Analysis of the Composite Boring Bar Dynamic Characteristics Considering Shear Deformation and Rotational Inertia
Abstract
1. Introduction
2. Modelling of Boring Bar
2.1. Model of Boring Bar with Shear Deformation and Rotational Inertia
2.2. Boring Bar without Shear Deformation and Rotational Inertia
2.3. Mechanical Calculation of Composite Boring Bars
3. Analysis of Vibration Mode Shapes
4. Analysis of the Natural Frequency of Two Boring Bar Models
4.1. Comparison of Natural Frequency for Different L/D Ratios
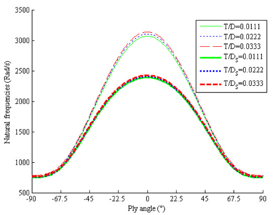
4.2. Comparison of Natural Frequencies at Different T/D Ratios
4.3. Comparison of Natural Frequencies for Different Composite Materials
5. Analysis of Chatter Stability of Two Boring Bar Models
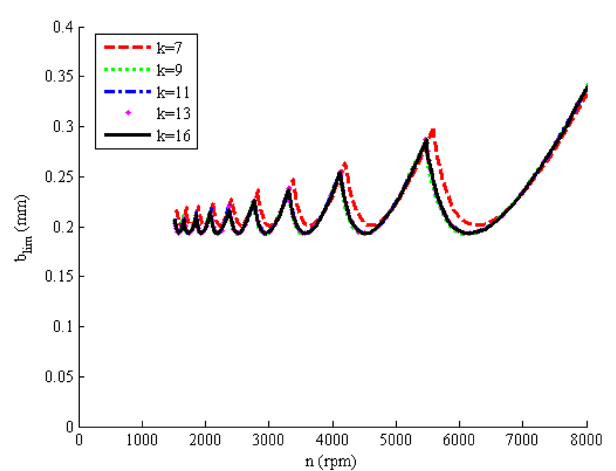
5.1. Convergence of the Chatter Stability
