End-Users’ Augmented Reality Utilization for Architectural Design Review
Abstract
1. Introduction
2. Literature Review
2.1. End-User Involved Design Review and Visualized Building Information
2.2. Application of Augmented Reality in the Construction Industry
3. Research Methodology
3.1. Procedures and Participants
3.2. BIM Models for Design Review Tasks and Display Devices
3.3. Questionnaire and Measurement
4. Results
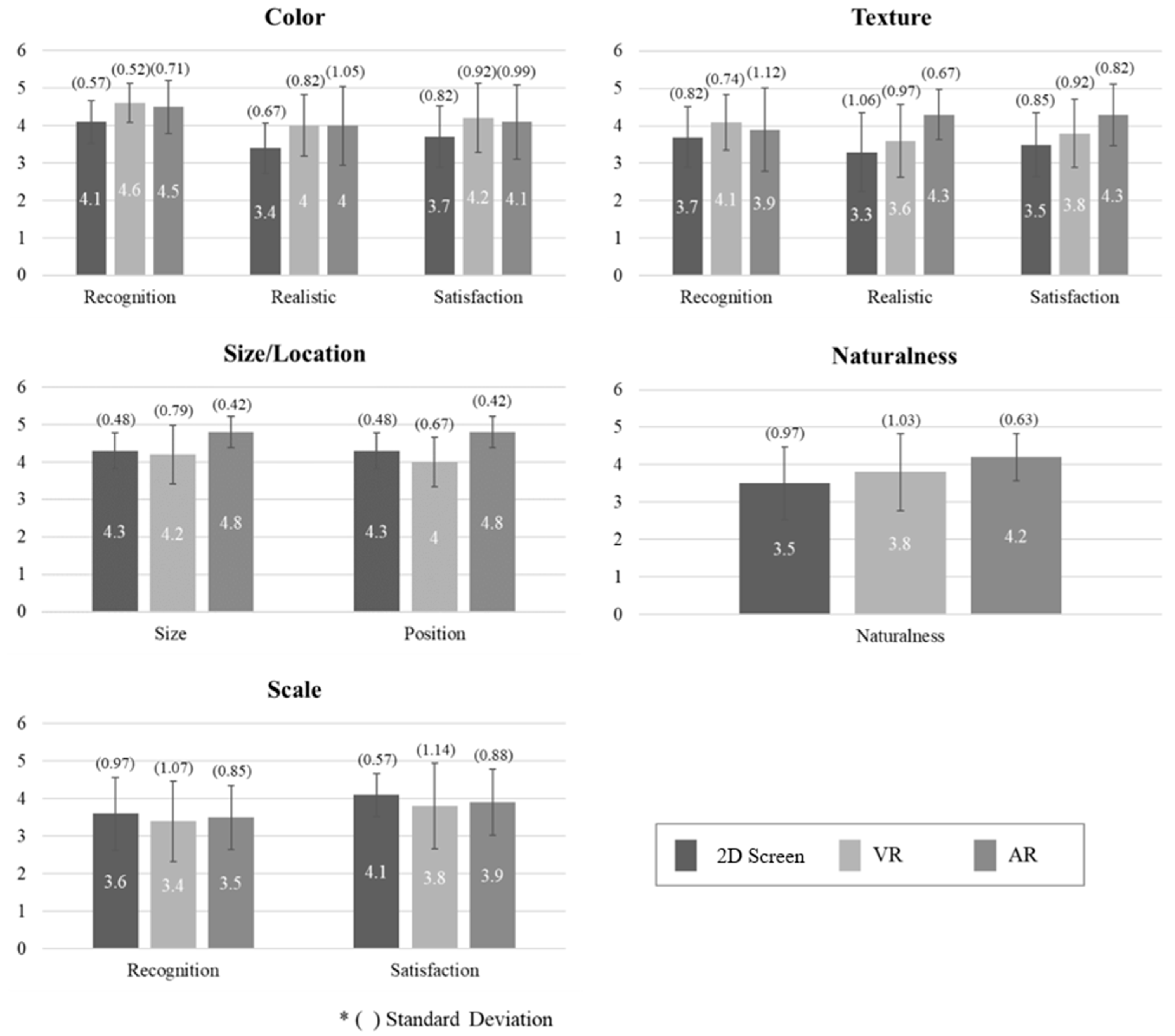
4.1. Quality of Visual Presentation
4.2. User Acceptability
4.3. User Experience
5. Discussion
5.1. AR for Design Review
5.2. Technical Acceptance
5.3. User Experience
6. Conclusions
Author Contributions
Funding
Conflicts of Interest
References
- Singh, V.; Gu, N.; Wang, X. A theoretical framework of a BIM-based multi-disciplinary collaboration platform. Autom. Constr. 2011, 20, 134–144. [Google Scholar] [CrossRef]
- East, E.W.; Kirby, J.G.; Perez, G. Improved Design Review through Web Collaboration. J. Manag. Eng. 2004, 20, 51–55. [Google Scholar] [CrossRef]
- Mohammadpour, A.; Karan, E.; Asadi, S.; Rothrock, L. Measuring End-User Satisfaction in the Design of Building Projects Using Eye-Tracking Technology. In Proceedings of the Computing in Civil Engineering 2015, Austin, TX, USA, 21–23 June 2015; pp. 564–571. [Google Scholar]
- Lee, N.; Kim, Y. A Conceptual Framework for Effective Communication in Construction Management: Information Processing and Visual Communication. In Proceedings of the Construction Research Congress 2018, New Orleans, LA, USA, 2–4 April 2018; pp. 531–541. [Google Scholar]
- Jin, H.; Kim, M. Architectural VR Realization Using Game Engine. 2015. Available online: https://pdfs.semanticscholar.org/5253/2be52799cc92c795ee10c9503f92eb0053f2.pdf (accessed on 3 August 2020).
- Shiratuddin, M.F.; Thabet, W. Utilizing a 3D Game Engine to Develop a Virtual Design Review System. Electron. J. Inf. Technol. Constr. 2011, 16, 39–68. [Google Scholar]
- Wang, J.; Wang, X.; Shou, W.; Xu, B. Integrating BIM and augmented reality for interactive architectural visualisation. Constr. Innov. 2014, 14, 453–476. [Google Scholar] [CrossRef]
