Adaptive Dual-Mode Routing-Based Mobile Data Gathering Algorithm in Rechargeable Wireless Sensor Networks for Internet of Things
Abstract
1. Introduction
2. Related Work
3. System Model
3.1. Energy Transfer Model
3.2. Traffic Load Model
4. Energy Replenishment Strategy
4.1. Charging Cell Selection
4.2. Sojourn Time and Charging Power Allocation
5. Adaptive Dual-Mode Routing-Based Mobile Data Gathering Algorithm
5.1. Direct Upload Mode Threshold
5.2. Multi-Hop Mode Based on Energy Endurance
5.3. Routing Set-Up and Update
| Algorithm 1: Adaptive dual-mode routing-based mobile data gathering algorithm. | 
| Inputs: Sensor list , Anchor point set , | 
| Outputs: Network Routing ; | 
| for all | 
| if or then ; | 
| else; | 
| end if | 
| end for | 
6. Performance Evaluation
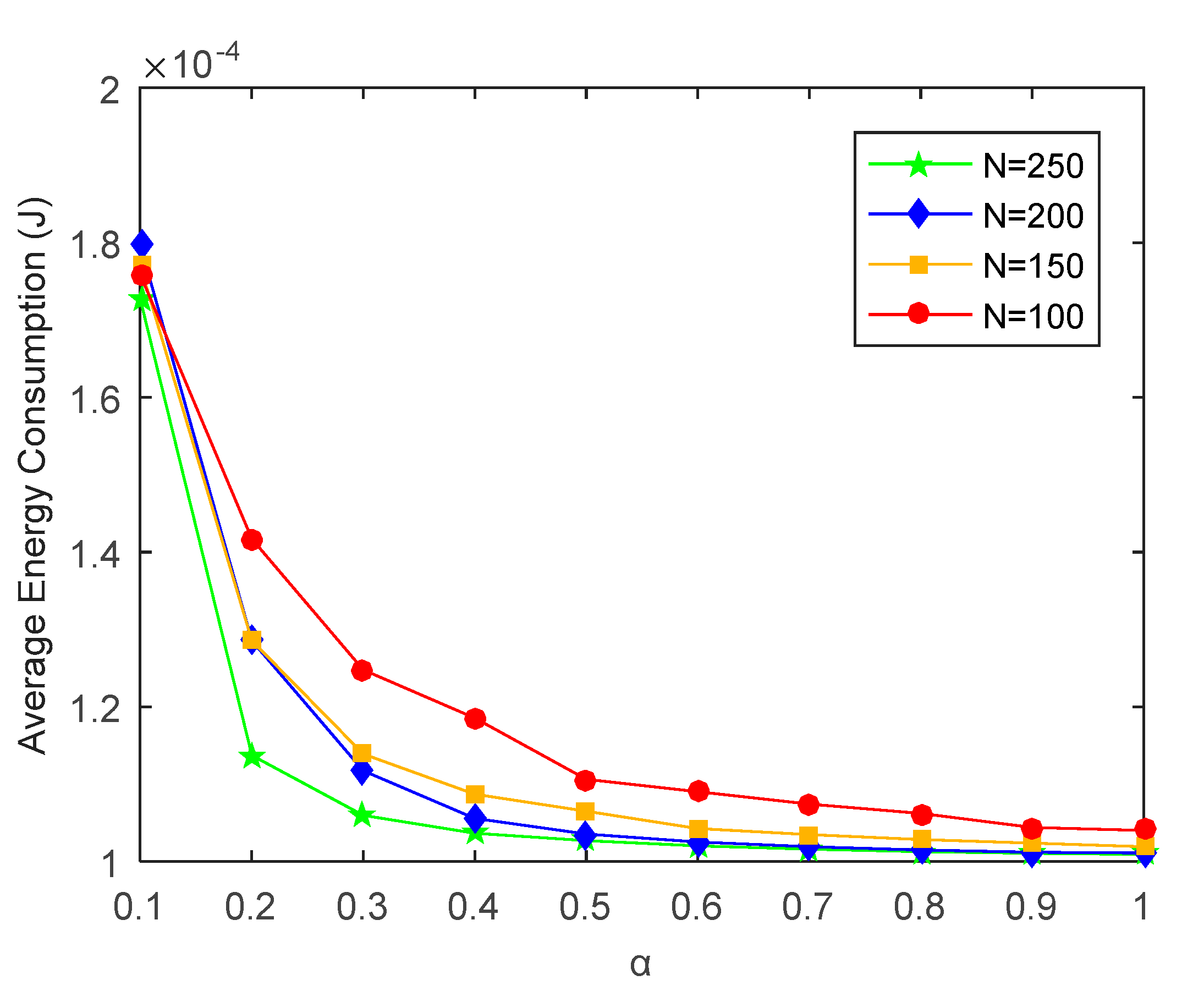
6.1. Algorithm Performance Analysis with Different
6.2. Performance Comparison Analysis of Different Algorithms
7. Conclusions
Author Contributions
Funding
Conflicts of Interest
References
- Pantazis, N.A.; Nikolidakis, S.A.; Vergados, D.D. Energy-Efficient Routing Protocols in Wireless Sensor Networks: A Survey. IEEE Commun. Surv. Tutor. 2013, 15, 551–591. [Google Scholar] [CrossRef]
- Bandyopadhyay, D.; Sen, J. Internet of Things: Applications and challenges in technology and standardization. Wirel. Pers. Commun. 2011, 58, 49–69. [Google Scholar] [CrossRef]
- Han, G.J.; Li, Z.F.; Jiang, J.F.; Shu, L.; Zhang, W. MCRA: A Multi-charger Cooperation Recharging Algorithm based on Area Division for WSNs. IEEE Access 2017, 5, 15380–15389. [Google Scholar] [CrossRef]
- Anastasi, G.; Conti, M.; Di Francesco, M.; Passarella, A. Energy conservation in wireless sensor networks: A survey. Ad Hoc Netw. 2009, 7, 537–568. [Google Scholar] [CrossRef]
- Kurs, A.; Karalis, A.; Moffatt, R.; Joannopoulos, J.D.; Fisher, P.; Soljačic, M. Wireless power transfer via strongly coupled magnetic resonances. Science 2007, 317, 83–86. [Google Scholar] [CrossRef]
- Kurs, A.; Moffatt, R.; Soljačic, M. Simultaneous mid-range power transfer to multiple devices. Appl. Phys. Lett. 2010, 96, 34. [Google Scholar] [CrossRef]
- Ding, W.; Tang, L.; Feng, S. Traffic-Aware and Energy-Efficient Routing Algorithm for Wireless Sensor Networks. Wirel. Pers. Commun. 2015, 85, 2669–2686. [Google Scholar] [CrossRef]
- Cengiz, K.; Dag, T. Energy Aware Multi-Hop Routing Protocol for WSNs. IEEE Access 2018, 6, 2622–2633. [Google Scholar] [CrossRef]
- Nandrajog, A.S.; Gite, R. Life Time Performance Analysis of WSN by Energetic Data Collection Using Mobile Sink in NS2. In Proceedings of the 2017 International Conference on Intelligent Computing and Control Systems (ICICCS), Madurai, India, 15–16 June 2017. [Google Scholar]
