On Flexural Performance of Girder-To-Girder Wet Joint for Lightweight Steel-UHPC Composite Bridge
Abstract
:1. Introduction
2. Design Aspects
3. Comparative Model Test: The First Generation T-Shaped Joint and the Traditional I-shaped Joint
3.1. Experimental Model
3.2. Test Results
3.2.1. Load-Deflection Curve and Crack Development
- i.
- Elastic stage. During this stage, the UHPC panel does not show any cracks, and the specimen exhibits no stiffness reduction. When the applied load reaches 605 kN, the curve deflects slightly, indicating that the stiffness of the specimen decreases slightly, and a crack with a width of 0.02 mm is found at the joint interface.
- ii.
- Crack propagation stage. After 605 kN, the short cracks develop into long cracks, and the width gradually increases in the joint interface. Therefore, this stage is defined as the crack propagation stage.
- iii.
- Yield stage. When the applied load reaches 2190 kN, the load-deflection curve deflects obviously, indicating that the stiffness of the specimen decreases significantly. Subsequently, the structural deformation increases rapidly, but the load cannot increase anymore. Thus, this stage is defined as the yield stage.
3.2.2. Nominal Cracking Stress
3.2.3. Shrinkage in UHPC
3.3. Discussion
4. Experimental Test of the Second Generation T-Shaped Joint
4.1. Experimental Model
4.2. Test Results
4.2.1. Load-Deflection Curve and Crack Development
4.2.2. Nominal Cracking Stress
4.3. Discussion
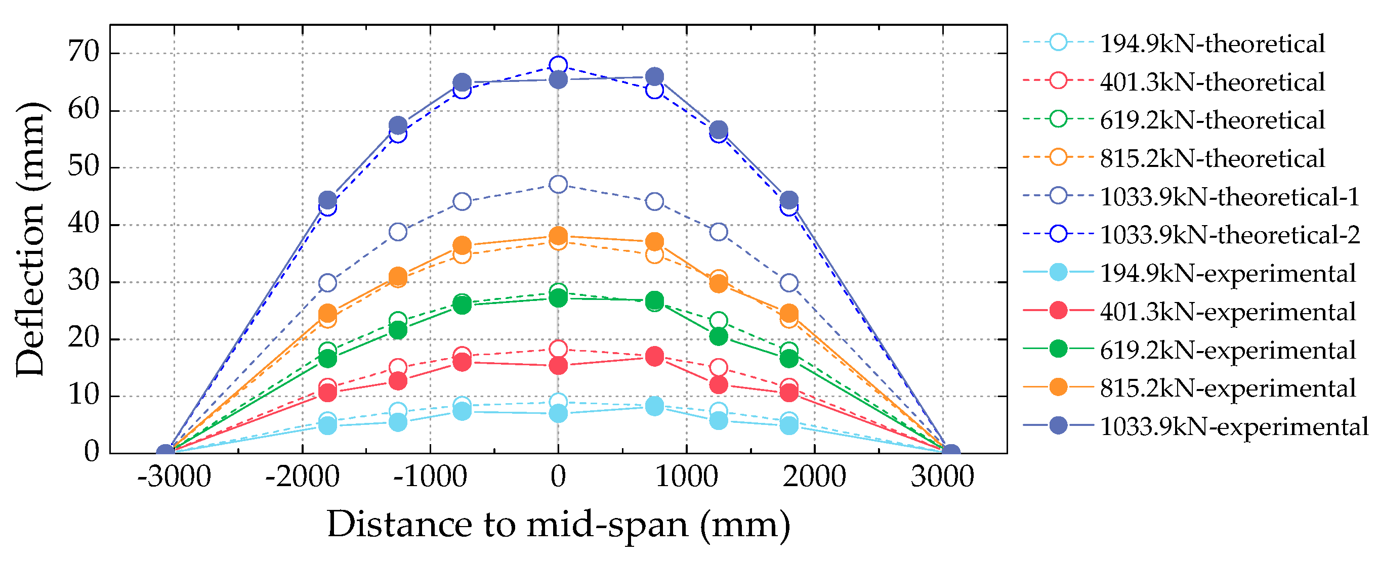
4.3.1. Specimen Stiffness and Deflection
(1) Section stiffness analysis
(2) Analysis of specimen overall deflection
4.3.2. Crack Width Prediction
4.3.3. Ultimate Flexural Capacity
5. Conclusions
- (1)
- According to the comparative model test, it is observed that the T-shaped joint was superior to the traditional I-shaped joint in terms of crack resistance. The weak interfaces of the T-shaped joint were set in the areas with relatively lower negative bending moment, which could significantly decrease the cracking risk of the joint interface.