- Whiskard, H.; Jones, D.; Voller, S.; Snider, C.; Gopsill, J.; Hicks, B. Mixed Reality Tools as an Enabler for Improving Operation and Maintenance in Small and Medium Enterprises. In Product Lifecycle Management to Support Industry 4.0, Turin, Italy, 2–4 July 2018; Chiabert, P., Bouras, A., Noël, F., Ríos, J., Eds.; Springer International Publishing: Cham, Switzerland, 2018. [Google Scholar]
- Van Krevelen, D.W.F.; Poelman, R. A Survey of Augmented Reality Technologies, Applications and Limitations. IJVR 2010, 9, 1–20. [Google Scholar] [CrossRef]
- Heydarian, A.; Carneiro, J.P.; Gerber, D.; Becerik-Gerber, B.; Hayes, T.; Wood, W. Immersive virtual environments versus physical built environments: A benchmarking study for building design and user-built environment explorations. Autom. Constr. 2015, 54, 116–126. [Google Scholar] [CrossRef]
- Spillinger, R.S. Adding Value to the Facility Acquisition Process: Best Practices for Reviewing Facility Designs; Federal Facilities Council Technical Report; National Academy Press: Washington, DC, USA, 2000; ISBN 9780309068949. [Google Scholar]
- Soibelman, L.; Liu, L.Y.; Kirby, J.G.; East, E.W.; Caldas, C.H.; Lin, K.-Y. Design Review Checking System with Corporate Lessons Learned. J. Constr. Eng. Manag. 2003, 129, 475–484. [Google Scholar] [CrossRef]
- Dunston, P.S.; Arns, L.L.; Mcglothlin, J.D.; Lasker, G.C.; Kushner, A.G. An Immersive Virtual Reality Mock-Up for Design Review of Hospital Patient Rooms. In Collaborative Design in Virtual Environments; Intelligent Systems, Control and Automation: Science and Engineering; Wang, X., Tsai, J.J.-H., Eds.; Springer: Dordrecht, The Netherlands, 2011; pp. 167–176. ISBN 9789400706057. [Google Scholar]
- Pemsel, S.; Widén, K.; Hansson, B. Managing the needs of end-users in the design and delivery of construction projects. Facilities 2010, 28, 17–30. [Google Scholar] [CrossRef]
- Varun, K.; Zhengbo, Z.; Burcu, A.; Justin, R. Evaluation and Comparison of Different Virtual Reality Environments towards Supporting Tasks Done on a Virtual Construction Site. Constr. Res. Congr. 2016, 2371–2381. [Google Scholar] [CrossRef]