5.2. Comparison of Chatter Stability with Different Ply Angles
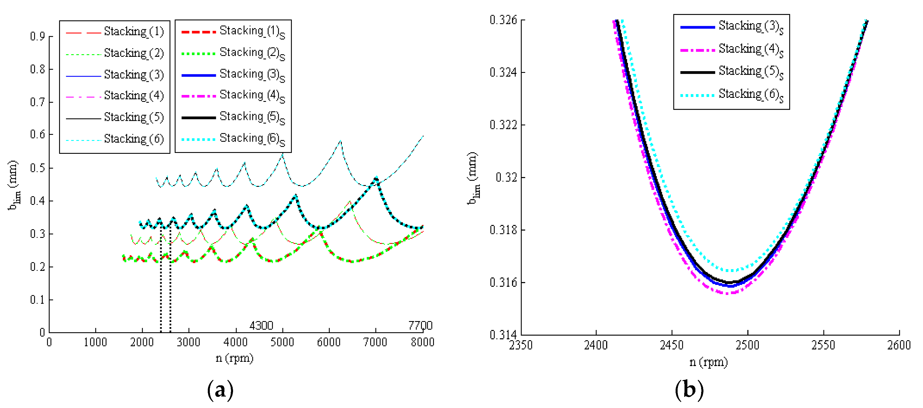
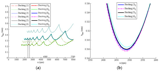
5.3. Comparison of Chatter Stability with Different Stacking Sequences
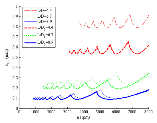
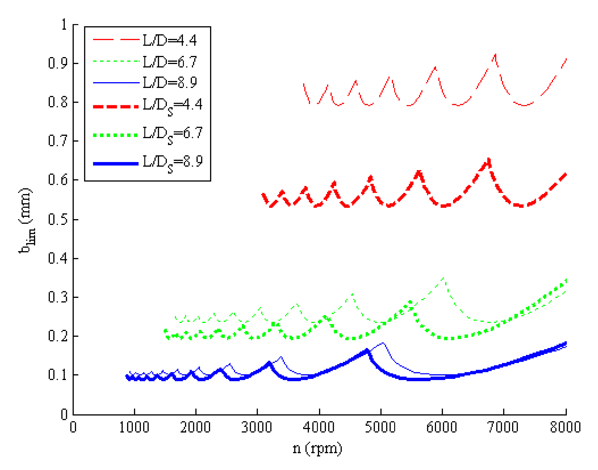
5.4. Comparison of Chatter Stability for Different L/D Ratios
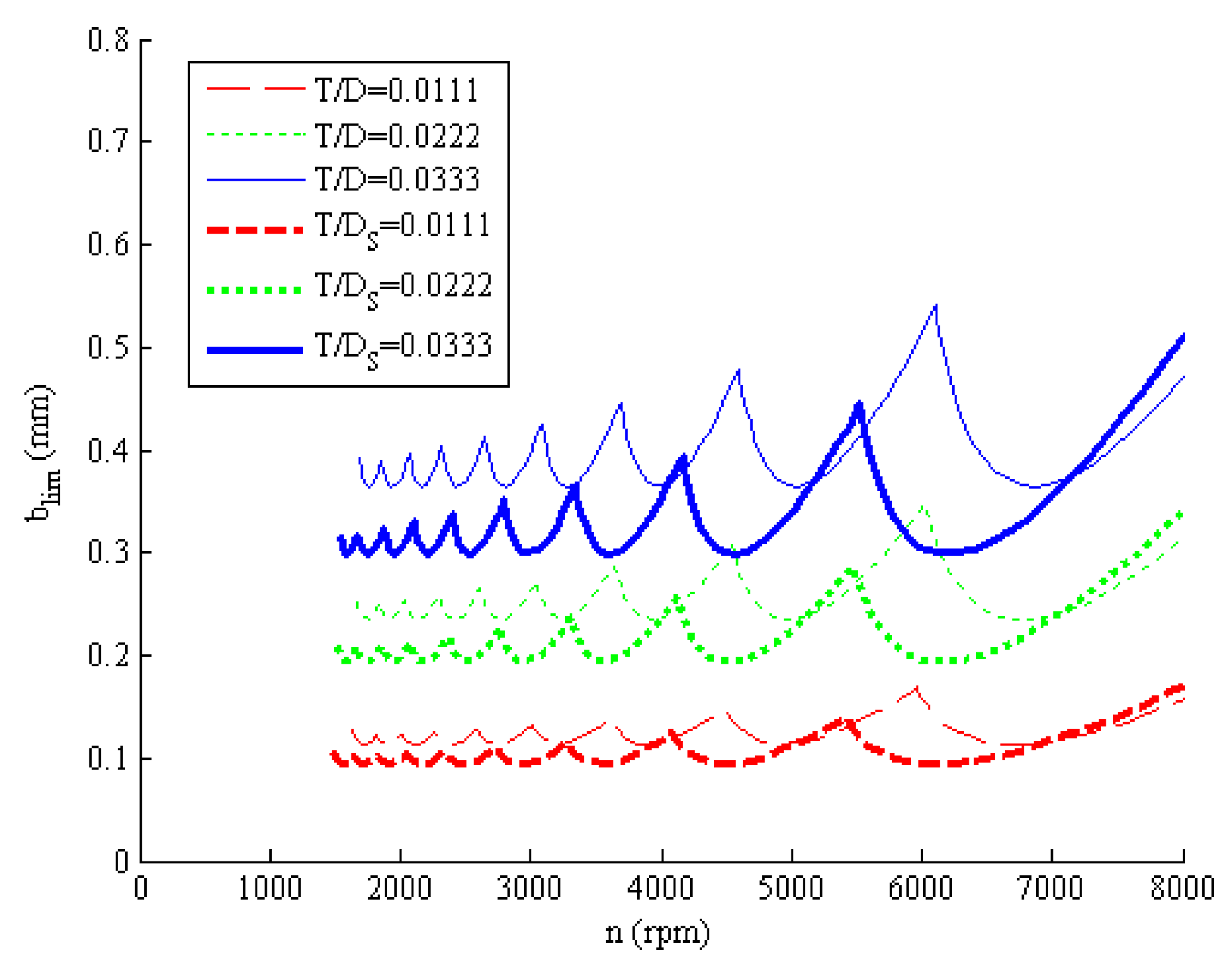
5.5. Comparison of Chatter Stability for Different T/D Ratios
5.6. Comparison of Chatter Stability with Different Composites
6. Conclusions
- (1)
- The vibration modal shapes of the shear and the non-shear composite boring bars are not overlapped. Moreover, the difference between the modal shape curves of the high modal shapes (second-, third-, and fourth-order shape) increased gradually with the increase in the order.
