An Adaptive Bayesian Melding Method for Reliability Evaluation Via Limited Failure Data: An Application to the Servo Turret
Abstract
1. Introduction
2. Literature Review
3. An Expert System to Estimate RIF
3.1. Bayesian Best–Worst Method
- Determination of criteriaA set of criteria is determined that impact the reliability of a product.
- Determination of the best and worst criteriaThe best and worst criteria represent the criteria that have the most influential and least significant impact on the reliability of the set of criteria C. Each expert should select the best and the worst criteria from the set of criteria.
- Determination of vectors of the best-to-others and others-to-worst vectorsBased on step 2, the relative importance of the best criteria to others, and of the worst to others, can be obtained. The best-to-others and others-to-worst vectors are defined as follows:where indicates the relative importance of the best of the criteria ; similarly,where indicates the relative importance of the worst to other criteria .
- Determination of the aggregated weightThe aggregated weight is calculated by each expert’s optimal weight , and the Bayesian BWM can simultaneously calculate and . The best-to-others and others-to-worst vectors make up the priors that could be considered to be posterior. Thus, the following joint probability distribution is sought , which is the posterior of Bayesian inference. The distribution of the aggregated weight prior is assumed to follow the Dirichlet distribution, and is the likelihood function; thus, by the Bayes rule, the posterior distribution could be written asThere is not a closed-form solution for Equation (5); thus, the Markov-chain Monte Carlo (MCMC) approach is used to obtain the posterior.
3.2. Fuzzy Logic Inference
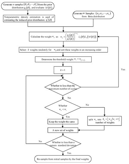
4. An Adaptive Bayesian Melding Method
- Step 1
- Generate n samples from the subsystem prior distribution and generate m samples from the beta distribution;
- Step 2
- Nonparametric density estimation is used to estimate the induced prior distribution ;
- Step 3
- Calculate the weight as
- Step 4
- Select a weights randomly for and sort these weights in increasing order;
- Step 5
- Determine the threshold weight , where r is an empirical threshold percentage, and is the floor value of ;
- Step 6
- Examine all importance weights and split any weight into number of weights to re-sample the corresponding ;
- Step 7
- Repeat steps 4–6 until the weights reach a certain deviation;
- Step 8
- Re-sample from the initial samples by the final weights of step 7.
5. A Case Study
5.1. Problem Description
5.2. Calculating the RIF for Each Subsystem
5.3. Evaluating the Reliability of Servo Turret
6. Discussion
7. Conclusions
Author Contributions
Funding
Acknowledgments
Conflicts of Interest
References
- Büyüközkan, G.; Güleryüz, S. A new integrated intuitionistic fuzzy group decision making approach for product development partner selection. Comput. Ind. Eng. 2016, 102, 383–395. [Google Scholar] [CrossRef]
- Lee, C.K.H. A knowledge-based product development system in the chemical industry. J. Intell. Manuf. 2019, 30, 1371–1386. [Google Scholar] [CrossRef]