- Kress, B.C.; Cummings, W.J. 11-1: Invited Paper: Towards the Ultimate Mixed Reality Experience: HoloLens Display Architecture Choices. SID Symp. Dig. Tech. Pap. 2017, 48, 127–131. [Google Scholar] [CrossRef]
- Steuer, J. Defining Virtual Reality: Dimensions Determining Telepresence. J. Commun. 1992, 42, 73–93. [Google Scholar] [CrossRef]
- Kinateder, M.; Ronchi, E.; Nilsson, D.; Kobes, M.; Müller, M.; Pauli, P.; Mühlberger, A. Virtual reality for fire evacuation research. In Proceedings of the 2014 Federated Conference on Computer Science and Information Systems, Warsaw, Poland, 7–10 September 2014; pp. 313–321. [Google Scholar]
- Aromaa, S.; Väänänen, K. Suitability of virtual prototypes to support human factors/ergonomics evaluation during the design. Appl. Ergon. 2016, 56, 11–18. [Google Scholar] [CrossRef] [PubMed]
- Milgram, P.; Takemura, H.; Utsumi, A.; Kishino, F. Augmented reality: A class of displays on the reality-virtuality continuum. In Proceedings of the Telemanipulator and Telepresence Technologies, Boston, MA, USA, 31 October–1 November 1994; International Society for Optics and Photonics: Bellingham, WA, USA, 1995; Volume 2351, pp. 282–292. [Google Scholar]
- Pan, Z.; Cheok, A.D.; Yang, H.; Zhu, J.; Shi, J. Virtual reality and mixed reality for virtual learning environments. Comput. Graph. 2006, 30, 20–28. [Google Scholar] [CrossRef]
- Lei, H.; Xiangyu, W.; Leonhard, B.; Love Peter, E.D. Using Animated Augmented Reality to Cognitively Guide Assembly. J. Comput. Civ. Eng. 2013, 27, 439–451. [Google Scholar] [CrossRef]
- Li, X.; Yi, W.; Chi, H.-L.; Wang, X.; Chan, A.P.C. A critical review of virtual and augmented reality (VR/AR) applications in construction safety. Autom. Constr. 2018, 86, 150–162. [Google Scholar] [CrossRef]
- Waly, A.F.; Thabet, W.Y. A Virtual Construction Environment for preconstruction planning. Autom. Constr. 2003, 12, 139–154. [Google Scholar] [CrossRef]
- Boyle, L.N.; Lee, J.D. Using driving simulators to assess driving safety. Accid. Anal. Prev. 2010, 42, 785–787. [Google Scholar] [CrossRef]
- Khalid, C.M.L.; Mohamed, Z.; Fathi, M.S.; Zakiyudin, M.Z.; Rawai, N.; Abedi, M. The Potential of Augmented Reality Technology for Pre-Construction. Available online: /AMM.405-408.3419 (accessed on 27 June 2020).