- (2)
- The natural frequencies of these two boring bar models are affected by the ply angles, L/D ratios, the T/D ratios, and type of composite materials. The larger the L/D ratios, the smaller the T/D ratios, or the larger the ply angles, the lower the natural frequency became. The natural frequencies of the shear boring bar are correspondingly lower than those of the non-shear boring bar.
- (3)
- The lobe curves converged when a suitable number of iteration terms are chosen, which prove that the nature frequency that is calculated using the AMDM method is accurate.
- (4)
- The chatter stabilities of these two models were related to the ply angle, stacking sequence, L/D ratio, T/D ratio, and different composite materials. The smaller the ply angle, the smaller the L/D ratio, or the larger T/D ratio, the deeper the cutting depth became. The chatter stability of the shear boring bar model is correspondingly worse than that of the non-shear boring bar model in most cases.
- (5)
- The comparison about the chatter stability of three popular kinds of composite materials show that the carbon composite boring bar is the best one.
Author Contributions
Funding
Acknowledgments
Conflicts of Interest
References
- Gurney, J.P.; Tobias, S.A. A Graphical Analysis of Regenerative Machine Tool Instability. J. Eng. Ind. 1962, 84, 103–111. [Google Scholar] [CrossRef]
- Wu, D.W.; Liu, C.R. An Analytical Model of Cutting Dynamics. Part 1: Model Building. J Eng. Ind. 1985, 107, 107–111. [Google Scholar] [CrossRef]
- Wu, D.W.; Liu, C.R. An Analytical Model of Cutting Dynamics. Part 2: Verification. J. Eng. Ind. 1985, 107, 112–118. [Google Scholar] [CrossRef]
- Gasparetto, A. A System Theory Approach to Mode Coupling Chatter in Machining. J. Dyn. Syst. 1998, 120, 545–547. [Google Scholar] [CrossRef]
- Grossi, N.; Croppi, L.; Scippa, A.; Campatelli, G. A Dedicated Design Strategy for Active Boring Bar. Appl. Sci. 2019, 9, 3541. [Google Scholar] [CrossRef]
- Zhang, Y.; Ren, Y.; Tian, J.; Ma, J. Chatter stability of the constrained layer damping composite boring bar in cutting process. J. Vib. Control 2019, 25, 2204–2214. [Google Scholar]
- Kalmár-Nagy, T.; Moon, F.C. Mode-Coupled Regenerative Machine Tool Vibrations. In Nonlinear Dynamics of Production Systems; Wiley-VCH Verlag GmbH & Co. KGaA: Berlin, Germany, 2004; pp. 129–149. [Google Scholar]
- Altintas, Y.; Weck, M. Chatter Stability of Metal Cutting and Grinding. CIRP Annals. 2004, 53, 619–642. [Google Scholar] [CrossRef]
- Alammari, Y.; Sanati, M.; Freiheit, T.; Park, S.S. Investigation of Boring Bar Dynamics for Chatter Suppression. Procedia Manuf. 2015, 1, 768–778. [Google Scholar] [CrossRef]
- Tulasiramarao, B.; Srinivas, K.; Reddy, P.R. Analysis of stability in Turning with Secondary effects. IOSR JMCE 2017, 14, 4–17. [Google Scholar] [CrossRef]
- Liu, X.; Liu, Q.; Wu, S.; Liu, L.; Gao, H. Research on the performance of damping boring bar with a variable stiffness dynamic vibration absorber. Int. J. Adv. Manuf. Technol. 2017, 89, 2893–2906. [Google Scholar] [CrossRef]
- Lee, N.; Liu, X.; Wang, J. Structural Design and Vibration Analysis of the Built-in Damping Boring Bar. CMSMS 2018, 129–137. [Google Scholar] [CrossRef]