- Jia, X. Reliability analysis for Weibull distribution with homogeneous heavily censored data based on Bayesian and least-squares methods. Appl. Math. Model. 2020, 83, 169–188. [Google Scholar] [CrossRef]
- Elmahdy, E.E. A new approach for Weibull modeling for reliability life data analysis. Appl. Math. Comput. 2015, 250, 708–720. [Google Scholar]
- Huang, W.; Dietrich, D.L. An alternative degradation reliability modeling approach using maximum likelihood estimation. IEEE Trans. Reliab. 2005, 54, 310–317. [Google Scholar] [CrossRef]
- Abernethy, R.B. The New Weibull Handbook: Reliability and Statistical Analysis for Predicting Life, Safety, Supportability, Risk, Cost and Warranty Claims; R.B. Abernethy: University Park, PA, USA, 2004. [Google Scholar]
- Murthy, D.N.P.; Xie, M.; Jiang, R. Weibull Models; John Wiley: Hoboken, NJ, USA, 2004. [Google Scholar]
- Olteanu, D.; Freeman, L. The Evaluation of Median-Rank Regression and Maximum Likelihood Estimation Techniques for a Two-Parameter Weibull Distribution. Qual. Eng. 2010, 56, 147–148. [Google Scholar] [CrossRef]
- Shastry, R.; Herman, D.; Soulas, G.; Patterson, M. NASA’s Evolutionary Xenon Thruster (NEXT) Long- Duration Test as of 736 kg of Propellant Throughput. In Proceedings of the 48th AIAA/ASME/SAE/ASEE Joint Propulsion Conference & Exhibit, Atlanta, GA, USA, 30 July–1 August 2012; p. 4023. [Google Scholar]
- Zhang, C.W.; Zhang, T.; Xu, D.; Xie, M. Analyzing highly censored reliability data without exact failure times: An efficient tool for practitioners. Qual. Eng. 2013, 25, 392–400. [Google Scholar] [CrossRef]
- Yadav, O.P.; Singh, N.; Chinnam, R.B.; Goel, P.S. A fuzzy logic based approach to reliability improvement estimation during product development. Reliab. Eng. Syst. Saf. 2003, 80, 63–74. [Google Scholar] [CrossRef]
- Chan, S.; Ip, W.; Zhang, W. Integrating failure analysis and risk analysis with quality assurance in the design phase of medical product development. Int. J. Prod. Res. 2012, 50, 2190–2203. [Google Scholar] [CrossRef]
- Wang, Y.; Deng, C.; Wu, J.; Xiong, Y. Failure time prediction for mechanical device based on the degradation sequence. J. Intell. Manuf. 2015, 26, 1181–1199. [Google Scholar] [CrossRef]
- Elsayed, E.A. Overview of reliability testing. IEEE Trans. Reliab. 2012, 61, 282–291. [Google Scholar] [CrossRef]
- Zio, E. Reliability engineering: Old problems and new challenges. Reliab. Eng. Syst. Saf. 2009, 94, 125–141. [Google Scholar] [CrossRef]
- Hemming, V.; Armstrong, N.; Burgman, M.A.; Hanea, A.M. Improving expert forecasts in reliability: Application and evidence for structured elicitation protocols. Qual. Reliab. Eng. Int. 2020, 36, 623–641. [Google Scholar] [CrossRef]
- Mi, X.; Tang, M.; Liao, H.; Shen, W.; Lev, B. The state-of-the-art survey on integrations and applications of the best worst method in decision making: Why, what, what for and what’s next? Omega 2019, 87, 205–225. [Google Scholar] [CrossRef]
- Rezaei, J. Best-worst multi-criteria decision-making method. Omega 2015, 53, 49–57. [Google Scholar] [CrossRef]
- Liu, Y.; Zidek, J.V.; Trites, A.W.; Battaile, B.C. Bayesian data fusion approaches to predicting spatial tracks: Application to marine mammals. Ann. Appl. Stat. 2016, 10, 1517–1546. [Google Scholar] [CrossRef]