- (2)
- The maximum shrinkage strain of reinforced UHPC deck was 164 με for curing with steam, 173 με for natural curing, and decreased to zero after steam curing. Hence, steam curing can effectively minimize the shrinkage time of UHPC and reduce the cracking risk. Moreover, the reinforcement had a very large inhibitory effect on UHPC material shrinkage.
- (3)
- The second generation T-shaped joint exhibited better performance than the original scheme.
- (4)
- Based on the analysis of the stiffness, except for the joint interface section, the other sections remained elastic and showed good agreement with the theoretical values; as for the overall deflection prediction, the cracked section could work better on serviceability limit states, and the section of I-shaped steel girder was more suitable for final deflection.
- (5)
- We propose a revised equation for estimating the crack width of the joint interface of steel-UHPC composite beam. It is concluded that the analytical value agrees well with the experimental result.
6. Patents
- (1)
- Shao, Xudong; Deng, Shuwen; Yan, Banfu. The structure and construction method of negative moment region of lightweight steel-UHPC composite bridge. Patent No.: ZL201610584441.X. (In Chinese)
- (2)
- Shao, Xudong; Qiu, Minghong; Yan, Banfu. Structure of negative moment region of assembled lightweight steel-UHPC composite girders. Patent No.: ZL201820091604.5. (In Chinese)
Author Contributions
Funding
Acknowledgments
Conflicts of Interest
References
- Graybeal, B.A. Material Property Characterization of Ultra-High Performance Concrete (No. FHWA-HRT-06-103); Federal Highway Administration, Office of Infrastructure Research and Development: McLean, VA, USA, 2006.
- Krelaus, R.; Wisner, G.; Freisinger-Schadow, S.; Schmidt, M.; Böhm, S.; Dilger, K. Resistance of Adhesive Bonding of Ultra-High Performance Concrete to Hygrothermal, Corrosive, and Freeze-Thaw Cycling Environments. In Durability of Building and Construction Sealants and Adhesives, 3rd Volume; ASTM International: West Conshohocken, PA, USA, 2010. [Google Scholar]
- Paul, S.C.; Babafemi, A.J. A review of the mechanical and durability properties of strain hardening cement-based composite (SHCC). J. Sustain. Cem.-Based Mater. 2018, 7, 57–78. [Google Scholar] [CrossRef]
- Meng, W.; Khayat, K.H. Mechanical properties of ultra-high-performance concrete enhanced with graphite nanoplatelets and carbon nanofibers. Compos. Part B Eng. 2016, 107, 113–122. [Google Scholar] [CrossRef]
- Meng, W.; Khayat, K.H. Effect of hybrid fibers on fresh properties, mechanical properties, and autogenous shrinkage of cost-effective UHPC. J. Mater. Civ. Eng. 2018, 30, 04018030. [Google Scholar] [CrossRef]
- Cao, J.; Shao, X.; Zhang, Z.; Zhao, H. Retrofit of an orthotropic steel deck with compact reinforced reactive powder concrete. Struct. Infrastruct. Eng. 2016, 12, 411–429. [Google Scholar] [CrossRef]
- Shao, X.; Yi, D.; Huang, Z.; Zhao, H.; Chen, B.; Liu, M. Basic performance of the composite deck system composed of orthotropic steel deck and ultrathin RPC layer. J. Bridge Eng. 2011, 18, 417–428. [Google Scholar] [CrossRef]