- Dünser, A.; Billinghurst, M. Evaluating Augmented Reality Systems. In Handbook of Augmented Reality; Furht, B., Ed.; Springer: New York, NY, USA, 2011; pp. 289–307. ISBN 9781461400646. [Google Scholar]
- Huang, K.-T.; Ball, C.; Francis, J.; Ratan, R.; Boumis, J.; Fordham, J. Augmented Versus Virtual Reality in Education: An Exploratory Study Examining Science Knowledge Retention When Using Augmented Reality/Virtual Reality Mobile Applications. Cyberpsychol. Behav. Soc. Netw. 2019, 22, 105–110. [Google Scholar] [CrossRef]
- Kivrak, S.; Arslan, G.; Tuncan, M. Implementing Augmented Reality in Construction Projects. Available online: /AMM.719-720.197 (accessed on 27 June 2020).
- JeongWook, S.; Ken-Yu, L.; Rojas Eddy, M. Developing and Testing a 3D Video Game for Construction Safety Education. Comput. Civ. Eng. 2011, 867–874. [Google Scholar] [CrossRef]
- Sneha, B.; Behzad, E. State-of-the-Art Review of Virtual Reality Environment Applications in Construction Safety. AEI 2015, 457–468. [Google Scholar] [CrossRef]
- Jun, Z.; Issa Raja, R.A. Collecting Fire Evacuation Performance Data Using BIM-Based Immersive Serious Games for Performance-Based Fire Safety Design. Comput. Civ. Eng. 2015, 612–619. [Google Scholar] [CrossRef]
- Broll, W.; Lindt, I.; Ohlenburg, J.; Wittkämper, M.; Yuan, C.; Novotny, T.; Fatah gen Schieck, A.; Mottram, C.; Strothmann, A. ARTHUR: A Collaborative Augmented Environment for Architectural Design and Urban Planning. JVRB 2004, 1. [Google Scholar] [CrossRef]
- Tonn, C.D. Simulating the Atmosphere of Spaces. In Proceedings of the Predicting the Future 25th eCAADe Conference, Frankfurt am Main, Germany, 26–29 September 2007. [Google Scholar]
- Wang, X.; Dunston, P.S. Compatibility issues in Augmented Reality systems for AEC: An experimental prototype study. Autom. Constr. 2006, 15, 314–326. [Google Scholar] [CrossRef]
- Edwards, G.; Li, H.; Wang, B. BIM based collaborative and interactive design process using computer game engine for general end-users. Vis. Eng. 2015, 3, 4. [Google Scholar] [CrossRef]
- Sutcliffe, A.; Gault, B. Heuristic evaluation of virtual reality applications. Interact Comput. 2004, 16, 831–849. [Google Scholar] [CrossRef]
- Tang, A.; Owen, C.; Biocca, F.; Mou, W. Comparative effectiveness of augmented reality in object assembly. In Proceedings of the SIGCHI Conference on Human Factors in Computing Systems, Ft. Lauderdale, FL, USA, 5–10 April 2003; Association for Computing Machinery: New York, NY, USA, 2003; pp. 73–80. [Google Scholar]
- Kushniruk, A.W.; Patel, V.L. Cognitive and usability engineering methods for the evaluation of clinical information systems. J. Biomed. Inform. 2004, 37, 56–76. [Google Scholar] [CrossRef]
- Davis, F.D. Perceived Usefulness, Perceived Ease of Use, and User Acceptance of Information Technology. MIS Q. 1989, 13, 319–340. [Google Scholar] [CrossRef]
- Hart, S.G.; Staveland, L.E. Development of NASA-TLX (Task Load Index): Results of Empirical and Theoretical Research. In Advances in Psychology; Hancock, P.A., Meshkati, N., Eds.; Human Mental Workload: North-Holland, The Netherlands, 1988; Volume 52, pp. 139–183. [Google Scholar]
- Abu-Dalbouh, A. Questionnaire approach based on the technology acceptance model for mobile tracking on patient progress applications. J. Comput. Sci. 2013, 9, 763–770. [Google Scholar] [CrossRef]
