Numerical Investigation on Generation and Propagation Characteristics of Offshore Tsunami Wave under Landslide
Abstract
1. Introduction
2. Numerical Methods
2.1. Hydrodynamic and Turbulence Module
2.2. General Moving-Object Module
3. Model Validation
3.1. Model Setup
3.2. Model Validation
4. Results and Discussions
4.1. Effect of Falling Height under Different Submergence Conditions
4.1.1. Cases of Subaerial Landslides
4.1.2. Cases of Partial Subaerial Landslides
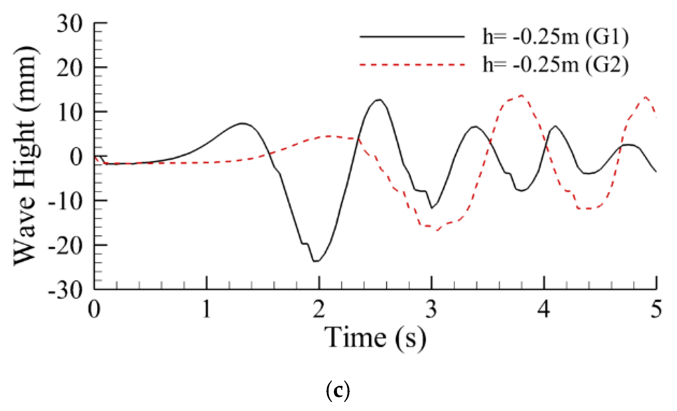
4.1.3. Cases of Submarine Landslides
4.1.4. Effect of Falling Heights
4.2. Effect of Falling Angle under Different Submergence Conditions
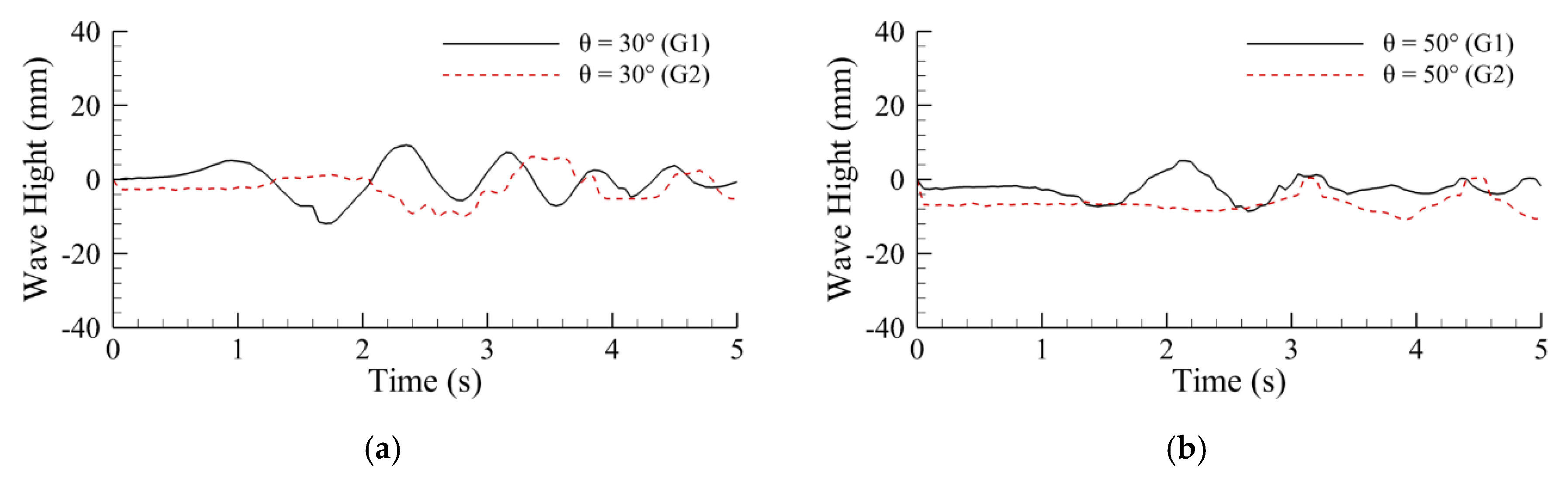
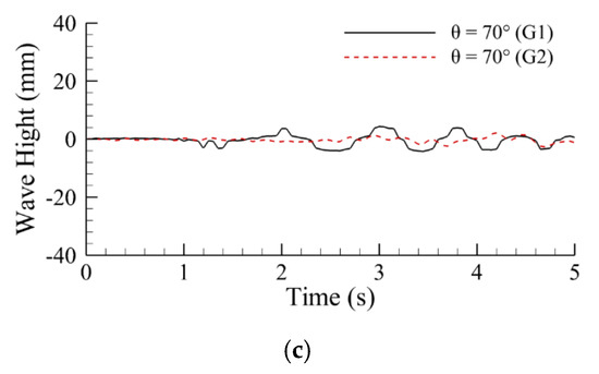
4.2.1. Cases of Subaerial Landslides
4.2.2. Cases of Partial Subaerial Landslides
4.2.3. Cases of Submarine Landslides
4.2.4. Effect of Falling Angles
4.3. Effect of Slider Geometry under Different Submergence Conditions
4.3.1. Cases of Subaerial Landslides
4.3.2. Cases of Partial Subaerial Landslides
4.3.3. Cases of Submarine Landslides
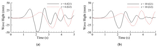
4.3.4. Effect of Slider Geometry
5. Conclusions
- For a subaerial landslide-induced tsunami, the maximum wave height decreases with the increase in the initial falling height, and there is an optimal falling height range within which landslides cause the maximum surge height. For submarine landslides and partial subaerial landslide-induced tsunamis, the maximum wave height increases with the increase in initial falling height, except for the accidental elevation of submarine landslide-induced tsunamis at smaller falling heights. When the slider is initially partially submerged, the attenuation of landslide-induced waves appears in the propagation process, and the attenuation becomes more serious with the increase in the initial submersion range.
