Speckle Noise Reduction in Digital Holography Using a DMD and Multi-Hologram Resampling
Abstract
1. Introduction
2. Digital Holography with a DMD
2.1. Digital Holography
2.2. Digital Micro-Mirror Device
3. Optical Speckle Reduction
3.1. Plane Wave Illumination
3.2. Random Checkered Phase Pattern
4. Digital Holograms Resampling
5. Speckle Reduction Evaluation
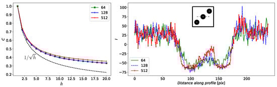
6. Results and Discussion
6.1. Recorded Holograms
6.2. Synthetic Holograms
7. Conclusions
Author Contributions
Funding
Conflicts of Interest
References
- Schnars, U.; Jüptner, W.P.O. Digital recording and numerical reconstruction of holograms. Meas. Sci. Technol. 2002, 13, R85–R101. [Google Scholar] [CrossRef]
- Nygate, Y.N.; Singh, G.; Barnea, I.; Shaked, N.T. Simultaneous off-axis multiplexed holography and regular fluorescence microscopy of biological cells. Opt. Lett. 2018, 43, 2587–2590. [Google Scholar] [CrossRef]
- Machikhin, A.S.; Polschikova, O.V.; Vlasova, A.G.; Pozhar, V.E. Processing of three-wavelength interference pattern for single-shot quantitative phase imaging. In Proceedings of the Twelfth International Conference on Digital Image Processing (ICDIP 2020), Osaka, Japan, 19–22 May 2020. [Google Scholar] [CrossRef]
- Nomura, T.; Okamura, M.; Nitanai, E.; Numata, T. Image quality improvement of digital holography by superposition of reconstructed images obtained by multiple wavelengths. Appl. Opt. 2008, 47, D38–D43. [Google Scholar] [CrossRef] [PubMed]
- Rong, L.; Xian, W.; Pan, F.; Liu, S.; Li, R. Speckle noise reduction in digital holography by use of multiple polarization holograms. Chin. Opt. Lett. 2010, 8, 653–655. [Google Scholar] [CrossRef]
- Garcia-Sucerquia, J.; Ramírez, J.H.; Castaneda, R. Incoherent recovering of the spatial resolution in digital holography. Opt. Commun. 2006, 62–67. [Google Scholar] [CrossRef]
- Baumbach, T.; Kolenovic, E.; Kebbel, V.; Jüptner, W. Improvement of accuracy in digital holography by use of multiple holograms. Appl. Opt. 2006, 45, 6077–6085. [Google Scholar] [CrossRef]
- Herrera-Ramirez, J.A.; Hincapie-Zuluaga, D.A.; Garcia-Sucerquia, J. Speckle noise reduction in digital holography by slightly rotating the object. Opt. Eng. 2016, 55, 1–6. [Google Scholar] [CrossRef]
- Mori, Y.; Fukuoka, T.; Nomura, T. Speckle reduction in holographic projection by random pixel separation with time multiplexing. Appl. Opt. 2014, 53, 8182–8188. [Google Scholar] [CrossRef]
- Garcia-Sucerquia, J.; Ramírez, J.A.H.; Prieto, D.V. Reduction of speckle noise in digital holography by using digital image processing. Optik 2005, 116, 44–48. [Google Scholar] [CrossRef]
- Uzan, A.; Rivenson, Y.; Stern, A. Speckle denoising in digital holography by nonlocal means filtering. Appl. Opt. 2013, 52, A195. [Google Scholar] [CrossRef]
- Hincapie, D.; Herrera-Ramírez, J.; Garcia-Sucerquia, J. Single-shot speckle reduction in numerical reconstruction of digitally recorded holograms. Opt. Lett. 2015, 40, 1623. [Google Scholar] [CrossRef]
- Leng, J.; Zhou, Z.; Li, F.; Zheng, Q.; Liu, G. Speckle noise suppression using part of pixels in a single-exposure digital hologram. Opt. Eng. 2017, 56, 053103. [Google Scholar] [CrossRef]
- Bianco, V.; Paturzo, M.; Memmolo, P.; Finizio, A.; Ferraro, P.; Javidi, B. Random resampling masks: A non-Bayesian one-shot strategy for noise reduction in digital holography. Opt. Lett. 2013, 38, 619–621. [Google Scholar] [CrossRef]