- Ebadollah, H.; Sritharan, S.; Rouse, J.M.; Aaleti, S. Bridge Decks with Precast Uhpc Waffle Panels: A Field Evaluation and Design Optimization. J. Bridge Eng. 2016, 21, 04015030. [Google Scholar]
- Liu, Y.; Zhang, Q.; Meng, W.; Bao, Y.; Bu, Y. Transverse fatigue behaviour of steel-UHPC composite deck with large-size U-ribs. Eng. Struct. 2019, 180, 388–399. [Google Scholar] [CrossRef]
- Ghasemi, S.; Zohrevand, P.; Mirmiran, A.; Xiao, Y.; Mackie, K. A Super Lightweight Uhpc–Hss Deck Panel for Movable Bridges. Eng. Struct. 2016, 113, 186–193. [Google Scholar] [CrossRef]
- Deng, S.W.; Shao, X.; Yan, B.F.; Guan, Y.P. Lightweight Steel-Uhpc Composite Bridge with Overall Prefabrication and Fast Erection in City. China J. Highw. Transp. 2007, 30, 159–166. [Google Scholar]
- Benjamin, G.A. Structural Behavior of a 2nd Generation Ultra-High Performance Concrete Pi-Girder; US Department of Transportation Federal Highway Administration: McLean, VA, USA, 2009.
- Sriram, A.; Petersen, B.; Sritharan, S. Design Guide for Precast Uhpc Waffle Deck Panel System, Including Connections; FHWA-HRT-13-032; US Department of Transportation Federal Highway Administration: Washington, DC, USA, 2013.
- Vic Perry, F.C.; Eng, P.; Dykstra, D.; Murray, P.; Eng, M.; Rajlic, B.; Halifax, N.S. Innovative Field Cast Uhpc Joints for Precast Bridge Systems–3-Span Live Load Continuous. In Annual Conference of the Transportation Association of Canada; Transportation Association of Canada: Ottawa, ON, Canada, 2010. [Google Scholar]
- Graybeal, B. Design and Construction of Field-Cast UHPC Connections; United States Federal Highway Administration: McLean, VA, USA, 2014.
- Guan, Y.P. Design and Preliminary Experiments of Uhpc Π-Shaped Girder Bridge. Master’s Thesis, Hunan University, Hunan, China, 2016. [Google Scholar]
- Qi, J.; Bao, Y.; Wang, J.; Li, L.; Li, W. Flexural behavior of an innovative dovetail UHPC joint in composite bridges under negative bending moment. Eng. Struct. 2019, 200, 109716. [Google Scholar] [CrossRef]
- Tazarv, M.; Saiidi, M.S. UHPC-filled duct connections for accelerated bridge construction of RC columns in high seismic zones. Eng. Struct. 2015, 99, 413–422. [Google Scholar] [CrossRef]
- Shao, X.; Hu, J. The Steel-Uhpc Lightweight Composite Bridge Structures; China Communications Press Co. Ltd.: Beijing, China, 2015. [Google Scholar]
- Soren, E.; Müller, C. Autogenous Shrinkage Strain of Ultra-High-Performance Concrete (UHPC); Paper Presented at the Proceedings of the 2nd International Symposium on UHPC; Kassel University press Gmbh: Kassel, Germany, 2008. [Google Scholar]
- Ichinomiya, T.; Hishiki, Y.; Ohno, T.; Morita, Y.; Takada, K. Experimental study on mechanical properties of ultra-high-strength concrete with low-autogenous-shrinkage. Spec. Publ. 2005, 228, 1341–1352. [Google Scholar]
- Lallemant-Gamboa, I.; Chanut, S.; Lombard, J.P.; Chaignon, J.; Thibaux, T. Formulations, Characterizations and Applications of Ultra High-Performance Concrete. Spec. Publ. 2005, 228, 1221–1236. [Google Scholar]