- Rubio, L.; Loya, J.A.; Miguélez, M.H.; Fernández-Sáez, J. Optimization of passive vibration absorbers to reduce chatter in boring. Mech. Syst. Signal Pr. 2013, 41, 691–704. [Google Scholar] [CrossRef]
- Li, L.; Sun, B.; Hua, H. Analysis of the Vibration Characteristics of a Boring Bar with a Variable Stiffness Dynamic Vibration Absorber. Shock Vib. 2019, 2019, 1–13. [Google Scholar] [CrossRef]
- Liu, X.; Liu, Q.; Wu, S.; Li, R.; Gao, H. Analysis of the vibration characteristics and adjustment method of boring bar with a variable stiffness vibration absorber. Int. J. Adv. Manuf. Tech. 2018, 98, 1–11. [Google Scholar] [CrossRef]
- Lei, X.; Wu, C. Investigating the Optimal Damping Performance of a Composite Dynamic Vibration Absorber with Particle Damping. J. Vib. Eng. Technol. 2018, 6, 503–511. [Google Scholar] [CrossRef]
- Yigit, U.; Cigeroglu, E.; Budak, E. Chatter reduction in boring process by using piezoelectric shunt damping with experimental verification. Mech. Syst. Signal Pr. 2017, 94, 312–321. [Google Scholar] [CrossRef]
- Lu, X.; Chen, F.; Altintas, Y. Magnetic actuator for active damping of boring bars. CIRP Ann-Manuf. Techn. 2014, 63, 369–372. [Google Scholar] [CrossRef]
- Chen, F.; Lu, X.; Altintas, Y. A novel magnetic actuator design for active damping of machining tools. Int. J. Mach. Tool Manu. 2014, 85, 58–69. [Google Scholar] [CrossRef]
- Chen, F.; Hanifzadegan, M.; Altintas, Y.; Lu, X. Active Damping of Boring Bar Vibration with a Magnetic Actuator. IEEE ASME T Mech. 2015, 20, 1–12. [Google Scholar] [CrossRef]
- Nagano, S.; Koizumi, T.; Fujii, T.; Tsujiuchi, N.; Ueda, H.; Steel, K. Development of a composite boring bar. Compos. Struct. 1997, 38, 531–539. [Google Scholar] [CrossRef]
- Lee, D.G.; Hwang, H.Y.; Kim, J.K. Design and manufacture of a carbon fiber epoxy rotating boring bar. Compos. Struct. 2003, 60, 115–124. [Google Scholar] [CrossRef]
- Ren, Y.; Fen, W.; Ma, B. Dynamic Modeling of Composite Boring Bars Considering Different Boundary Condition. Mater. Sci. Eng. 2018, 382, 1–12. [Google Scholar] [CrossRef]
- Hsu, Y.S. Enriched finite element methods for Timoshenko beam free vibration analysis. Appl. Math. Model 2016, 40, 7012–7033. [Google Scholar]
- Lai, H.Y.; Chen, C.K.; Hsu, J.C. Free Vibration of Non-Uniform Euler-Bernoulli Beams by the Adomian Modified Decomposition Method. CMES Comp. Model Eng. 2008, 34, 87–116. [Google Scholar]
- Huang, T.C. The Effect of Rotatory Inertia and of Shear Deformation on the Frequency and Normal Mode Equations of Uniform Beams with Simple End Conditions. J. Appl. Mech. 1961, 28, 579–584. [Google Scholar] [CrossRef]
- Wang, T.M. Natural frequencies of continuous Timoshenko beams. J. Sound Vib. 1970, 13, 409–414. [Google Scholar] [CrossRef]
- Hsu, J.C.; Lai, H.Y.; Chen, C.K. An innovative eigenvalue problem solver for free vibration of uniform Timoshenko beams by using the Adomian modified decomposition method. J. Sound Vib. 2009, 325, 451–470. [Google Scholar] [CrossRef]
- Smirnova, T.; Akesson, H.; Hakansson, L. Dynamic modeling of a boring bar using theoretical and experimental engineering methods Part 1: Distributed-parameter system modeling and experimental modal analysis. Int. J. Acoust. Vib. 2009, 14, 124–133. [Google Scholar] [CrossRef]
