Design Optimization of Rubber-Basalt Fiber- Modified Concrete Mix Ratios Based on a Response Surface Method
Abstract
1. Introduction
2. Materials and Methods
2.1. Materials
2.2. Specimen Preparation
2.3. Experimental Methods
2.3.1. Slump
2.3.2. Compressive Strength
2.3.3. Flexural Strength
2.4. Response Surface Method
3. Results and Discussion
3.1. Test Results Based on BBD
3.2. Analysis and Discussion
3.2.1. ANOVA
3.2.2. Slump Analysis (SP)
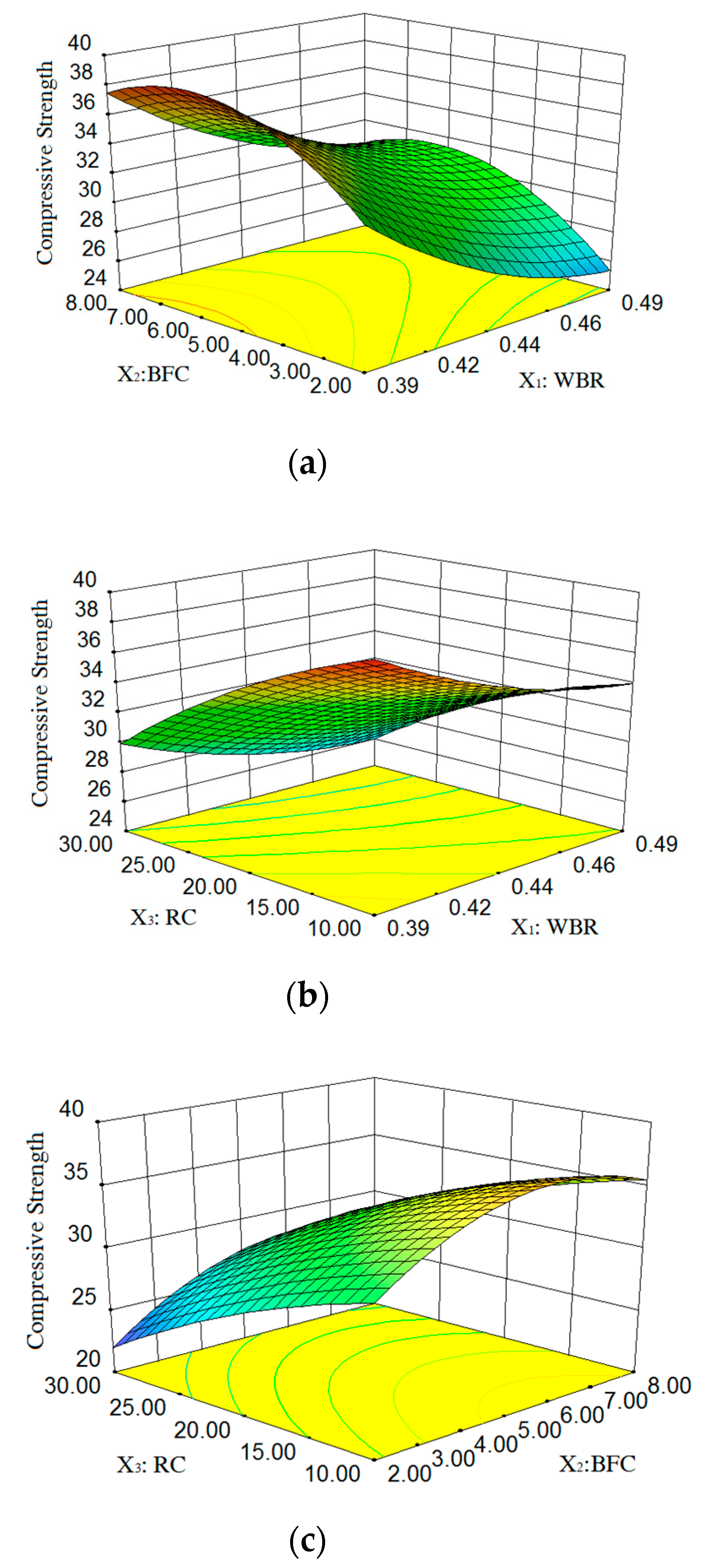
3.2.3. CS Analysis
3.2.4. Flexural Strength Analysis (FS)
3.3. Optimization and Verification
4. Conclusions
- Based on RSM, an optimum RBFC design is proposed: water-binder ratio is 0.39, basalt fiber content is 4.56 kg/m3, and rubber content is 10%. Compared with the test results, it possesses favorable and reliable accuracy.
