Analysis of the Target Detection Performance of Air-to-Air Airborne Radar Using Long-Range Propagation Simulation in Abnormal Atmospheric Conditions
Abstract
1. Introduction
2. Long-Range Propagation Analysis of Air-to-Air Airborne Radars
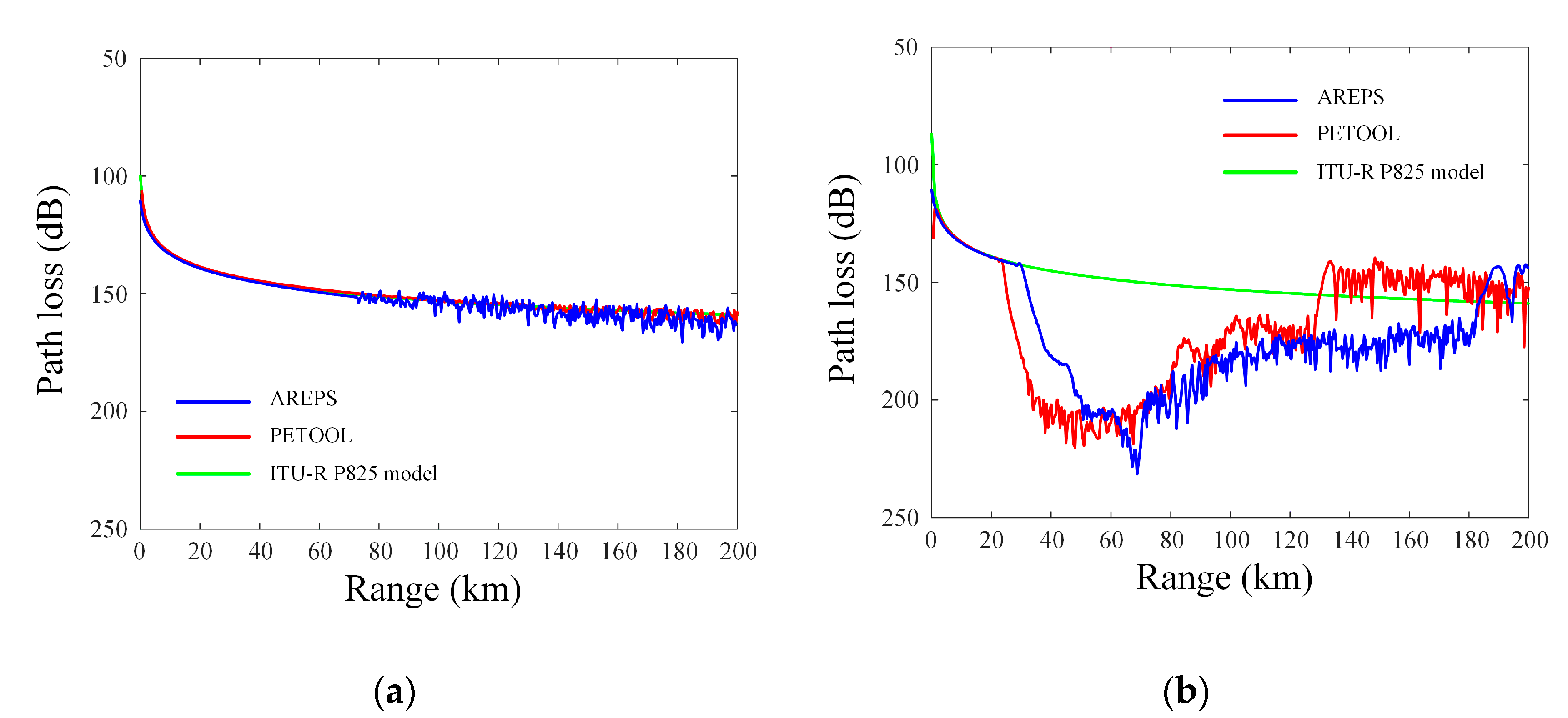
2.1. Abnormal Atmospheric Conditions and Propagation Characteristics
2.2. Target Detection Performance in Abnormal Atmosphere
3. Conclusions
Author Contributions
Funding
Conflicts of Interest
References
- Barclay, M.; Pietzschmann, U.; Gonzalez, G.; Tellini, P. AESA upgrade option for Eurofighter Captor radar. In Proceedings of the 2008 IEEE Radar Conference, Rome, Italy, 26–30 May 2008; pp. 1–5. [Google Scholar]
- Benzon, H.-H.; Høeg, P. Wave propagation simulation of radio occultations based on ECMWF refractivity profiles. Radio Sci. 2015, 50, 778–788. [Google Scholar] [CrossRef]
- Farina, A.; Saverione, A.; Timmoneri, L. MVDR vectorial lattice applied to space-time processing for AEW radar with large instantaneous bandwidth. IEE Proc. Radar Sonar Navig. 1996, 143, 41–46. [Google Scholar] [CrossRef]
- Karimian, A.; Yardim, C.; Gerstoft, P.; Hodgkiss, W.S.; Barrios, A.E. Refractivity estimation from sea clutter: An invited review. Radio Sci. 2011, 46, 1–6. [Google Scholar] [CrossRef]
- Kim, C.-K.; Lee, J.-S.; Chae, J.-S.; Park, S.-O. A modified stripmap SAR processing for vector velocity compensation using the cross-correlation estimation method. J. Electromagn. Eng. Sci. 2019, 19, 159–165. [Google Scholar] [CrossRef]
- Rim, J.-W.; Koh, I.-S. SAR image generation of ocean surface using time-divided velocity bunching model. J. Electromagn. Eng. Sci. 2019, 19, 82–88. [Google Scholar] [CrossRef]
- Kim, S.Y.; Sung, J.B.; Torre, A. In-Orbit Antenna Pattern Extraction Method for Active Phased-Array SAR Antennas. IEEE Antennas Wirel. Propag. Lett. 2016, 15, 317–320. [Google Scholar] [CrossRef]