- Magadevi, N.; Kumar, V.J.S.; Suresh, A. Maximizing the Network Life Time of Wireless Sensor Networks Using a Mobile Charger. Wirel. Pers. Commun. 2017, 102, 1029–1039. [Google Scholar] [CrossRef]
- Liu, T.; Wu, B.; Wu, H.; Peng, J. Erratum to Low-Cost Collaborative Mobile Charging for Large-Scale Wireless Sensor Networks. IEEE Trans. Mob. Comput. 2017, 99, 2213–2227. [Google Scholar] [CrossRef]
- Tu, W.; Xu, X.; Ye, T.; Cheng, Z. A Study on Wireless Charging for Prolonging the Lifetime of Wireless Sensor Networks. Sensors 2017, 17, 1560. [Google Scholar] [CrossRef] [PubMed]
- Xie, L.; Shi, Y.; Hou, Y.T.; Sherali, H.D. Making Sensor Networks Immortal: An Energy-Renewal Approach with Wireless Power Transfer. IEEE/ACM Trans. Netw. 2012, 20, 1748–1761. [Google Scholar] [CrossRef]
- Zhang, S.; Qian, Z.; Kong, F.; Wu, J.; Lu, S.; Sheng, Z. P3: Joint Optimization of Charger Placement and Power Allocation for Wireless Power Transfer. In Proceedings of the 2015 IEEE Conference on Computer Communications (INFOCOM), Hong Kong, China, 26 April–1 May 2015. [Google Scholar]
- Cai, B.; Mao, S.-L.; Li, X.-H.; Ding, Y.-M. Dynamic energy balanced max flow routing in energy-harvesting sensor networks. Int. J. Distrib. Sens. Netw. 2017, 13, 11. [Google Scholar] [CrossRef][Green Version]
- Haseeb, K.; Islam, N.; Almogren, A.; Din, I.U.; Almajed, H.N.; Guizani, N. Secret Sharing-Based Energy-Aware and Multi-Hop Routing Protocol for IoT Based WSNs. IEEE Access 2019, 7, 79980–79988. [Google Scholar] [CrossRef]
- Behera, T.M.; Mohapatra, S.K.; Samal, U.C.; Khan, M.S.; Daneshmand, M.; Gandomi, A.H. Residual Energy-Based Cluster-Head Selection in WSNs for IoT Application. IEEE Internet Things J. 2019, 6, 5132–5138. [Google Scholar] [CrossRef]
- Wu, R.; Guo, H.; Tang, L.; Fan, B. Autonomous Load Regulation Based Energy Balanced Routing in Rechargeable Wireless Sensor Networks. Appl. Sci. 2019, 9, 16. [Google Scholar] [CrossRef]
- Aslam, N.; Xia, K.; Haider, M.T. Energy-Aware Adaptive Weighted Grid Clustering Algorithm for Renewable Wireless Sensor Networks. Sensors 2017, 4, 54. [Google Scholar] [CrossRef]
- Tang, L.; Chen, Z.; Cai, J. Adaptive Energy Balanced Routing Strategy for Wireless Rechargeable Sensor Networks. Appl. Sci. 2019, 9, 2133. [Google Scholar] [CrossRef]
- Tang, L.; Cai, J.; Yan, J. Joint Energy Supply and Routing Path Selection for Rechargeable Wireless Sensor Networks. Sensors 2018, 18, 1962. [Google Scholar] [CrossRef]
- He, T.; Chin, K.W.; Soh, S. On Wireless Power Transfer and Max Flow in Rechargeable Wireless Sensor Networks. IEEE Access 2016, 4, 4155–4167. [Google Scholar] [CrossRef]