- Rong, L.; Xiao, W.; Pan, F. Reduction of speckle noise in digital holography by multiple holograms. Chin. Opt. Lett. 2009, 8, 73823T. [Google Scholar] [CrossRef]
- Chenggen, Q.; Xin, K.; Cho-Jui, T. Speckle noise reduction in digital holography by multiple holograms. Opt. Eng. 2007, 46, 115801. [Google Scholar] [CrossRef]
- Junmin Leng, J.L.; Xinzhu Sang, X.S.; Binbin Yan, B.Y. Speckle noise reduction in digital holography with spatial light modulator and nonlocal means algorithm. Chin. Opt. Lett. 2014, 12, 040301–40305. [Google Scholar] [CrossRef]
- Nesbitt, R.S.; Smith, S.L.; Molnar, R.A.; Benton, S.A. Holographic recording using a digital micromirror device. In Proceedings of the SPIE 3637, Practical Holography XIII, San Jose, CA, USA, 25 March 1999. [Google Scholar] [CrossRef]
- Bianco, V.; Memmolo, P.; Paturzo, M.; Finizio, A.; Javidi, B.; Ferraro, P. Quasi noise-free digital holography. Light Sci. Appl. 2016, 5. [Google Scholar] [CrossRef]
- Ren, Y.X.; Lu, R.D.; Gong, L. Tailoring light with a digital micromirror device. Ann. Der Phys. 2015, 527, 447–470. [Google Scholar] [CrossRef]
- Lee, W.H. III Computer-Generated Holograms: Techniques and Applications. Prog. Opt. 1978, 16, 119–232. [Google Scholar] [CrossRef]
- Mirhosseini, M.; na Loaiza, O.S.M.; Chen, C.; Rodenburg, B.; Malik, M.; Boyd, R.W. Rapid generation of light beams carrying orbital angular momentum. Opt. Express 2013, 21, 30196–30203. [Google Scholar] [CrossRef]
- Tur, M.; Chin, K.C.; Goodman, J.W. When is speckle noise multiplicative? Appl. Opt. 1982, 21, 1157–1159. [Google Scholar] [CrossRef]
- Yang, J.H.X. Fast reduction of speckle noise in real ultrasound images. Signal Process. 2013, 684–694. [Google Scholar] [CrossRef]
- Goodman, J.W. Some fundamental properties of speckle. J. Opt. Soc. Am. 1976, 66, 1145–1150. [Google Scholar] [CrossRef]
- Goodman, J. Introduction to Fourier Optics; Roberts and Company Publishers: Greenwood Village, CO, USA, 2005. [Google Scholar]







Publisher’s Note: MDPI stays neutral with regard to jurisdictional claims in published maps and institutional affiliations. |
© 2020 by the authors. Licensee MDPI, Basel, Switzerland. This article is an open access article distributed under the terms and conditions of the Creative Commons Attribution (CC BY) license (http://creativecommons.org/licenses/by/4.0/).
Share and Cite
Restrepo, J.; Correa-Rojas, N.; Herrera-Ramirez, J. Speckle Noise Reduction in Digital Holography Using a DMD and Multi-Hologram Resampling. Appl. Sci. 2020, 10, 8277. https://doi.org/10.3390/app10228277
Restrepo J, Correa-Rojas N, Herrera-Ramirez J. Speckle Noise Reduction in Digital Holography Using a DMD and Multi-Hologram Resampling. Applied Sciences. 2020; 10(22):8277. https://doi.org/10.3390/app10228277
Chicago/Turabian StyleRestrepo, John, Nelson Correa-Rojas, and Jorge Herrera-Ramirez. 2020. "Speckle Noise Reduction in Digital Holography Using a DMD and Multi-Hologram Resampling" Applied Sciences 10, no. 22: 8277. https://doi.org/10.3390/app10228277
APA StyleRestrepo, J., Correa-Rojas, N., & Herrera-Ramirez, J. (2020). Speckle Noise Reduction in Digital Holography Using a DMD and Multi-Hologram Resampling. Applied Sciences, 10(22), 8277. https://doi.org/10.3390/app10228277