- Li, X.; Ran, Y.; Zhang, G.; He, Y. A failure mode and risk assessment method based on cloud model. J. Intell. Manuf. 2019, 31, 1–14. [Google Scholar] [CrossRef]
- Bai, C.; Kusi-Sarpong, S.; Badri Ahmadi, H.; Sarkis, J. Social sustainable supplier evaluation and selection: A group decision-support approach. Int. J. Prod. Res. 2019, 57, 7046–7067. [Google Scholar] [CrossRef]
- Rezaei, J.; Papakonstantinou, A.; Tavasszy, L.; Pesch, U.; Kana, A. Sustainable product-package design in a food supply chain: A multi-criteria life cycle approach. Packag. Technol. Sci. 2019, 32, 85–101. [Google Scholar] [CrossRef]
- Mohammadi, M.; Rezaei, J. Bayesian best-worst method: A probabilistic group decision making model. Omega 2019, 96, 102075. [Google Scholar] [CrossRef]
- Ouchi, F. A literature review on the use of expert opinion in probabilistic risk analysis. Policy Res. Work. Pap. Ser. 2004. [Google Scholar] [CrossRef]
- Cai, M.; Lin, Y.; Han, B.; Liu, C.; Zhang, W. On a simple and efficient approach to probability distribution function aggregation. IEEE Trans. Syst. Man Cybern. Syst. 2016, 47, 2444–2453. [Google Scholar] [CrossRef]
- Che, X.; Mi, J.; Chen, D. Information fusion and numerical characterization of a multi-source information system. Knowl. Based Syst. 2018, 145, 121–133. [Google Scholar] [CrossRef]
- Li, H.; Huang, H.Z.; Li, Y.F.; Zhou, J.; Mi, J. Physics of failure-based reliability prediction of turbine blades using multi-source information fusion. Appl. Soft Comput. 2018, 72, 624–635. [Google Scholar] [CrossRef]
- Jin, S.; Liu, Y.; Lin, Z. A Bayesian network approach for fixture fault diagnosis in launch of the assembly process. Int. J. Prod. Res. 2012, 50, 6655–6666. [Google Scholar] [CrossRef]
- Wang, B.; Xu, F.; Shu, L. A Bayesian approach to diagnosing covariance matrix shifts. Qual. Reliab. Eng. Int. 2020, 36, 736–752. [Google Scholar] [CrossRef]
- Peng, W.; Huang, H.Z.; Li, Y.; Zuo, M.J.; Xie, M. Life cycle reliability assessment of new products—A Bayesian model updating approach. Reliab. Eng. Syst. Saf. 2013, 112, 109–119. [Google Scholar] [CrossRef]
- Wang, L.; Pan, R.; Wang, X.; Fan, W.; Xuan, J. A Bayesian reliability evaluation method with different types of data from multiple sources. Reliab. Eng. Syst. Saf. 2017, 167, 128–135. [Google Scholar] [CrossRef]
- Di Maio, F.; Tsui, K.L.; Zio, E. Combining relevance vector machines and exponential regression for bearing residual life estimation. Mech. Syst. Signal Process. 2012, 31, 405–427. [Google Scholar] [CrossRef]
- Wang, X.; Jiang, P.; Guo, B.; Cheng, Z. Real-time reliability evaluation with a general Wiener process-based degradation model. Qual. Reliab. Eng. Int. 2014, 30, 205–220. [Google Scholar] [CrossRef]
- Johnson, V.E.; Moosman, A.; Cotter, P. A hierarchical model for estimating the early reliability of complex systems. IEEE Trans. Reliab. 2005, 54, 224–231. [Google Scholar] [CrossRef]
- Yontay, P.; Pan, R. A computational Bayesian approach to dependency assessment in system reliability. Reliab. Eng. Syst. Saf. 2016, 152, 104–114. [Google Scholar] [CrossRef]
- Guo, J.; Li, Z.S.; Jin, J.J. System reliability assessment with multilevel information using the Bayesian melding method. Reliab. Eng. Syst. Saf. 2018, 170, 146–158. [Google Scholar] [CrossRef]