- Guo, S.; Wang, C.; Yang, Y. Joint Mobile Data Gathering and Energy Provisioning in Wireless Rechargeable Sensor Networks. IEEE Trans. Mob. Comput. 2014, 13, 2836–2852. [Google Scholar] [CrossRef]
- Zhong, P.; Li, Y.-T.; Liu, W.-R.; Duan, G.-H.; Chen, Y.-W.; Xiong, N. Joint Mobile Data Collection and Wireless Energy Transfer in Wireless Rechargeable Sensor Networks. Sensors 2017, 17, 1881. [Google Scholar] [CrossRef] [PubMed]
- Xie, L.; Shi, Y.; Hou, Y.T.; Lou, W.; Sherali, H.D.; Midkiff, S. Multi-Node Wireless Energy Charging in Sensor Networks. IEEE/ACM Trans. Netw. 2015, 23, 437–450. [Google Scholar] [CrossRef]
- Tang, L.R.; Liu, H.T.; Yan, J.Y. Gravitation Theory Based Routing Algorithm for Active Wireless Sensor Networks. Wirel. Pers. Commun. 2017, 97, 269–280. [Google Scholar] [CrossRef]
- He, S.; Chen, J.; Jiang, F.; Yau, D.K.; Xing, G.; Sun, Y. Energy Provisioning in Wireless Rechargeable Sensor Networks. IEEE Trans. Mob. Comput. 2013, 12, 1931–1942. [Google Scholar] [CrossRef]
- Heinzelman, W.; Chandrakasan, A.; Balakrishnan, H. Energy-Efficient Communication Protocol for Wireless Microsensor Networks. In Proceedings of the International Conference on System Sciences, Maui, HI, USA, 4–7 January 2000. [Google Scholar]









| Simulation Parameters | Value | 
|---|---|
| 4.32 × 10−4 | |
| 0.2316 | |
| N | 100–250 | 
| R | 30 m | 
| Eo | 0.1 J | 
| T | 800 s | 
| To | 3 s | 
| 5 m/s | |
| 5 m | |
| P | 0–0.5 W | 
© 2020 by the authors. Licensee MDPI, Basel, Switzerland. This article is an open access article distributed under the terms and conditions of the Creative Commons Attribution (CC BY) license (http://creativecommons.org/licenses/by/4.0/).
Share and Cite
Tang, L.; Guo, H.; Wu, R.; Fan, B. Adaptive Dual-Mode Routing-Based Mobile Data Gathering Algorithm in Rechargeable Wireless Sensor Networks for Internet of Things. Appl. Sci. 2020, 10, 1821. https://doi.org/10.3390/app10051821
Tang L, Guo H, Wu R, Fan B. Adaptive Dual-Mode Routing-Based Mobile Data Gathering Algorithm in Rechargeable Wireless Sensor Networks for Internet of Things. Applied Sciences. 2020; 10(5):1821. https://doi.org/10.3390/app10051821
Chicago/Turabian StyleTang, Liangrui, Haobo Guo, Runze Wu, and Bing Fan. 2020. "Adaptive Dual-Mode Routing-Based Mobile Data Gathering Algorithm in Rechargeable Wireless Sensor Networks for Internet of Things" Applied Sciences 10, no. 5: 1821. https://doi.org/10.3390/app10051821
APA StyleTang, L., Guo, H., Wu, R., & Fan, B. (2020). Adaptive Dual-Mode Routing-Based Mobile Data Gathering Algorithm in Rechargeable Wireless Sensor Networks for Internet of Things. Applied Sciences, 10(5), 1821. https://doi.org/10.3390/app10051821
 
        
 
       