USA, 2006. [Google Scholar]
- McCroskey, W.J.; Carr, L.W.; McAlister, K.W. Dynamic Stall Experiments on Oscillating Airfoil. AIAA J. 1976, 14, 57–63. [Google Scholar] [CrossRef]
- Geissler, W.; Haselmeyer, H. Investigation of Dynamic stall Onset. Aerosp. Sci. Technol. 2006, 10, 590–600. [Google Scholar] [CrossRef]
- Baik, Y.S.; Rausch, J.M.; Bernal, L.P. Experimental Investigation of Pitching and Plunging Airfoils at Reynolds Number Between 1×104 and 6×104. In Proceedings of the 39th AIAA Fluid Dynamics Conference, San Antonio, TX, USA, 22–25 June 2009. [Google Scholar]
- Naughton, J.; Strike, J.; Hind, M.; Magstadt, A.; Babbitt, A. Measurements of Dynamic Stall on the DU Wind Turbine Airfoil Series. In Proceedings of the 69th American Helicopter Society Annual Forum, Phoenix, AZ, USA, 21–23 May 2013. [Google Scholar]
- Beddoes, T.S. Representation of Airfoil Behaviour. Vertica 1983, 7, 183–197. [Google Scholar]
- Leishman, J.G. Validation of Approximate Indicial Aerodynamic Functions for Two-Dimensional Subsonic Flow. J. Aircr. 1988, 25, 914–922. [Google Scholar] [CrossRef]
- Ramesh, K.; Gopalarathnam, A.; Granlund, K.; Ol, M.V.; Edwards, J.R. Discrete-vortex Method with Novel Shedding Criterion for Unsteady Aerofoil Flows with Intermittent Leading-edge Vortex Shedding. J. Fluid Mech. 2014, 751, 500–538. [Google Scholar] [CrossRef]
- Ramesh, K.; Murua, J.; Gopalarathnam, A. Limit-cycle Oscillations in Unsteady Flows Dominated by Intermittent Leading-edge Vortex Shedding. J. Fluids Struct. 2015, 55, 84–105. [Google Scholar] [CrossRef][Green Version]
- Narsipur, S.; Gopalarathnam, A.; Edwards, J.A. A Time-Lag Approach for Prediction of Trailing Edge Separation in Unsteady Flow. In Proceedings of the 32nd AIAA Applied Aerodynamics Conference, Atlanta, GA, USA, 16–20 June 2014. [Google Scholar]
- Narsipur, S.; Gopalarathnam, A.; Edwards, J.A. Low-Order Modeling of Airfoils with Massively Separated Flow and LeadingEdge Vortex Shedding. In Proceedings of the 2018 AIAA Aerospace Sciences Meeting, Kissimmee, FL, USA, 8–12 January 2018. [Google Scholar]
- Costes, M.; Richez, F.; Le Pape, A.; Gavériaux, R. Numerical Investigation of Three-dimensional Effects During Dynamic stall. Aerosp. Sci. Technol. 2015, 47, 216–237. [Google Scholar] [CrossRef]
- AlMutairi, J.; ElJack, E.; AlQadi, I. Dynamics of Laminar Separation Bubble over NACA-0012 Airfoil Near Stall Conditions. Aerosp. Sci. Technol. 2017, 68, 193–203. [Google Scholar] [CrossRef]
- Amiri, H.A.; Shafaghat, R.; Alamian, R.; Taheri, S.M. Study of horizontal axis tidal turbine performance and investigation on the optimum fixed pitch angle using CFD: A case study of Iran. Int. J. Numer. Methods Heat Fluid Flow 2020, 30, 206–227. [Google Scholar] [CrossRef]
- Favier, D.; Maresca, C.; Rebont, J. Dynamic Stall Due to Fluctuations of Velocity and Incidence. AIAA J. 1982, 20, 865–871. [Google Scholar] [CrossRef]
- Gursul, I.; Ho, C.M. High Aerodynamic Loads on An Airfoil Submerged in An Unsteady Stream. AIAA J. 1992, 30, 1117–1119. [Google Scholar] [CrossRef]
- Gursul, I.; Lin, H.; Ho, C.M. Effects of Time Scales on Lift of Airfoils in An Unsteady Stream. AIAA J. 1994, 32, 797–801. [Google Scholar] [CrossRef]
- Gharali, K.; Johnson, D.A. Dynamic Stall Simulation of a Pitching Airfoil Under Unsteady Freestream Velocity. J. Fluids Struct. 2013, 42, 228–244. [Google Scholar] [CrossRef]