- The incorporation of rubber aggregate has a significant impact on the compressive strength of concrete. The rubber aggregate partly replaces the fine aggregate, and the effective compressive strength of the rubber aggregate is much lower than that of fine aggregate, which leads to a decrease in the strength of concrete.
- The content of basalt fiber has a significant effect on the slump and flexural strength of concrete. When the fiber content is small, it can slow down the growth of concrete cracks. Excessive fibers will cause the fibers to form agglomerates, which is disadvantageous in the bending strength.
- Rubber aggregate and basalt fiber have been proved to help modify concrete. Waste rubber materials can be recycled to reduce environmental pollution. On the other hand, it can also improve the performance of concrete. In the long run, RBFC will produce good economic benefits.
Author Contributions
Funding
Acknowledgments
Conflicts of Interest
References
- Deng, Z.C.; Liu, X.C. Analysis and prospect of the research status of road rubber concrete. Traffic Eng. Technol. Natl. Def. 2010, 8, 1–5. [Google Scholar]
- Gheni, A.A.; Abdelkarim, O.I.; Abdulazeez, M.M.; EIGawady, M.A. Texture and design of green chip seal using recycled crumb rubber aggregate. J. Clean. Prod. 2017, 166, 1084–1101. [Google Scholar] [CrossRef]
- Zhang, Z.; Lian, Y.X. Discussion on the current situation and development trend of waste rubber utilization in my country. Sci. Technol. Wind 2015, 5, 101. [Google Scholar]
- Song, S.M.; Liu, J.H. Research on high toughness concrete modified by rubber powder. Concr. Cem. Prod. 1997, 1, 10–11,53. [Google Scholar]
- Son, K.S.; Hajirasouliha, I.; Pilakoutas, K. Strength and deformability of waste tyre rubber-filled reinforced concrete columns. Constr. Build. Mater. 2011, 25, 218–226. [Google Scholar] [CrossRef]
- Youssf, O.; Elgawady, M.A.; Mills, J.E. Experimental Investigation of Crumb Rubber Concrete Columns under Seismic Loading. Structures 2015, 3, 13–27. [Google Scholar] [CrossRef]
- Pham, N.P.; Toumi, A.; Turatsinze, A. Effect of an enhanced rubber-cement matrix interface on freeze-thaw resistance of the cement-based composite. Constr. Build. Mater. 2019, 207, 528–534. [Google Scholar] [CrossRef]
- Wang, T.; Hong, J.X.; Miao, C.W.; Liu, J.P. Experimental research on rubber concrete. Concrete 2009, 1, 67–69. [Google Scholar]
- Savas, B.Z.; Ahmad, S.; Fedroff, D. Freeze-thaw durability of concrete with ground waste tire rubber. Transp. Res. Rec. 1997, 1574, 80–88. [Google Scholar] [CrossRef]
- Han, Y.; Bai, Y.Q.; Ba, S.T. Research progress and application of rubber aggregate modified concrete. Concrete 2013, 10, 87–90. [Google Scholar]
- Ghaly, A.M.; Iv, J.D.C. Correlation of strength, rubber content, and water to cement ratio in rubberized concrete. Rev. Can. Génie Civ. 2005, 32, 1075–1081. [Google Scholar] [CrossRef]
- Marques, A.C.; Nirschl, G.C.; Akasaki, J.L. Mechanical properties of tire rubber concrete. Holos Environ. 2006, 1, 31–41. [Google Scholar] [CrossRef]