- Since there is a greater total horizontal acceleration at a smaller falling angle and a greater total vertical acceleration at a larger falling angle, the hazard of the subaerial landslide-induced tsunami is greater under a small or large falling angle. However, when it comes to a submarine and partial subaerial landslide, the horizontal acceleration is the main factor affecting the wave height, so the hazard of the partial subaerial and submarine landslide-induced tsunami is greater under a small falling angle.
- The total wave energy decreases and the shape of the wave train proportionally reduces as the ratio of the long axis to the short axis of the semi-elliptical slider increases, while the wave propagation mode does not change.
Author Contributions
Funding
Conflicts of Interest
References
- Bondevik, S.; Løvholt, F.; Harbitz, C.; Mangerud, J.; Dawson, A.; Svendsen, J.I. The Storegga Slide tsunami—comparing field observations with numerical simulations. In Ormen Lange–An Integrated Study for Safe Field Development in the Storegga Submarine Area, 1st ed.; Solheim, A., Bryn, P., Berg, K., Sejrup, H.P., Mienert, J., Eds.; Elsevier: Amsterdam, The Netherlands, 2005; pp. 195–208. [Google Scholar]
- Geist, E.L.; Lynett, P.J.; Chaytor, J.D. Hydrodynamic modeling of tsunamis from the Currituck landslide. Mar. Geol. 2009, 264, 41–52. [Google Scholar] [CrossRef]
- Kanoglu, U.; Synolakis, C. Tsunami dynamics, forecasting, and mitigation. In Coastal and Marine Hazards, Risks, and Disasters, 1st ed.; Ellis, J.T., Sherman, D.J., Eds.; Elsevier: Amsterdam, The Netherlands, 2015; pp. 15–57. [Google Scholar]
- Bardet, J.P.; Synolakis, C.E.; Davies, H.L.; Imamura, F.; Okal, E.A. Landslide tsunamis: Recent findings and research directions. In Landslide Tsunamis: Recent Findings and Research Directions, 1st ed.; Bardet, J.P., Synolakis, C.E., Davies, H.L., Imamura, F., Okal, E.A., Eds.; Birkhäuser: Basel, Swizerland, 2003; pp. 1793–1809. [Google Scholar]
- Farrell, E.J.; Ellis, J.T.; Hickey, K.R. Tsunami case studies. In Coastal and Marine Hazards, Risks, and Disasters, 1st ed.; Ellis, J.T., Sherman, D.J., Eds.; Elsevier: Amsterdam, The Netherlands, 2015; pp. 93–128. [Google Scholar]
- Zhao, E.J.; Sun, J.K.; Tang, Y.Z.; Mu, L.; Jiang, H.Y. Numerical investigation of tsunami wave impacts on different coastal bridge decks using immersed boundary method. Ocean Eng. 2020, 201, 107–132. [Google Scholar] [CrossRef]
- Tappin, D.; Watts, P.; Grilli, S.T. The Papua New Guinea tsunami of 17 July 1998: Anatomy of a catastrophic event. Nat. Hazard Earth Syst. Sci. 2008, 8, 243–266. [Google Scholar] [CrossRef]
- Yeh, H.; Imamura, F.; Synolakis, C.; Tsuji, Y.; Liu, P.; Shi, S. The Flores Island Tsunami. EOS 1993, 74, 369–373. [Google Scholar] [CrossRef]
- Løvholt, F.; Harbitz, C.B.; Haugen, K.B. A parametric study of tsunamis generated by submarine slides in the Ormen Lange/Storegga area off western Norway. In Ormen Lange–An Integrated Study for Safe Field Development in the Storegga Submarine Area, 1st ed.; Solheim, A., Bryn, P., Sejrup, H.P., Mienert, J., Eds.; Elsevier: Amsterdam, The Nertherlands, 2005; pp. 219–231. [Google Scholar]
- Ruffini, G.; Heller, V.; Briganti, R. Numerical modelling of landslide-tsunami propagation in a wide range of idealised water body geometries. Coast. Eng. 2019, 153, 103518. [Google Scholar] [CrossRef]