- Wagner, M.; Gerstoft, P.; Rogers, T. Estimating refractivity from propagation loss in turbulent media: Refractivity from propagation loss. Radio Sci. 2016, 51, 1876–1894. [Google Scholar] [CrossRef]
- Xu, J.; Zhu, S.; Liao, G. Space-Time-Range Adaptive Processing for Airborne Radar Systems. IEEE Sens. J. 2015, 15, 1602–1610. [Google Scholar]
- Nathanson, F.E.; O’Reilly, P.J.; Cohen, M.N. Radar Design Principles: Signal Processing and the Environment; Scitech Publ.: Raleigh, NC, USA, 2004. [Google Scholar]
- Skolnik, M.I. Radar Handbook; McGraw-Hill: New York, NY, USA, 2008; ISBN 978-0-07-148547-0. [Google Scholar]
- Thomson, D.J.; Chapman, N.R. A wide-angle split-step algorithm for the parabolic equation. J. Acoust. Soc. Am. 1983, 74, 1848–1854. [Google Scholar] [CrossRef]
- Hitney, H.V. Hybrid ray optics and parabolic equation methods for radar propagation modeling. In Proceedings of the 92 International Conference on Radar, Brighton, UK, 12–13 October 1992; pp. 58–61. [Google Scholar]
- ITU. The Radio Refractive Index: Its Formula and Refractivity Data. ITU-R P.453. 2019. Available online: https://www.itu.int/rec/R-REC-P.453/en (accessed on 8 September 2019).
- Wang, S.; Lim, T.H.; Chong, Y.J.; Ko, J.; Park, Y.B.; Choo, H. Estimation of abnormal wave propagation by a novel duct map based on the average normalized path loss. Microw. Opt. Technol. Lett. 2020, 62, 1662–1670. [Google Scholar] [CrossRef]
- Lim, T.H.; Wang, S.; Chong, Y.-J.; Park, Y.B.; Ko, J.; Choo, H. High altitude ducts causing abnormal wave propagation in coastal area of Korea. Microw. Opt. Technol. Lett. 2020, 62, 643–650. [Google Scholar] [CrossRef]
- ITU. A Propagation Prediction Method for Aeronautical Mobile and Radionavigation Services Using the VHF, UHF and SHF Bands. ITU-R P.528. 2019. Available online: https://www.itu.int/rec/R-REC-P.528/en (accessed on 8 September 2019).