- Safari, H.; Faraji, Z.; Majidian, S. Identifying and evaluating enterprise architecture risks using FMEA and fuzzy VIKOR. J. Intell. Manuf. 2016, 27, 475–486. [Google Scholar] [CrossRef]
- Kabir, S.; Walker, M.; Papadopoulos, Y.; Rüde, E.; Securius, P. Fuzzy temporal fault tree analysis of dynamic systems. Int. J. Approx. Reason. 2016, 77, 20–37. [Google Scholar] [CrossRef]
- Hafezalkotob, A.; Hafezalkotob, A. A novel approach for combination of individual and group decisions based on fuzzy best-worst method. Appl. Soft Comput. 2017, 59, 316–325. [Google Scholar] [CrossRef]
- Mou, Q.; Xu, Z.; Liao, H. An intuitionistic fuzzy multiplicative best-worst method for multi-criteria group decision making. Inf. Sci. 2016, 374, 224–239. [Google Scholar] [CrossRef]
- Mohammadi, M.; Rezaei, J. Evaluating and comparing ontology alignment systems: An MCDM approach. J. Web Semant. 2020, 64, 100592. [Google Scholar] [CrossRef]
- Jung, H.; Jeong, S.J. Managing demand uncertainty through fuzzy inference in supply chain planning. Int. J. Prod. Res. 2012, 50, 5415–5429. [Google Scholar] [CrossRef]
- Gok, A. A new approach to minimization of the surface roughness and cutting force via fuzzy TOPSIS, multi-objective grey design and RSA. Measurement 2015, 70, 100–109. [Google Scholar] [CrossRef]
- Daneshvar, S.; Yazdi, M.; Adesina, K.A. Fuzzy smart failure modes and effects analysis to improve safety performance of system: Case study of an aircraft landing system. Qual. Reliab. Eng. Int. 2020, 36, 890–909. [Google Scholar] [CrossRef]
- Ross, T.J. Properties of membership functions, fuzzification, and defuzzification. In Fuzzy Logic with Engineering Applications; Wiley: Hoboken, NJ, USA, 2010; pp. 89–116. [Google Scholar]
- Yang, L.; Guo, Y.; Kong, Z. On the performance evaluation of a hierarchical-structure prototype product using inconsistent prior information and limited test data. Inf. Sci. 2019, 485, 362–375. [Google Scholar] [CrossRef]
- Poole, D.; Raftery, A.E. Inference for deterministic simulation models: The Bayesian melding approach. J. Am. Stat. Assoc. 2000, 95, 1244–1255. [Google Scholar] [CrossRef]
- Shaddick, G.; Thomas, M.L.; Green, A.; Brauer, M.; van Donkelaar, A.; Burnett, R.; Chang, H.H.; Cohen, A.; Van Dingenen, R.; Dora, C.; et al. Data integration model for air quality: A hierarchical approach to the global estimation of exposures to ambient air pollution. J. R. Stat. Soc. Ser. C (Appl. Stat.) 2018, 67, 231–253. [Google Scholar] [CrossRef]
- Yuan, C.; Druzdzel, M.J. Improving importance sampling by adaptive split-rejection control in Bayesian networks. In Proceedings of the 20th Conference of the Canadian Society for Computational Studies of Intelligence, Montreal, QC, Canada, 28–30 May 2007; pp. 332–343. [Google Scholar]
- Wang, Y.; Yam, R.C.; Zuo, M.J.; Tse, P. A comprehensive reliability allocation method for design of CNC lathes. Reliab. Eng. Syst. Saf. 2001, 72, 247–252. [Google Scholar] [CrossRef]






| (a) Best-to Others Vectors | ||||||
| Expert No. | best | S | T | M | A | E |
| 1 | T | 3 | 1 | 4 | 4 | 5 |
| 2 | S | 1 | 2 | 3 | 4 | 6 |
| 3 | A | 2 | 1 | 4 | 3 | 6 |