- Li, Y.; Li, Y.Q. Experimental study on performance of rubber particle and steel fiber composite toughening concrete. Constr. Build. Mater. 2017, 146, 267–275. [Google Scholar] [CrossRef]
- Niu, D.; Su, L.; Luo, Y.; Hang, D.G.; Luo, D.M. Experimental study on mechanical properties and durability of basalt fiber reinforced coral aggregate concrete. Constr. Build. Mater. 2020, 237, 117628. [Google Scholar] [CrossRef]
- Al-Masoodi, A.H.H.; Kawan, A.; Kasmuri, M.; Hamid, R.; Khan, M.N.N. Static and dynamic properties of concrete with different types and shapes of fibrous reinforcement. Constr. Build. Mater. 2016, 104, 247–262. [Google Scholar] [CrossRef]
- Algin, Z.; Ozen, M. The properties of chopped basalt fibre reinforced self-compacting concrete. Constr. Build. Mater. 2018, 186, 678–685. [Google Scholar] [CrossRef]
- Liu, P.S.; Wei, S.H.; Li, B.Q. Experimental study on the mechanical properties of basalt fiber concrete. Hebei Ind. Sci. Technol. 2016, 33, 126–131. [Google Scholar]
- Katkhuda, H.; Shatarat, N. Improving the mechanical properties of recycled concrete aggregate using chopped basalt fibers and acid treatment. Constr. Build. Mater. 2017, 140, 328–335. [Google Scholar] [CrossRef]
- Jalasutram, S.; Sahoo, D.R.; Matsagar, V. Experimental investigation of the mechanical properties of basalt fiber-reinforced concrete. Struct. Concr. 2017, 18, 292–302. [Google Scholar] [CrossRef]
- Peng, M.; Huang, H.X.; Liao, Q.H.; Wang, J.C. Experimental study on the basic mechanical properties of basalt fiber concrete. Concrete 2012, 01, 79–80. [Google Scholar]
- Wang, W.; Cheng, Y.; Tan, G. Design Optimization of SBS-Modified Asphalt Mixture Reinforced with Eco-Friendly Basalt Fiber Based on Response Surface Methodology. Materials 2018, 11, 1311. [Google Scholar] [CrossRef] [PubMed]
- Cho, T. Prediction of cyclic freeze–thaw damage in concrete structures based on response surface method. Constr. Build. Mater. 2007, 21, 2031–2040. [Google Scholar] [CrossRef]
- Omid, R.; Mohsen, H.; Majid, G. Concrete made with hybrid blends of crumb rubber and metakaolin: Optimization using Response Surface Method. Constr. Build. Mater. 2016, 123, 59–68. [Google Scholar]
- Gueneyisi, E.; Gesoglu, M.; Algin, Z.; Mermerdas, K. Optimization of concrete mixture with hybrid blends of metakaolin and fly ash using response surface method. Compos. Part B Eng. 2014, 60, 707–715. [Google Scholar] [CrossRef]
- Nematzadeh, M.; Fallah-Valukolaee, S. Effectiveness of fibers and binders in high-strength concrete under chemical corrosion. Struct. Eng. Mech. 2017, 64, 243–257. [Google Scholar]
- Liu, H.B.; Liu, S.Q.; Wang, S.R.; Gao, X.; Gong, Y.F. Effect of Mix Proportion Parameters on Behaviors of Basalt Fiber RPC Based on Box-Behnken Model. Appl. Sci. 2019, 9, 2031. [Google Scholar] [CrossRef]
- Lu, S.Q. Research on Mechanical Properties and Compressive Damage Characteristics of Basalt Fiber Reactive Powder Concrete. Master’s Thesis, Jilin University, Changchun, China, 2020. [Google Scholar]
- Bayramov, F.; Taşdemir, C.; Taşdemir, M.A. Optimisation of steel fibre reinforced concretes by means of statistical response surface method. Cem. Concr. Compos. 2004, 26, 665–675. [Google Scholar] [CrossRef]