- Urgeles, R.; Leynaud, D.; Lastras, G.; Canals, M.; Mienert, J. Back-analysis and failure mechanisms of a large submarine slide on the Ebro slope, NW Mediterranean. Mar. Geol. 2006, 226, 185–206. [Google Scholar] [CrossRef]
- Imran, J.; Harff, P.; Parker, G. A numerical model of submarine debris flow with graphical user interface. Comput. Geosci. 2001, 27, 717–729. [Google Scholar] [CrossRef]
- Kim, G.B.; Cheng, W.; Sunny, R.C.; Horrillo, J.J.; McFall, B.C.; Mohammed, F.; Fritz, H.M.; Beget, J.; Kowalik, Z. Three Dimensional Landslide Generated Tsunamis: Numerical and Physical Model Comparisons. Landslides 2020, 17, 1145–1161. [Google Scholar] [CrossRef]
- Renzi, E.; Sammarco, P. The hydrodynamics of landslide tsunamis: Current analytical models and future research directions. Landslides 2016, 13, 1369–1377. [Google Scholar] [CrossRef]
- Tinti, S.; Manucci, A.; Pagnoni, G.; Armigliato, A.; Zaniboni, F. The 30 December 2002 landslide-induced tsunamis in Stromboli: Sequence of the events reconstructed from the eyewitness accounts. Nat. Hazard Earth Syst. Sci. 2005, 5, 763–775. [Google Scholar] [CrossRef]
- Sammarco, P.; Renzi, E. Landslide tsunamis propagating along a plane beach. J. Fluid Mech. 2008, 598, 107–119. [Google Scholar] [CrossRef]
- Renzi, E.; Sammarco, P. Landslide tsunamis propagating around a conical island. J. Fluid Mech. 2010, 605, 251–285. [Google Scholar] [CrossRef]
- Renzi, E.; Sammarco, P. The influence of landslide shape and continental shelf on landslide generated tsunamis along a plane beach. Nat. Hazard Earth Syst. Sci. 2012, 12, 1503–1520. [Google Scholar] [CrossRef]
- Gisler, G.; Weaver, R.; Gittings, M. Sage calculations of the tsunami threat from La Palma. Sci. Tsunami Hazards 2006, 24, 288–301. [Google Scholar]
- Løvholt, F.; Pedersen, G.; Gisler, G. Modeling of a potential landslide generated tsunami at La Palma Island. J. Geoph. Res. 2008, 113, C09026. [Google Scholar] [CrossRef]
- Vanneste, M.; Forsberg, C.F.; Glimsdal, S.; Harbitz, C.B.; Issler, D.; Kvalstad, T.J.; Løvholt, F.; Nadim, F. Submarine landslides and their consequences: What do we know, what can we do? In Landslide Science and Practice, 1st ed.; Margottini, C., Canuti, P., Sassa, K., Eds.; Springer: Berlin, Germany, 2013; pp. 5–17. [Google Scholar]
- Løvholt, F.; Pedersen, G.; Harbitz, C.B.; Glimsdal, S.; Kim, J. On the characteristics of landslide tsunamis. Philos. Trans. R. Soc. A Math. Phys. Eng. Sci. 2015, 373, 20140376. [Google Scholar]
- Fritz, H.M. Initial Phase of Landslide Generated Impulse Waves. Ph.D. Thesis, ETH Zurich, Zurich, Switzerland, 2002. [Google Scholar]
- Grilli, S.T.; Vogelmann, S.; Watts, P. Development of a 3D numerical wave tank for modeling tsunami generation by underwater landslides. Eng. Anal. Bound Elem. 2002, 26, 301–313. [Google Scholar] [CrossRef]
- Kowalik, Z.; Horrillo, J.J.; Kornkven, E. Tsunami runup onto a plane beach. In Advanced Numerical Models for Simulating Tsunami Waves and Runup, 1st ed.; Yeh, H., Synolakis, C., Eds.; World Scientific Publishing Co.: Hackensack, NJ, USA, 2005; pp. 269–272. [Google Scholar]
- Liu, P.L.F.; Lynett, P.; Synolakis, C.E. Analytical solutions for forced long waves on a sloping beach. J. Fluid Mech. 2003, 478, 101–109. [Google Scholar] [CrossRef]
- Hirt, C.W.; Sicilian, J.M. A porosity technique for the definition of obstacles in rectangular cell meshes. In Proceedings of the International Conference on Numerical Ship Hydrodynamics, Washington, DC, USA, 24–27 September 1985. [Google Scholar]