| 4 | M | 2 | 2 | 1 | 2 | 5 |
| 5 | E | 1 | 3 | 4 | 5 | 4 |
| (b) Others-to-Worst Vectors | ||||||
| Expert No. | 1 | 2 | 3 | 4 | 5 | |
| Worst | E | E | E | E | A | |
| S | 4 | 4 | 3 | 2 | 3 | |
| T | 5 | 4 | 5 | 3 | 2 | |
| M | 2 | 3 | 3 | 3 | 2 | |
| A | 3 | 3 | 2 | 2 | 1 | |
| E | 1 | 1 | 1 | 1 | 2 | |
| No. | Linguistic Variable | Fuzzy Number | No. | Linguistic Variable | Fuzzy Number |
|---|---|---|---|---|---|
| 1 | Extremely low (N) | (0, 0, 0.2) | 2 | Very low (VL) | (0, 0.2, 0.4) |
| 3 | Low (L) | (0.2, 0.4, 0.6) | 4 | Moderate (M) | (0.4, 0.6, 0.8) |
| 5 | High (H) | (0.6, 0.8, 1.0) | 6 | Very high (VH) | (0.8, 1.0, 1.0) |
| No. | Subsystem | Similar Product | New Product | ||
|---|---|---|---|---|---|
| Shape Parameter | Scale Parameter | RIF | Scale Parameter | ||
| 1 | Driving | 1.830 | 25,831.0 | 0.490 | 50,669.4 |
| 2 | Transmission | 0.9549 | 17,219.1 | 0.525 | 36,232.5 |
| 3 | Lock & Loosen | 0.8882 | 18,470.6 | 0.578 | 43,786.3 |
| 4 | Signal | 0.740 | 1969.2 | 0.917 | 23,697.39 |
| 5 | Sealing | 1.020 | 9479.5 | 0.739 | 36,325.23 |
| S | T | M | A | E | |
|---|---|---|---|---|---|
| Expert 1 | 0.187 | 0.46 | 0.14 | 0.14 | 0.072 |
| Expert 2 | 0.393 | 0.246 | 0.164 | 0.123 | 0.074 |
| Expert 3 | 0.243 | 0.408 | 0.121 | 0.162 | 0.066 |
| Expert 4 | 0.200 | 0.200 | 0.320 | 0.200 | 0.080 |
| Expert 5 | 0.436 | 0.182 | 0.136 | 0.109 | 0.136 |
| Arithmetic mean | 0.292 | 0.299 | 0.176 | 0.147 | 0.086 |
| Bayesian BWM | 0.263 | 0.290 | 0.184 | 0.159 | 0.105 |
| Prior of Weight | Uniform Distribution | Beta Distribution |
|---|---|---|
| Mean value (h) | 5774.53 h | 5878.311 h |
| 95% credible interval | [5870.13 h, 6128.26 h] | [5755.91 h, 6000.71 h] |
| 95% credible interval width | 258.13 h | 244.80 h |
Publisher’s Note: MDPI stays neutral with regard to jurisdictional claims in published maps and institutional affiliations. |
© 2020 by the authors. Licensee MDPI, Basel, Switzerland. This article is an open access article distributed under the terms and conditions of the Creative Commons Attribution (CC BY) license (http://creativecommons.org/licenses/by/4.0/).
Share and Cite
Sun, B.; Yang, Z.; Balakrishnan, N.; Chen, C.; Tian, H.; Luo, W. An Adaptive Bayesian Melding Method for Reliability Evaluation Via Limited Failure Data: An Application to the Servo Turret. Appl. Sci. 2020, 10, 7591. https://doi.org/10.3390/app10217591
Sun B, Yang Z, Balakrishnan N, Chen C, Tian H, Luo W. An Adaptive Bayesian Melding Method for Reliability Evaluation Via Limited Failure Data: An Application to the Servo Turret. Applied Sciences. 2020; 10(21):7591. https://doi.org/10.3390/app10217591
Chicago/Turabian StyleSun, Bo, Zhaojun Yang, Narayanaswamy Balakrishnan, Chuanhai Chen, Hailong Tian, and Wei Luo. 2020. "An Adaptive Bayesian Melding Method for Reliability Evaluation Via Limited Failure Data: An Application to the Servo Turret" Applied Sciences 10, no. 21: 7591. https://doi.org/10.3390/app10217591
APA StyleSun, B., Yang, Z., Balakrishnan, N., Chen, C., Tian, H., & Luo, W. (2020). An Adaptive Bayesian Melding Method for Reliability Evaluation Via Limited Failure Data: An Application to the Servo Turret. Applied Sciences, 10(21), 7591. https://doi.org/10.3390/app10217591
