Electrical and Microwave Characterization of Thermal Annealed Sewage Sludge Derived Biochar Composites
Abstract
1. Introduction
2. Materials and Methods
2.1. Materials
2.2. Methods
3. Results
3.1. Morphological Characterization of Sludge Derived Biochar
3.2. Conductivity Measurements
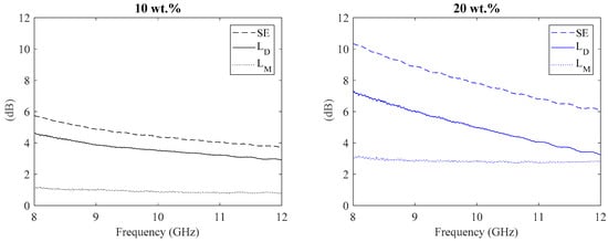
3.3. Shielding Effectiveness Evaluation
4. Conclusions
Author Contributions
Funding
Acknowledgments
Conflicts of Interest
References
- Lofrano, G.; Brown, J. Wastewater management through the ages: A history of mankind. Sci. Total Environ. 2010, 408, 5254–5264. [Google Scholar] [CrossRef] [PubMed]
- Cheremisinoff, P.N. Sludge: Management and Disposal; PTR Prentice Hall: Englewood Cliffs, NJ, USA, 1994. [Google Scholar]
- Spinosa, L. Evolution of sewage sludge regulations in Europe. Water Sci. Technol. 2001, 44, 1–8. [Google Scholar] [CrossRef] [PubMed]
- Sommers, L. Chemical composition of sewage sludges and analysis of their potential use as fertilizers 1. J. Environ. Qual. 1977, 6, 225–232. [Google Scholar] [CrossRef]
- Stabnikova, O.; Goh, W.-K.; Ding, H.-B.; Tay, J.-H.; Wang, J.-Y. The use of sewage sludge and horticultural waste to develop artificial soil for plant cultivation in Singapore. Bioresour. Technol. 2005, 96, 1073–1080. [Google Scholar] [CrossRef]
- Maksimova, S.; Kosaurova, D.; Pesheva, A. Recycling of wastewater treatment plants sludge in urban landscaping in West Siberia. Procedia Eng. 2015, 117, 232–238. [Google Scholar] [CrossRef]
- Wu, D.; Chu, S.; Lai, C.; Mo, Q.; Jacobs, D.F.; Chen, X.; Zeng, S. Application rate and plant species affect the ecological safety of sewage sludge as a landscape soil amendment. Urban. For. Urban. Green. 2017, 27, 138–147. [Google Scholar] [CrossRef]
- Singh, R.; Agrawal, M. Potential benefits and risks of land application of sewage sludge. Waste Manag. 2008, 28, 347–358. [Google Scholar] [CrossRef]
- Lindahl, G.M. Stable Solutions of Basic Aluminium Sulphate Containing Polynucleate Aluminium Hydroxide Sulphate Complexes. US Patent 4,536,384, 20 August 1985. [Google Scholar]
- Liang, J.; Zhang, S.; Huang, J.; Huang, S.; Zheng, L.; Sun, S.; Zhong, Z.; Zhang, X.; Yu, X. Comprehensive insights into the inorganic coagulants on sludge dewatering: Comparing aluminium and iron salts. J. Chem. Technol. Biotechnol. 2019, 94, 1534–1550. [Google Scholar] [CrossRef]
- Basri, M.H.; Don, N.M.; Kasmuri, N.; Hamzah, N.; Alias, S.; Azizan, F. Aluminium recovery from water treatment sludge under different dosage of sulphuric acid. In Proceedings of the Journal of Physics: Conference Series, Moscow, Russia, 13–15 November 2019; p. 012005. [Google Scholar]
- Korving, L.; Van Loosdrecht, M.; Wilfert, P. Effect of iron on phosphate recovery from sewage sludge. In Phosphorus Recovery and Recycling; Springer: Berlin, Germany, 2019; pp. 303–326. [Google Scholar]
- Bartoli, M.; Zhu, C.; Chae, M.; Bressler, D. Value-added products from urea glycerolysis using a heterogeneous biosolids-based catalyst. Catalysts 2018, 8, 373. [Google Scholar] [CrossRef]
- Bartoli, M.; Zhu, C.; Chae, M.; Bressler, D. Glycerol Acetylation Mediated by Thermally Hydrolysed Biosolids-Based Material. Catalysts 2020, 10, 14. [Google Scholar] [CrossRef]
- Tu, Y.; Tian, S.; Kong, L.; Xiong, Y. Co-catalytic effect of sewage sludge-derived char as the support of Fenton-like catalyst. Chem. Eng. J. 2012, 185, 44–51. [Google Scholar] [CrossRef]
- Wang, Y.; Zhang, Y.; Pei, L.; Ying, D.; Xu, X.; Zhao, L.; Jia, J.; Cao, X. Converting Ni-loaded biochars into supercapacitors: Implication on adsorption and dechlorination of pentachlorophenol from effluent by Ni–ZVI magnetic biochar composites synthesized from paper mill sludge. Chem. Eng. J. 2015, 271, 195–203. [Google Scholar]