- Gompertz, K.A.; Jensen, C.D.; Gregory, J.W.; Bons, J.P. Compressible Dynamic Stall Mechanisms Due to Airfoil Pitching and Freestream Mach Oscillations. In Proceedings of the 68th American Helicopter Society Annual Forum, Fort Worth, TX, USA, 1–3 May 2012. [Google Scholar]
- Hird, K.; Frankhouser, M.W.; Gregory, J.W.; Bons, J.P. Compressible Dynamic Stall of an SSC-A09 Airfoil Subjected to Coupled Pitch and Freestream Mach Oscillations. In Proceedings of the 70th American Helicopter Society Annual Forum, Montreal, QC, Canada, 20–22 May 2014. [Google Scholar]
- Wong, J.G.; Mohebbian, A.; Kriegseis, J.; Rival, D.E. Rapid Flow Separation for Transient Inflow Conditions Versus Accelerating Bodies: An Investigation into Their Equivalency. J. Fluids Struct. 2013, 40, 257–268. [Google Scholar] [CrossRef]
- Jones, A.; Hodara, J.; Smith, M.; Granlund, K.; Mulleners, K.; Ol, M. Blade Sections in Streamwise Oscillations into Reverse Flow. In Proceedings of the 71st American Helicopter Society Annual Forum, Virginia Beach, VA, USA, 5–7 May 2015. [Google Scholar]
- Mulleners, K.; Ol, M.; Jones, A. Experimental Analysis of the Flow Development on An Airfoil Harmonically Surging into Reverse Flow. In Proceedings of the AIAA SciTech, San Diego, CA, USA, 4–8 January 2016. [Google Scholar]
- Granlund, K.; Ol, M.; Monnier, B.; Williams, D. Airfoil Longitudinal Gust Response in Separated vs. Attached Flows. In Proceedings of the 42nd AIAA Fluid Dynamics Conference and Exhibit, New Orleans, LA, USA, 25–28 June 2012. [Google Scholar]
- Ahmad, J.; Duque, E.P.N. Helicopter Rotor Blade Computation in Unsteady Flows Using Moving Overset Grids. J. Aircr. 1996, 33, 54–60. [Google Scholar] [CrossRef]
- Pomin, H.; Wagner, S. Navier-Stokes Analysis of Helicopter Rotor Aerodynamics in Hover and Forward Flight. J. Aircr. 2001, 39, 813–821. [Google Scholar] [CrossRef]
- Thompson, J.F. Grid Generation Techniques in Computational Fluid Dynamics. AIAA J. 1984, 22, 1505–1523. [Google Scholar] [CrossRef]
- Zhao, Q.J.; Xu, G.H.; Zhao, J.G. New Hybrid Method for Predicting the Flowfields of Helicopter Rotors. J. Aircr. 2006, 43, 372–380. [Google Scholar] [CrossRef]
- Wang, Q.; Zhao, Q.J. Unsteady Aerodynamic Characteristics Investigation of Rotor Airfoil Under Variational Freestream Velocity. Aerosp. Sci. Technol. 2016, 58, 82–91. [Google Scholar] [CrossRef]
- Zhao, Q.J.; Zhao, G.Q.; Wang, B.; Wang, Q.; Shi, Y.J.; Xu, G.H. Robust Navier-Stokes method for predicting unsteady flowfield and aerodynamic characteristics of helicopter rotor. Chin. J. Aeronaut. 2018, 31, 214–224. [Google Scholar] [CrossRef]
- Yoon, S.; Jameson, A. Lower-Upper Symmetric-Gauss-Seidel Method for The Euler and Navier-Stokes Equations. AIAA J. 1988, 26, 1025–1026. [Google Scholar] [CrossRef]
- Stoll, P.; Gerlinger, P.; Bruggemann, D. Domain Decomposition for An Implicit LU-SGS Scheme Using Overlapping Grids. In Proceedings of the 13th Computational Fluid Dynamics Conference, Snowmass Village, CO, USA, 29 June–2 July 1997; pp. 97–1896. [Google Scholar]
- Wadcock, A.J. Flying-Hot-Wire Study of Two-Dimensional Turbulent Separation on an NACA4412 Airfoil at Maximum Lift. Ph.D. Thesis, California Institute of Technology, Pasadena, CA, USA, 1978. [Google Scholar]
- McAlister, K.W.; Pucci, S.L.; McCroskey, W.J.; Carr, L.W. An. Experimental Study of Dynamic Stall on Advanced Airfoil Sections Volume 2: Pressure and Force Data; NASA TM-84245; NASA: Moffett Field, CA, USA, 1982.