- Sundari, S.; Sukumar, S. Prediction model for optimized self-compacting concrete with fly ash using response surface method based on fuzzy classification. Neural Comput. Appl. 2019, 31, 1365–1373. [Google Scholar]
- Alyamac, K.E.; Ghafari, E.; Ince, R. Development of eco-efficient self-compacting concrete with waste marble powder using the response surface method. J. Clean. Prod. 2016, 144, 192–202. [Google Scholar] [CrossRef]
- Wang, X.; Yu, R.; Shui, Z.; Song, Q.; Zhang, Z. Mix design and characteristics evaluation of an eco-friendly Ultra-High Performance Concrete incorporating recycled coral based materials. J. Clean. Prod. 2017, 165, 70–80. [Google Scholar] [CrossRef]
- Chen, F.; Chen, X. Research on Orthogonal Test of Basalt Fiber Concrete. J. Fuzhou Univ. Nat. Sci. Ed. 2014, 1, 133–137. [Google Scholar]
- Liu, H.; Li, W.; Luo, G.; Liu, S.; Lyu, X. Mechanical Properties and Fracture Behavior of Crumb Rubber Basalt Fiber Concrete Based on Acoustic Emission Technology. Sensors 2020, 20, 3513. [Google Scholar] [CrossRef] [PubMed]
- Lu, X.H. Study on the Mechanics and Durability of Rubber Particles/Basalt Fiber Modified Concrete. Master’s Thesis, Jilin University, Changchun, China, 2018. [Google Scholar]
- GB/T 50080-2016. Standard for Test Method of Performance of Ordinary Concrete Mixture; State Administration for Market Regulation: Beijing, China, 2016. (In Chinese) [Google Scholar]
- GB/T 50081-2002. Standard for Test Methods of Ordinary Concrete Mechanical Properties; Ministry of Construction: Beijing, China, 2002. (In Chinese) [Google Scholar]
- Omranian, S.R.; Hamzah, M.O.; Valentin, J.; Hasan, M.R.M. Determination of optimal mix from the standpoint of short term aging based on asphalt mixture fracture properties using response surface method. Constr. Build. Mater. 2018, 179, 35–48. [Google Scholar] [CrossRef]
- Al-Amoudi, R.H.; Taylan, O.; Kutlu, G.; Can, A.M.; Sagdic, O.; Dertli, E.; Yimaz, M.T. Characterization of chemical, molecular, thermal and rheological properties of medlar pectin extracted at optimum conditions as determined by Box-Behnken and ANFIS models. Food Chem. 2019, 271, 650–662. [Google Scholar] [CrossRef] [PubMed]
- Wu, Z.; Yuan, H.; Lu, Z.; Fan, X. Experimental study on the mechanical properties of basalt fiber concrete. Concrete 2009, 9, 67–68. [Google Scholar]
- Kabay, N. Abrasion resistance and fracture energy of concretes with basalt fiber. Constr. Build. Mater. 2014, 50, 95–101. [Google Scholar] [CrossRef]
- Arslan, M.E. Effects of basalt and glass chopped fibers addition on fracture energy and mechanical properties of ordinary concrete: CMOD measurement. Constr. Build. Mater. 2016, 114, 383–391. [Google Scholar] [CrossRef]







| Material | Chemical Composition (%) | |||||
|---|---|---|---|---|---|---|
| SiO2 | Al2O3 | Fe2O3 | CaO | MgO | SO3 | |
| Cement | 22.6 | 5.6 | 4.3 | 62.7 | 1.7 | 2.5 |
| Technical Index | Particle Size | Moisture | Ash | Acetone Extract | Fiber Content | Metal Content |
|---|---|---|---|---|---|---|
| Unit | Mesh | % | % | % | % | % |