- Devi, P.; Saroha, A.K. Simultaneous adsorption and dechlorination of pentachlorophenol from effluent by Ni–ZVI magnetic biochar composites synthesized from paper mill sludge. Chem. Eng. J. 2015, 271, 195–203. [Google Scholar] [CrossRef]
- Giorcelli, M.; Savi, P.; Yasir, M.; Miscuglio, M.; Yahya, M.H.; Tagliaferro, A. Investigation of epoxy resin/multiwalled carbon nanotube nanocomposites behavior at low frequency. J. Mater. Res. 2014, 30, 101–107. [Google Scholar] [CrossRef]
- Giorcelli, M.; Savi, P.; Miscuglio, M.; Yahya, M.H.; Tagliaferro, A. Analysis of MWCNT/epoxy composites at microwave frequency: Reproducibility investigation. Nanoscale Res. Lett. 2014, 9, 1–5. [Google Scholar] [CrossRef]
- Savi, P.; Yasir, M.; Giorcelli, M.; Tagliaferro, A. The effect of carbon nanotubes concentration on complex permittivity of nanocomposites. Prog. Electromagn. Res. M 2017, 55, 203–209. [Google Scholar] [CrossRef][Green Version]
- Das, O.; Sarmah, A.K.; Bhattacharyya, D. Biocomposites from waste derived biochars: Mechanical, thermal, chemical, and morphological properties. Waste Manag. 2016, 49, 560–570. [Google Scholar] [CrossRef]
- Giorcelli, M.; Savi, P.; Khan, A.; Tagliaferro, A. Analysis of biochar with different pyrolysis temperatures used as filler in epoxy resin composites. Biomass Bioenergy 2019, 122, 466–471. [Google Scholar] [CrossRef]
- Giorcelli, M.; Bartoli, M. Development of coffee biochar filler for the production of electrical conductive reinforced plastic. Polymers 2019, 11, 1916. [Google Scholar] [CrossRef]
- Khan, A.; Savi, P.; Quaranta, S.; Rovere, M.; Giorcelli, M.; Tagliaferro, A.; Rosso, C.; Jia, C.Q. Low-Cost Carbon Fillers to Improve Mechanical Properties and Conductivity of Epoxy Composites. Polymers 2017, 9, 642. [Google Scholar] [CrossRef]
- Gabhi, R.S.; Kirk, D.W.; Jia, C.Q. Preliminary investigation of electrical conductivity of monolithic biochar. Carbon 2017, 116, 435–442. [Google Scholar] [CrossRef]
- Noda, T.; Kato, H.; Takasu, T.; Okura, A.; Inagaki, M. The electrical resistivity of carbon black under compression. Bull. Chem. Soc. Jpn. 1966, 39, 829–833. [Google Scholar] [CrossRef]
- Euler, K.J.; Kirchhof, R.; Metzendorf, H. The electric conductivity and related phenomena of compressed powder materials. Mater. Chem. 1979, 4, 611–629. [Google Scholar] [CrossRef]
- Espinola, A.; Mourente, M.; Salles, M.; Pinto, A. Electrical properties of carbons—resistance of powder materials. Carbon 1986, 24, 337–341. [Google Scholar] [CrossRef]
- Kendall, K. Solid surface energy measured electrically. J. Phys. D: Appl. Phys. 1990, 23, 1329–1331. [Google Scholar] [CrossRef]
- Celzard, A.; Marêche, J.F.; Payot, F.; Furdin, G. Electrical conductivity of carbonaceous powders. Carbon 2002, 40, 2801–2815. [Google Scholar] [CrossRef]
- Shui, X.; Chung, D.D.L. Submicron diameter nickel filaments and their polymermatrix composites. J. Mater. Sci. 2000, 35, 1773–1785. [Google Scholar] [CrossRef]
- Shui, X.; Chung, D.D.L. Electrical resistivity of submicron-diameter carbon-filament compacts. Carbon 2001, 39, 1717–1722. [Google Scholar] [CrossRef]
- Marinho, B.; Ghislandi, M.; Tkalya, E.; Koning, C.E.; de With, G. Electrical conductivity of compacts of graphene, multi-wall carbon nanotubes, carbonblack, and graphite powder. Powder Technol. 2012, 221, 351–358. [Google Scholar] [CrossRef]
- Sanchez-Gonzalez, J.; Macıas-Garcı, A.; Alexandre-Franco, M.F.; Gomez-Serrano, V. Electrical conductivity of carbon blacks under compression. Carbon 2005, 43, 741–747. [Google Scholar] [CrossRef]