- Fehling, E.; Leutbecher, T.; Bunje, K. Design relevant properties of hardened Ultra High performance concrete. In Int. Symp. on Ultra High Performance Concrete; Kassel University press Gmbh: Kassel, Germany, 2004; Volume 1, pp. 327–338. [Google Scholar]
- Schmidt, M.; Fehling, E.; Glotzbach, C.; Fröhlich, S.; Piotrowski, S. Ultra-High Performance Concrete and Nanotechnology in Construction. In Proceedings of the 3rd International Symposium on Uhpc and Nanotechnology for High Performance Construction Materials, Kassel, Germany, 7–9 March 2012. [Google Scholar]
- Shao, X.; Pan, R.; Zhan, H.; Fan, W.; Yang, Z.; Lei, W. Experimental Verification of the Feasibility of a Novel Prestressed Reactive Powder Concrete Box-Girder Bridge Structure. J. Bridge Eng. 2017, 22, 04017015. [Google Scholar] [CrossRef]
- MOHURD. Reactive Powder Concrete; GB/T 31387-2015, Standardization Administration; Ministry of Housing and Urban-Rural Development of the China: Beijing, China, 2015.
- Alireza, R. Computer Modeling and Investigation on the Steel Corrosion in Cracked Ultra High Performance Concrete; Kassel University Press GmbH: Kassel, Germany, 2012; Volume 21. [Google Scholar]
- Tohru, M.; Brühwiler, E. Tensile Fatigue Behaviour of Ultra-High Performance Fibre Reinforced Concrete (Uhpfrc). Mater. Struct. 2014, 47, 475–491. [Google Scholar]
- Luo, J.; Shao, X.; Cao, J.; Xiong, M.; Fan, W. Transverse Bending Behavior of the Steel-Uhpc Lightweight Composite Deck: Orthogonal Test and Analysis. J. Constr. Steel Res. 2019, 162, 105708. [Google Scholar] [CrossRef]
- Luo, J.; Shao, X.; Fan, W.; Cao, J.; Deng, S. Flexural cracking behavior and crack width predictions of composite (steel+ UHPC) lightweight deck system. Eng. Struct. 2019, 194, 120–137. [Google Scholar] [CrossRef]
- Zhang, Z.; Shao, X.D.; Li, W.G.; Zhu, P.; Chen, H. Axial tensile behaviour test of Ultra High performance concrete. China J. Highw. Transp. 2015, 28, 50–58. [Google Scholar]
- Pan, W.H.; Fan, J.S.; Nie, J.G.; Hu, J.H.; Cui, J.F. Experimental study on tensile behavior of wet joints in a prefabricated composite deck system composed of orthotropic steel deck and ultrathin reactive-powder concrete layer. J. Bridge Eng. 2016, 21, 04016064. [Google Scholar] [CrossRef]
- Chen, B. Research and Experiment on Bending Behavior of Wet Joints in Lightweight Composite Deck System Composed of Orthotropic Steel and Uhpc Layer. Ph.D. Thesis, Hunan University, Hunan, China, 2018. [Google Scholar]
- Li, W. Experimental Research on Static and Fatigue Flexural Performance of Uhpc Layer in Light-Weighted Composite Bridge Deck. Master’s Thesis, Hunan University, Hunan, China, 2015. [Google Scholar]
- AFGC-SETRA. Ultra High Performance Fibrereinforced Concretes. In Recommendations; AFGC&SETRA Working Group: Paris, France, 2013; pp. 1–175. [Google Scholar]
- Haibin, X.U.; Deng, Z. Cracking Moment and Crack Width of Ultra-High Performance Concrete Beams. J. Harbin Inst. Technol. 2014, 46, 87–92. [Google Scholar]
- MOHURD. Code for Design of Concrete Structures Gb50010-2010; Ministry of Housing and Urban-Rural Development of the China: Beijing, China, 2010.
