| Index Value | 20 | 1.0 | 1.0 | 15 | 0.5 | 0.08 |
| Technical Index | Length | Diameter | Linear Density | Tensile Strength | Elongation at Break | Elastic Modulus |
|---|---|---|---|---|---|---|
| Unit | mm | µm | Tex | MPa | % | GPa |
| Index Value | 18 | 23 | 2398 | 2320 | 2.1 | 42 |
| No. | Water (kg/m3) | Cement (kg/m3) | Fine Aggregate (kg/m3) | Coarse Aggregate (kg/m3) | Basalt Fiber (kg/m3) | Crumb Rubber (kg/m3) | Superplasticizer (kg/m3) |
|---|---|---|---|---|---|---|---|
| 1 | 185 | 420.45 | 561.06 | 1190.71 | 2 | 25.41 | 8.41 |
| 2 | 185 | 420.45 | 535.66 | 1190.71 | 5 | 50.81 | 8.41 |
| 3 | 185 | 474.36 | 520.97 | 1158.53 | 2 | 49.65 | 9.49 |
| 4 | 185 | 377.55 | 547.35 | 1216.32 | 2 | 51.74 | 7.55 |
| 5 | 185 | 420.45 | 561.06 | 1190.71 | 8 | 25.41 | 8.41 |
| 6 | 185 | 420.45 | 535.66 | 1190.71 | 5 | 50.81 | 8.41 |
| 7 | 185 | 474.36 | 545.79 | 1158.53 | 5 | 24.82 | 9.49 |
| 8 | 185 | 420.45 | 535.66 | 1190.71 | 5 | 50.81 | 8.41 |
| 9 | 185 | 474.36 | 496.15 | 1158.53 | 5 | 74.47 | 9.49 |
| 10 | 185 | 420.45 | 535.66 | 1190.71 | 5 | 50.81 | 8.41 |
| 11 | 185 | 474.36 | 520.97 | 1158.53 | 8 | 49.65 | 9.49 |
| 12 | 185 | 420.45 | 510.25 | 1190.71 | 8 | 76.22 | 8.41 |
| 13 | 185 | 420.45 | 510.25 | 1190.71 | 2 | 76.22 | 8.41 |
| 14 | 185 | 377.55 | 547.35 | 1216.32 | 8 | 51.74 | 7.55 |
| 15 | 185 | 420.45 | 535.66 | 1190.71 | 5 | 50.81 | 8.41 |
| 16 | 185 | 377.55 | 573.21 | 1216.32 | 5 | 25.87 | 7.55 |
| 17 | 185 | 377.55 | 521.48 | 1216.32 | 5 | 77.61 | 7.55 |
| Factors | Units | Levels: Actual (Coded) | |||
|---|---|---|---|---|---|
| Low (−1) | Medium (0) | High (+1) | |||
| X1 | WBR | - | 0.39 | 0.44 | 0.49 |
| X2 | BFC | kg/m3 | 2 | 5 | 8 |
| X3 | RC | % | 10 | 20 | 30 |
| No. | Preparation Parameters | Responses | ||||
|---|---|---|---|---|---|---|
| WBR X1 | BFC X2 (kg/m3) | RC X3 (%) | SP Y1 (mm) | CS Y2 (MPa) | FS Y3 (MPa) | |
| 1 | 0.44 | 2 | 10 | 70 | 31.73 | 3.6 |
| 2 | 0.44 | 5 | 20 | 51 | 32.43 | 3.7 |
| 3 | 0.39 | 2 | 20 | 63 | 28.61 | 3.3 |
| 4 | 0.49 | 2 | 20 | 74 | 25.11 | 3.0 |
| 5 | 0.44 | 8 | 10 | 61 | 33.85 | 3.5 |
| 6 | 0.44 | 5 | 20 | 53 | 32.91 | 3.7 |
| 7 | 0.39 | 5 | 10 | 58 | 39.91 | 4.1 |
| 8 | 0.44 | 5 | 20 | 50 | 32.19 | 3.8 |
| 9 | 0.39 | 5 | 30 | 39 | 30.88 | 3.4 |
| 10 | 0.44 | 5 | 20 | 49 | 32.65 | 3.7 |
| 11 | 0.39 | 8 | 20 | 39 | 35.12 | 3.2 |
| 12 | 0.44 | 8 | 30 | 36 | 25.63 | 3.5 |
| 13 | 0.44 | 2 | 30 | 54 | 22.31 | 2.9 |
| 14 | 0.49 | 8 | 20 | 63 | 32.23 | 3.4 |
| 15 | 0.44 | 5 | 20 | 55 | 31.83 | 3.8 |
| 16 | 0.49 | 5 | 10 | 78 | 33.33 | 3.6 |
| 17 | 0.49 | 5 | 30 | 60 | 25.53 | 3.2 |
| Responses | Standard Deviation | R-Squared | Adj. R-Squared | Adeq. Precision | F-Value | p-Value | Significant | |
|---|---|---|---|---|---|---|---|---|
| R1 | SP | 2.32 | 0.9832 | 0.9617 | 23.737 | 45.62 | <0.0001 | Yes |
| R2 | CS | 1.32 | 0.9563 | 0.9000 | 17.159 | 17.01 | 0.0006 | Yes |
| R3 | FS | 0.10 | 0.9461 | 0.9180 | 17.397 | 20.90 | 0.0003 | Yes |
| Responses | Factors | Sum of Squares | Degree of Freedom | Mean Square | F-Value | p-Value | Significant |
|---|---|---|---|---|---|---|---|
| SP | WBR | 171.30 | 1 | 171.30 | 31.80 | 0.0008 | Yes |