- Ozgun, O.; Apaydin, G.; Kuzuoglu, M.; Sevgi, L. PETOOL: MATLAB-based one-way and two-way split-step parabolic equation tool for radiowave propagation over variable terrain. Comput. Phys. Commun. 2011, 182, 2638–2654. [Google Scholar] [CrossRef]
- Finkelman, I.; Teneh, N.; Lukovsky, G. Detection probability calculations for fluctuating targets under clutter. In Proceedings of the 2020 14th European Conference on Antennas and Propagation (EuCAP), Copenhagen, Denmark, 15–20 March 2020; pp. 1–4. [Google Scholar]
- Gómez-Pérez, P.; Cuiñas, Í.; Crego-García, M. Reduction of radar performance for target detection within forests. J. Appl. Remote Sens. 2016, 10, 026028. [Google Scholar] [CrossRef]
- Fannin, B.; Jehn, K. A study of radar elevation-angle errors due to atmospheric refraction. IRE Trans. Antennas Propag. 1957, 5, 71–77. [Google Scholar] [CrossRef]
- Zhao, X.; Huang, J. Refractive error correction on radar target detection in evaporation duct. In Proceedings of the 2012 6th International Symposium on Antennas, Propagation and EM Theory, Xi’an, China, 22–26 October 2012; pp. 415–418. [Google Scholar]
- Lee, H.; Lee, T.; Chun, J.; Lee, J. Target positioning with surveillance radar by the estimation of atmospheric refractivity profile. IEEE Trans. Aerosp. Electron. Syst. 2020, 56, 2245–2255. [Google Scholar] [CrossRef]
- Fortunati, S.; Gini, F.; Greco, M.S.; Farina, A.; Graziano, A.; Giompapa, S.; Castella, F.R. Correction of refracted propagation effects for airborne radar tracking. IEEE Trans. Aerosp. Electron. Syst. 2013, 49, 20–41. [Google Scholar] [CrossRef]
- Blake, L.V. Radar Range-Performance Analysis; Munro Pub. Co.: Silver Spring, MD, USA, 1991. [Google Scholar]










| Parameters | Values | Parameters | Values |
|---|---|---|---|
| Pt | 106 W | T0 | 290 K |
| σ | 15 m2 | D | 0.04–17.9 |
| τ | 2 × 10−6 s | Pd | 0.01–0.99 |
| Pfa | 10−8 | f | 10 × 109 Hz |
| G | 103 | Nf | 100.5 |
| k | 1.38 × 10−23 | Ls | 100.3 |
© 2020 by the authors. Licensee MDPI, Basel, Switzerland. This article is an open access article distributed under the terms and conditions of the Creative Commons Attribution (CC BY) license (http://creativecommons.org/licenses/by/4.0/).
Share and Cite
Lim, T.H.; Go, M.; Seo, C.; Choo, H. Analysis of the Target Detection Performance of Air-to-Air Airborne Radar Using Long-Range Propagation Simulation in Abnormal Atmospheric Conditions. Appl. Sci. 2020, 10, 6440. https://doi.org/10.3390/app10186440
Lim TH, Go M, Seo C, Choo H. Analysis of the Target Detection Performance of Air-to-Air Airborne Radar Using Long-Range Propagation Simulation in Abnormal Atmospheric Conditions. Applied Sciences. 2020; 10(18):6440. https://doi.org/10.3390/app10186440
Chicago/Turabian StyleLim, Tea Heung, Minho Go, Chulhun Seo, and Hosung Choo. 2020. "Analysis of the Target Detection Performance of Air-to-Air Airborne Radar Using Long-Range Propagation Simulation in Abnormal Atmospheric Conditions" Applied Sciences 10, no. 18: 6440. https://doi.org/10.3390/app10186440
APA StyleLim, T. H., Go, M., Seo, C., & Choo, H. (2020). Analysis of the Target Detection Performance of Air-to-Air Airborne Radar Using Long-Range Propagation Simulation in Abnormal Atmospheric Conditions. Applied Sciences, 10(18), 6440. https://doi.org/10.3390/app10186440