- Coşkun, S.B.; Atay, M.T.; Öztürk, B. Transverse vibration analysis of Euler–Bernoulli beams using analytical approximate techniques. In Advances in Vibration Analysis Research; Teh. Pub.: Vienna, Austria, 2011; pp. 1–22. [Google Scholar]
- Zhang, C.; Ren, Y.; Ji, S. Research on Lateral Nonlinear Vibration Behavior of Composite Shaft-Disk Rotor System. Appl. Mech. Mater. 2018, 875, 149–161. [Google Scholar] [CrossRef]
- Chen, L.W.; Peng, W.K. Dynamic stability of rotating composite shafts under periodic axial compressive loads. J. Sound Vib. 1998, 212, 215–230. [Google Scholar] [CrossRef]
- Lee, D.G.; Suh, N.P. Manufacturing and Testing of Chatter Free Boring Bars. CIRP Ann. Manuf. Technol. 1988, 37, 365–368. [Google Scholar] [CrossRef]
- Tian, J. Analysis Prediction of Regenerative Chatter Stability for Passive Constrained Damping Layer Composite. Master’s Thesis, Shandong University of Science and Technology, Qingdao, China, 2018. [Google Scholar]












| i | 1 | 2 | 3 | 4 |
|---|---|---|---|---|
| 1.8751 | 4.6941 | 7.8548 | 10.9955 | |
| 3.1914 | 14.026 | 30.066 | 46.018 |
| Parameters | E1 (Gpa) | E2 (Gpa) | G12 (Gpa) | G23 (Gpa) | ν12 | ν23 | ρ (kg/m3) |
|---|---|---|---|---|---|---|---|
| Carbon | 181.0 | 10.3 | 7.17 | 3.78 | 0.28 | 0.30 | 1.76 |
| Aramid | 76 | 11.5 | 6.3 | 4.4 | 0.30 | 0.34 | 1.44 |
| Graphite | 25.8 | 8.7 | 3.5 | 3.5 | 0.34 | 0.32 | 1.672 |
| Iterative Number | k = 7 | k = 9 | k = 11 | k = 13 | k = 16 |
|---|---|---|---|---|---|
| Value | 3.2558831 | 3.1803316 | 3.1915264 | 3.1913896 | 3.1913967 |
| Ultimate cutting depth (Vk) | 0.20093313 | 0.19199067 | 0.19276827 | 0.19315708 | 0.19315708 |
| |Vk − V16| | 0.0078 | 0.0012 | 3.8881 × 10−4 | 0 | 0 |
| No. | Stacking Sequence | Ultimate Cutting Depth | |
|---|---|---|---|
| Non-Shear Boring Bar (mm) | Shear Boring Bar (mm) | ||
| 1 | [902, 45, 0]s | 0.2667 | 0.2148 |
| 2 | [90, 0, 90, 45, 90, 45, 0, 90] | 0.2673 | 0.2151 |
| 3 | [90, 45, 02]s | 0.4402 | 0.3158 |
| 4 | [02, 452, 902, 02] | 0.4399 | 0.3156 |
| 5 | [02, 90, 45]s | 0.4406 | 0.3160 |
| 6 | [45, 0, 45, 0, 90, 0, 90, 0] | 0.4413 | 0.3164 |
© 2020 by the authors. Licensee MDPI, Basel, Switzerland. This article is an open access article distributed under the terms and conditions of the Creative Commons Attribution (CC BY) license (http://creativecommons.org/licenses/by/4.0/).
Share and Cite
Zhang, C.; Ren, Y.; Ji, S.; Zhang, J. Analysis of the Composite Boring Bar Dynamic Characteristics Considering Shear Deformation and Rotational Inertia. Appl. Sci. 2020, 10, 1533. https://doi.org/10.3390/app10041533
Zhang C, Ren Y, Ji S, Zhang J. Analysis of the Composite Boring Bar Dynamic Characteristics Considering Shear Deformation and Rotational Inertia. Applied Sciences. 2020; 10(4):1533. https://doi.org/10.3390/app10041533
Chicago/Turabian StyleZhang, Chunjin, Yongsheng Ren, Shujuan Ji, and Jinfeng Zhang. 2020. "Analysis of the Composite Boring Bar Dynamic Characteristics Considering Shear Deformation and Rotational Inertia" Applied Sciences 10, no. 4: 1533. https://doi.org/10.3390/app10041533
APA StyleZhang, C., Ren, Y., Ji, S., & Zhang, J. (2020). Analysis of the Composite Boring Bar Dynamic Characteristics Considering Shear Deformation and Rotational Inertia. Applied Sciences, 10(4), 1533. https://doi.org/10.3390/app10041533