- Venkatesh, V.; Davis, F.D. A Theoretical Extension of the Technology Acceptance Model: Four Longitudinal Field Studies. Manag. Sci. 2000, 46, 186–204. [Google Scholar] [CrossRef]
- Schrepp, M.; Hinderks, A.; Thomaschewski, J. Applying the User Experience Questionnaire (UEQ) in Different Evaluation Scenarios. In Design, User Experience, and Usability. Theories, Methods, and Tools for Designing the User Experience, Proceedings of the Third International Conference, DUXU 2014, Held as Part of HCI International 2014, Heraklion, Crete, Greece, 22–27 June 2014; Marcus, A., Ed.; Springer International Publishing: Cham, Switzerland, 2014; pp. 383–392. [Google Scholar]
- Keshavarz, B.; Stelzmann, D.; Paillard, A.; Hecht, H. Visually induced motion sickness can be alleviated by pleasant odors. Exp. Brain Res. 2015, 233, 1353–1364. [Google Scholar] [CrossRef]
- Sang, F.D.Y.P.; Billar, J.P.; Golding, J.F.; Gresty, M.A. Behavioral Methods of Alleviating Motion Sickness: Effectiveness of Controlled Breathing and a Music Audiotape. J. Travel Med. 2006, 10, 108–111. [Google Scholar] [CrossRef] [PubMed]
- Sharples, S.; Cobb, S.; Moody, A.; Wilson, J.R. Virtual reality induced symptoms and effects (VRISE): Comparison of head mounted display (HMD), desktop and projection display systems. Displays 2008, 29, 58–69. [Google Scholar] [CrossRef]





| Category | Item |
|---|---|
| Color | Is the color of the material easy to recognize? |
| Is the color of the material realistic and vivid? | |
| Are you satisfied with the presentation quality of the color? | |
| Texture | Is the texture of the material easy to recognize? |
| Is the texture of the material realistic? | |
| Are you satisfied with the presentation quality of the texture? | |
| Size/Location | Is the size of a specific element (e.g., window/door) easy to recognize? |
| Is the position of a specific element (e.g., window/door) easy to recognize? | |
| Naturalness | Overall, rate the naturalness of the environment to conduct a design review |
| Scale | Is it easy to review the suitability of the height of the area? |
| Are you satisfied with the space (area/volume) of the building? |
| Category | Item |
|---|---|
| Physical Comfort | The design review task using the system was physically demanding in a 2D screen, and VR and AR environment |
| Mental Comfort | The design review task using the system was mentally demanding in a 2D screen, and VR and AR environment |
| Perceived Usefulness | Using the system improved my design review performance |
| Using the system for design review increased my productivity | |
| I found the system to be useful for design review | |
| Using the system enhanced my effectiveness in design review | |
| Perceived Ease of Use | Learning to perform the design review in the system was easy |
| Interacting with the system did not require a lot of mental effort | |
| It would be easy for me to become skillful at using the system for design review | |
| I found it easy to get the system to do what I wanted it to do | |
| User Satisfaction | I am completely satisfied with using a 2D screen, and a VR and AR system for design review |
| I feel very confident using a 2D screen, and a VR and AR system for design review | |
| I believe using a 2D screen, and a VR and AR system will increase the quality of the construction industry | |
| Behavioral Intention | Assuming I have access to the system, I intend to use it |
| Category | Definition (and Items) |