- Giorcelli, M.; Savi, P.; Delogu, A.; Miscuglio, M.; Yahya, Y.H.; Tagliaferro, A. Microwave Absorption Properties in Epoxy Resin Multi Walled Carbon Nanotubes Composites. In Proceedings of the International Conference on Electromagnetics in Advanced Applications (ICEAA13), Torino, Italy, 9–13 September 2013. [Google Scholar]
- Savi, P.; Cirielli, D.; di Summa, D.; Ruscica, G.; Sora, I.N. Analysis of shielding effectiveness of cement composites filled with pyrolyzed biochar. In Proceedings of the 2019 IEEE 5th International forum on Research and Technology for Society and Industry (RTSI), Florence, Italy, 9–12 September 2019; pp. 1–4. [Google Scholar]
- Savi, P.; Yasir, M. Waveguide measurements of biochar derived from sewage sludge. IET Electron. Lett. 2020. (in print). [Google Scholar] [CrossRef]
- Weber, K.; Quicker, P. Properties of biochar. Fuel 2018, 217, 240–261. [Google Scholar] [CrossRef]
- Udayanga, W.C.; Veksha, A.; Giannis, A.; Lisak, G.; Lim, T.-T. Effects of sewage sludge organic and inorganic constituents on the properties of pyrolysis products. Energy Convers. Manag. 2019, 196, 1410–1419. [Google Scholar] [CrossRef]
- Keller, R.A. Gas—liquid chromatography of volatile metal halides. J. Chromatogr. A 1961, 5, 225–235. [Google Scholar] [CrossRef]
- Ngan, A.; Jia, C.Q.; Tong, S.-T. Production, Characterization and Alternative Applications of Biochar. In Production of Materials from Sustainable Biomass Resources; Springer: Berlin, Germany, 2019; pp. 117–151. [Google Scholar]
- Bartoli, M.; Nasir, M.A.; Jagdale, P.; Passaglia, E.; Spiniello, R.; Rosso, C.; Giorcelli, M.; Rovere, M.; Tagliaferro, A. Influence of pyrolytic thermal history on olive pruning biochar and related epoxy composites mechanical properties. J. Compos. Mater. 2019, 11. [Google Scholar] [CrossRef]










| Element | Composition [wt%] | |
|---|---|---|
| Non-Thermal Annealed Sludge | Thermal Annealed Sludge | |
| C | 55.20 | 39.70 |
| O | 39.70 | 28.67 |
| F | 2.07 | Not detected |
| Mg | 0.32 | 1.39 |
| Al | 0.52 | 3.44 |
| Si | 0.62 | 5.54 |
| P | 0.64 | 4.17 |
| S | 0.38 | 2.18 |
| Cl | 0.57 | 0.29 |
| K | Not detected | 0.40 |
| Ca | Traces | 6.57 |
| Ti | Not detected | 0.60 |
| Fe | Not detected | 5.75 |
| Zn | Not detected | 1.29 |
| Feedstock Used to Produce Biochar | Pyrolysis Temperature [°C] | DC Electrical Conductivity @ 1500 Bar (Order of Magnitude) [S/m] | Reference |
|---|---|---|---|
| Miscanthus | 650 | 0.3 | [22] |
| 700 | 2.2 | ||
| 750 | 4 | ||
| Coffee | 600 | 0 | [23] |
| 800 | 0 | ||
| 1000 | 300 | ||
| Carbon black | Commercial product | 1700 | [23] |
| Sewage sludge | 1000 | 360 | This work |
© 2020 by the authors. Licensee MDPI, Basel, Switzerland. This article is an open access article distributed under the terms and conditions of the Creative Commons Attribution (CC BY) license (http://creativecommons.org/licenses/by/4.0/).
Share and Cite
Savi, P.; Yasir, M.; Bartoli, M.; Giorcelli, M.; Longo, M. Electrical and Microwave Characterization of Thermal Annealed Sewage Sludge Derived Biochar Composites. Appl. Sci. 2020, 10, 1334. https://doi.org/10.3390/app10041334
Savi P, Yasir M, Bartoli M, Giorcelli M, Longo M. Electrical and Microwave Characterization of Thermal Annealed Sewage Sludge Derived Biochar Composites. Applied Sciences. 2020; 10(4):1334. https://doi.org/10.3390/app10041334
Chicago/Turabian StyleSavi, Patrizia, Muhammad Yasir, Mattia Bartoli, Mauro Giorcelli, and Matteo Longo. 2020. "Electrical and Microwave Characterization of Thermal Annealed Sewage Sludge Derived Biochar Composites" Applied Sciences 10, no. 4: 1334. https://doi.org/10.3390/app10041334
APA StyleSavi, P., Yasir, M., Bartoli, M., Giorcelli, M., & Longo, M. (2020). Electrical and Microwave Characterization of Thermal Annealed Sewage Sludge Derived Biochar Composites. Applied Sciences, 10(4), 1334. https://doi.org/10.3390/app10041334