- Darwish, M.; Moukalled, F. Convective schemes for capturing interfaces of free-surface flows on unstructured grids. Numer Heat Tranf. B Fundam. 2006, 49, 19–42. [Google Scholar] [CrossRef]
- Zhao, E.J.; Qu, K.; Mu, L. Numerical study of morphological response of the sandy bed after tsunami-like wave overtopping an impermeable seawall. Ocean Eng. 2019, 186, 106076. [Google Scholar] [CrossRef]
- Zhao, E.J.; Sun, J.K.; Jiang, H.Y.; Mu, L. Numerical Study on the Hydrodynamic Characteristics and Responses of Moored Floating Marine Cylinders Under Real-World Tsunami-Like Waves. IEEE Access 2019, 7, 122435–122458. [Google Scholar] [CrossRef]
- Zhao, E.J.; Qu, K.; Mu, L.; Kraatz, S.; Shi, B. Numerical study on the hydrodynamic characteristics of submarine pipelines under the impact of real-world tsunami-like waves. Water 2019, 11, 221. [Google Scholar] [CrossRef]
- Zhao, E.J.; Mu, L.; Qu, K.; Shi, B.; Ren, X.Y.; Jiang, C.B. Numerical investigation of pollution transport and environmental improvement measures in a tidal bay based on a Lagrangian particle-tracking model. Water Sci. Eng. 2018, 11, 23–38. [Google Scholar] [CrossRef]
- Zhao, E.J.; Tang, Y.Z.; Shao, J.; Mu, L. Numerical Analysis of Hydrodynamics Around Submarine Pipeline End Manifold (PLEM) Under Tsunami-Like Wave. IEEE Access 2019, 7, 178903–178917. [Google Scholar] [CrossRef]
- Ren, Z.; Zhao, X.; Liu, H. Numerical study of the landslide tsunami in the south china sea using herschel-bulkley rheological theory. Phys. Fluids 2019, 31, 056601. [Google Scholar]
- Mader, C.L.; Gittings, M.L. Modeling the 1958 lituya bay mega-tsunami. Nat. Hazards Earth Syst. Sci. 2002, 20, 241. [Google Scholar]
























| Setup | Subaerial | Partial Subaerial | Submarine |
|---|---|---|---|
| (m) | 0.85 to 1.2, interval 0.05 | 0.55 to 0.8, interval 0.05 | 0.25 to 0.5, interval 0.05 |
| () | 20 to 70, interval 10 | 20 to 70, interval 10 | 20 to 70, interval 10 |
| R | 6 to 16, interval 2 | 6 to 16, interval 2 | 6 to 16, interval 2 |
© 2020 by the authors. Licensee MDPI, Basel, Switzerland. This article is an open access article distributed under the terms and conditions of the Creative Commons Attribution (CC BY) license (http://creativecommons.org/licenses/by/4.0/).
Share and Cite
Sun, J.; Wang, Y.; Huang, C.; Wang, W.; Wang, H.; Zhao, E. Numerical Investigation on Generation and Propagation Characteristics of Offshore Tsunami Wave under Landslide. Appl. Sci. 2020, 10, 5579. https://doi.org/10.3390/app10165579
Sun J, Wang Y, Huang C, Wang W, Wang H, Zhao E. Numerical Investigation on Generation and Propagation Characteristics of Offshore Tsunami Wave under Landslide. Applied Sciences. 2020; 10(16):5579. https://doi.org/10.3390/app10165579
Chicago/Turabian StyleSun, Junkai, Yang Wang, Cheng Huang, Wanhu Wang, Hongbing Wang, and Enjin Zhao. 2020. "Numerical Investigation on Generation and Propagation Characteristics of Offshore Tsunami Wave under Landslide" Applied Sciences 10, no. 16: 5579. https://doi.org/10.3390/app10165579
APA StyleSun, J., Wang, Y., Huang, C., Wang, W., Wang, H., & Zhao, E. (2020). Numerical Investigation on Generation and Propagation Characteristics of Offshore Tsunami Wave under Landslide. Applied Sciences, 10(16), 5579. https://doi.org/10.3390/app10165579