|---|---|
| Attractiveness | Overall impression of the product. Is it attractive, enjoyable, or pleasing? (Six items: annoying/enjoyable; good/bad; unlikable/pleasing; unpleasant/pleasant; attractive/unattractive; friendly/unfriendly) |
| Perspicuity | Is it easy to become familiar with the product? Is it easy to understand how to use the product?(Four items: not understandable/understandable, easy to learn/difficult to learn; complicated/easy; clear/confusing) |
| Efficiency | Can users solve tasks without unnecessary effort? Is interaction efficient and fast?(Four items: fast/slow; inefficient/efficient; impractical/practical; organized/cluttered) |
| Dependability | Does the user feel in control of the interaction? (Four items: unpredictable/predictable; obstructive/supportive; secure/not secure; meets expectations/does not meet expectations) |
| Stimulation | Is it exciting and motivating to use? (Four items: valuable/inferior; boring/exciting; not interesting/interesting; motivating/demotivating) |
| Novelty | Novelty: Is the product innovative and creative? Does the product capture the interest of users? (Four items: creative/dull; inventive/conventional; usual/cutting-edge; conservative/innovative) |
| 2D Screen | VR | AR | |
|---|---|---|---|
| Color | 3.73 (0.74) | 4.27 (0.78) | 4.20 (0.92) |
| Texture | 3.50 (0.90) | 3.83 (0.87) | 4.17 (0.91) |
| Size/Location | 4.27 (0.64) | 4.20 (0.66) | 4.63 (0.72) |
| Naturalness | 3.50 (0.97) | 3.80 (1.03) | 4.20 (0.63) |
| Scale | 3.85 (0.81) | 3.60 (1.10) | 3.70 (0.96) |
| 2D Screen | VR | AR | |
|---|---|---|---|
| Physical Comfort | 2.10 (0.74) | 2.20 (1.03) | 2.40 (0.97) |
| Mental Comfort | 2.20 (0.92) | 3.30 (1.16) | 2.00 (0.67) |
| Perceived Usefulness | 4.08 (0.66) | 4.13 (1.11) | 4.30 (0.88) |
| Perceived Ease of Use | 3.38 (1.00) | 3.63 (1.15) | 4.28 (0.88) |
| User Satisfaction | 3.97 (0.72) | 3.90 (0.92) | 4.43 (0.77) |
| Behavioral Intention | 3.90 (0.86) | 4.00 (1.15) | 4.60 (0.52) |
| Group | Category | Mean (Standard Deviation) | Cronbach-Alpha |
|---|---|---|---|
| Attractiveness | Attractiveness | 1.56 (0.74) | 0.86 |
| Pragmatic Quality | Perspicuity | 1.20 (0.90) | 0.79 |
| Efficiency | 0.98 (0.86) | 0.82 | |
| Dependability | 1.13 (0.99) | 0.89 | |
| Hedonic Quality | Stimulation | 1.70 (0.75) | 0.85 |
| Novelty | 1.75 (0.89) | 0.90 |
© 2020 by the authors. Licensee MDPI, Basel, Switzerland. This article is an open access article distributed under the terms and conditions of the Creative Commons Attribution (CC BY) license (http://creativecommons.org/licenses/by/4.0/).
Share and Cite
Lee, J.G.; Seo, J.; Abbas, A.; Choi, M. End-Users’ Augmented Reality Utilization for Architectural Design Review. Appl. Sci. 2020, 10, 5363. https://doi.org/10.3390/app10155363
Lee JG, Seo J, Abbas A, Choi M. End-Users’ Augmented Reality Utilization for Architectural Design Review. Applied Sciences. 2020; 10(15):5363. https://doi.org/10.3390/app10155363
Chicago/Turabian StyleLee, Jin Gang, JoonOh Seo, Ali Abbas, and Minji Choi. 2020. "End-Users’ Augmented Reality Utilization for Architectural Design Review" Applied Sciences 10, no. 15: 5363. https://doi.org/10.3390/app10155363
APA StyleLee, J. G., Seo, J., Abbas, A., & Choi, M. (2020). End-Users’ Augmented Reality Utilization for Architectural Design Review. Applied Sciences, 10(15), 5363. https://doi.org/10.3390/app10155363