| BFC | 516.10 | 1 | 516.10 | 95.82 | <0.0001 | Yes | |
| RC | 654.44 | 1 | 654.44 | 121.51 | <0.0001 | Yes | |
| WBR × BFC | 42.25 | 1 | 42.25 | 7.84 | 0.0265 | Yes | |
| WBR × RC | 0.25 | 1 | 0.25 | 0.046 | 0.8356 | No | |
| BFC × RC | 20.25 | 1 | 20.25 | 3.75 | 0.0937 | No | |
| (WBR)2 | 142.86 | 1 | 142.86 | 26.52 | 0.0013 | Yes | |
| (BFC)2 | 22.76 | 1 | 22.76 | 4.22 | 0.0789 | No | |
| (RC)2 | 7.39 | 1 | 7.39 | 1.37 | 0.2797 | No | |
| CS | WBR | 38.84 | 1 | 38.84 | 20.92 | 0.0026 | Yes |
| BFC | 37.05 | 1 | 37.05 | 19.96 | 0.0029 | Yes | |
| RC | 131.31 | 1 | 131.31 | 70.73 | <0.0001 | Yes | |
| WBR × BFC | 0.09 | 1 | 0.09 | 0.050 | 0.8293 | No | |
| WBR × RC | 0.37 | 1 | 0.37 | 0.20 | 0.6654 | No | |
| BFC × RC | 0.36 | 1 | 0.36 | 0.19 | 0.6730 | No | |
| (WBR)2 | 3.79 | 1 | 3.79 | 2.04 | 0.1960 | No | |
| (BFC)2 | 40.03 | 1 | 40.03 | 21.56 | 0.0024 | Yes | |
| (RC)2 | 3.70 | 1 | 3.70 | 1.99 | 0.2004 | No | |
| FS | WBR | 0.0098 | 1 | 0.0098 | 1.32 | 0.2877 | No |
| BFC | 0.071 | 1 | 0.071 | 9.58 | 0.0174 | Yes | |
| RC | 0.41 | 1 | 0.41 | 55.90 | 0.0001 | Yes | |
| WBR × BFC | 0.02 | 1 | 0.02 | 3.02 | 0.1253 | No | |
| WBR × RC | 0.02 | 1 | 0.02 | 3.02 | 0.1253 | No | |
| BFC × CRC | 0.12 | 1 | 0.12 | 16.49 | 0.0048 | Yes | |
| (WBR)2 | 0.073 | 1 | 0.073 | 9.95 | 0.0161 | Yes | |
| (BFC)2 | 0.46 | 1 | 0.46 | 62.66 | <0.0001 | Yes | |
| (RC)2 | 0.004 | 1 | 0.004 | 0.59 | 0.4644 | No |
| Responses | WBR | BFC (kg/m3) | RC (%) | SP (mm) | CS (MPa) | FS (MPa) | |
|---|---|---|---|---|---|---|---|
| Prediction | 0.39 | 4.56 | 10 | 64 | 39.96 | 3.8 | |
| Experimental | 1 | 0.39 | 4.56 | 10 | 67 | 38.27 | 3.9 |
| 2 | 0.39 | 4.56 | 10 | 68 | 39.98 | 3.8 | |
| 3 | 0.39 | 4.56 | 10 | 65 | 38.11 | 3.8 | |
| Mean | 0.39 | 4.56 | 10 | 66.67 | 38.78 | 3.83 | |
| Relative Error (%) | — | — | — | 4.17 | −2.95 | 0.79 | |
© 2020 by the authors. Licensee MDPI, Basel, Switzerland. This article is an open access article distributed under the terms and conditions of the Creative Commons Attribution (CC BY) license (http://creativecommons.org/licenses/by/4.0/).
Share and Cite
Gong, Y.; Song, J.; Lin, S.; Yang, J.; He, Y.; Tan, G. Design Optimization of Rubber-Basalt Fiber- Modified Concrete Mix Ratios Based on a Response Surface Method. Appl. Sci. 2020, 10, 6753. https://doi.org/10.3390/app10196753
Gong Y, Song J, Lin S, Yang J, He Y, Tan G. Design Optimization of Rubber-Basalt Fiber- Modified Concrete Mix Ratios Based on a Response Surface Method. Applied Sciences. 2020; 10(19):6753. https://doi.org/10.3390/app10196753
Chicago/Turabian StyleGong, Yafeng, Jiaxiang Song, Siyuan Lin, Jianxing Yang, Yang He, and Guojin Tan. 2020. "Design Optimization of Rubber-Basalt Fiber- Modified Concrete Mix Ratios Based on a Response Surface Method" Applied Sciences 10, no. 19: 6753. https://doi.org/10.3390/app10196753
APA StyleGong, Y., Song, J., Lin, S., Yang, J., He, Y., & Tan, G. (2020). Design Optimization of Rubber-Basalt Fiber- Modified Concrete Mix Ratios Based on a Response Surface Method. Applied Sciences, 10(19), 6753. https://doi.org/10.3390/app10196753