- Van der Wall, B.G.; Leishman, J.G. On the Influence of Time-Varying Flow Velocity on Unsteady Aerodynamics. J. Am. Helicopter Soc. 1994, 39, 25–36. [Google Scholar] [CrossRef]
- Heffernan, R.M.; Gaubert, M. Structural and Aerodynamic Loads and Performance Measurements of an SA349/2 Helicopter with an Advanced Geometry Rotor; NASA TM-88370; NASA: Moffett Field, CA, USA, 1 November 1986.
- Gardner, A.D.; Richter, K. Influence of Rotation on Dynamic Stall. In Proceedings of the 68th American Helicopter Society International Annual Forums, Fort Worth, TX, USA, 1–3 May 2012. [Google Scholar]
- Prangemeire, T.; Rival, D.; Tropea, C. The Manipulation of Trailing-Edge Vortices for an Airfoil in Plunging Motion. J. Fluids Struct. 2010, 26, 193–204. [Google Scholar] [CrossRef]





















| Blade Section | k | ||
|---|---|---|---|
| 0.6 R | 0.36 | 0.5 | 0.0556 |
| 0.7 R | 0.42 | 0.43 | 0.0476 |
| LEV | 14.47° | 14.07° | 12.84° |
| TEV | 15.25° | 14.87° | 13.66° |
| Loads | ||||||
|---|---|---|---|---|---|---|
| Peak | Increment | Peak | Increment | Peak | Increment | |
| Cl | 2.06 | 0.0 | 2.21 | 7.3% | 2.38 | 15.5% |
| Cd | 0.67 | 0.0 | 0.75 | 11.9% | 0.81 | 20.9% |
| Cm | −0.54 | 0.0 | −0.61 | 13.0% | −0.82 | 51.9% |
© 2020 by the authors. Licensee MDPI, Basel, Switzerland. This article is an open access article distributed under the terms and conditions of the Creative Commons Attribution (CC BY) license (http://creativecommons.org/licenses/by/4.0/).
Share and Cite
Wang, Q.; Zhao, Q. Unsteady Aerodynamic Characteristics Simulations of Rotor Airfoil under Oscillating Freestream Velocity. Appl. Sci. 2020, 10, 1822. https://doi.org/10.3390/app10051822
Wang Q, Zhao Q. Unsteady Aerodynamic Characteristics Simulations of Rotor Airfoil under Oscillating Freestream Velocity. Applied Sciences. 2020; 10(5):1822. https://doi.org/10.3390/app10051822
Chicago/Turabian StyleWang, Qing, and Qijun Zhao. 2020. "Unsteady Aerodynamic Characteristics Simulations of Rotor Airfoil under Oscillating Freestream Velocity" Applied Sciences 10, no. 5: 1822. https://doi.org/10.3390/app10051822
APA StyleWang, Q., & Zhao, Q. (2020). Unsteady Aerodynamic Characteristics Simulations of Rotor Airfoil under Oscillating Freestream Velocity. Applied Sciences, 10(5), 1822. https://doi.org/10.3390/app10051822