| Material | Mass Ratio |
|---|---|
| Cement (PO42.5) | 0.7 |
| Silica fume | 0.2 |
| Fly ash | 0.1 |
| Quartz sand | 1.1 |
| Quartz powder | 0.1 |
| Slag powder | 0.2 |
| Superplasticizer | 0.015 |
| Water | 0.2 |
| Steel fiber (volume ratio (%)) | 2.0/2.5 |
| Curing Condition | Parts of the Specimen | Fiber Type (d × lf, Vf) | Compressive Strength (MPa) | Flexural Strength (MPa) | Young’s Modulus (GPA) |
|---|---|---|---|---|---|
| Steam | Part B and C | 0.2 × 13 mm, 1% + 0.3 × 25 mm, 1% | 139.6 | 23.7 | 42.7 |
| Natural | Part A | 137.1 | 25.3 | 42.5 | |
| Natural | Two joint parts | 0.2 × 13 mm, 1% + 0.3 × 25 mm, 1.5% | 140.7 | 26.4 | 43.9 |
| Section Item | Pcr/kN | Mcr/kN·m | σcr/MPa | Section No. |
|---|---|---|---|---|
| T-shaped joint left interface | 941 | 638 | 5.48 | Section A |
| T-shaped joint right interface | 845 | 564 | 4.42 | Section A |
| I-shaped joint left interface | 845 | 564 | 3.57 | Section B |
| I-shaped joint right interface | 788 | 526 | 3.21 | Section B |
| Mid-span of the specimen | 2190 | 1462 | 12.88 | Section C |
| UHPC matrix (part A) | 2190 | 1462 | 12.77 | Section A |
| Part Item | Curing Condition | Compressive Strength | Flexural Strength | Young’s Modulus |
|---|---|---|---|---|
| Prefabricated part | Steam curing | 162.38 | 28.74 | 49,030 |
| Post-cast Joint part | Natural curing | 135.01 | 32.19 | 45,820 |
| Section Item | Pcr/kN | Mcr/kN·m | σcr/MPa |
|---|---|---|---|
| Section 2 (interface) | 196.6 | 124.3 | 7.39 |
| Section 4 (interface) | 143.5 | 90.8 | 5.40 |
| Section 1 (matrix) | 424.5 | 268.5 | 15.96 |
| Section 5 (matrix) | 336.5 | 212.8 | 12.66 |
| Section 3 (mid-span, pier top) | 1033.9 | 653.9 | 19.02 |
© 2020 by the authors. Licensee MDPI, Basel, Switzerland. This article is an open access article distributed under the terms and conditions of the Creative Commons Attribution (CC BY) license (http://creativecommons.org/licenses/by/4.0/).
Share and Cite
Deng, S.; Shao, X.; Yan, B.; Wang, Y.; Li, H. On Flexural Performance of Girder-To-Girder Wet Joint for Lightweight Steel-UHPC Composite Bridge. Appl. Sci. 2020, 10, 1335. https://doi.org/10.3390/app10041335
Deng S, Shao X, Yan B, Wang Y, Li H. On Flexural Performance of Girder-To-Girder Wet Joint for Lightweight Steel-UHPC Composite Bridge. Applied Sciences. 2020; 10(4):1335. https://doi.org/10.3390/app10041335
Chicago/Turabian StyleDeng, Shuwen, Xudong Shao, Banfu Yan, Yan Wang, and Huihui Li. 2020. "On Flexural Performance of Girder-To-Girder Wet Joint for Lightweight Steel-UHPC Composite Bridge" Applied Sciences 10, no. 4: 1335. https://doi.org/10.3390/app10041335
APA StyleDeng, S., Shao, X., Yan, B., Wang, Y., & Li, H. (2020). On Flexural Performance of Girder-To-Girder Wet Joint for Lightweight Steel-UHPC Composite Bridge. Applied Sciences, 10(4), 1335. https://doi.org/10.3390/app10041335

