Abstract
The environment is at the heart of global worldwide discussion. This study describes the synthesis of ecofriendly polymers by a crosslinking reaction between β-cyclodextrin as the monomer and polyethylene glycol diglycidyl ether (PEDGE) as well as ethylene diglycidyl ether (EDGE) as the crosslinking agents. The studied polymers were characterized by several techniques, such as SEM, FTIR, TGA-TDA and XRD. Their adsorption properties for methylene blue under various conditions of pH, contact time and initial concentration of dye were assessed in order to find the optimal conditions. The results indicate that the polymers are good nominates for methylene blue adsorption with adsorption capacities up to 15 mg/g. The adsorption mechanism was demonstrated to follow the Langmuir model. Finally, the regeneration of the polymers was investigated using Soxhlet extraction with ethanol. The absorption capacities of the adsorbent were stable after three cycles.
1. Introduction
Many manufacturing industries, such as printing, leather, textile finishing, pharmaceutical companies and plastic, are customary users of dyestuffs. It has been clearly demonstrated that almost 10 to 15% of the dyes are released with the effluent, leading to water contamination []. Due to their complex aromatic molecular structure, dyes are chemically stable to biodegradation, heat, light and oxidizing agents, resulting in environmental persistence and bioaccumulation []. By a cascading effect, they contribute to environmental pollution in trace quantities and have an impact on ecosystems [] and human health [].
Meanwhile, different methods are already used to remove dyes from wastewaters, such as chemical coagulation [], fungal decolorization [], adsorption [], membrane filtration [] and degradation []. However, water treatment technologies require a longer treatment time and high operating costs. Much attention has been focused on the design and synthesis of new adsorbents to remove organic dyes from water. Adsorption seems to be the most discerning process due to several advantages, including a low cost, high efficiency, recyclable ability, production of non-toxic by-products, easy process and the recovering of the whole dye. To be a good adsorbent, the intended target must possess efficient adsorption abilities with respect to the dye but also a low water solubility and good processing performance.
Literature reports the use of numerous adsorbents of organic or mineral origin with significant examples, such as silica nanoparticles [,], activated carbon [], zeolite [], chitosan [], nanocomposites [] and cellulose []. The scientific community is increasingly concerned about the environment and the nature of the compounds used to prevent its contamination. Various derivatives of biomass were investigated and β-cyclodextrins (β-CD) seems to be promising, ecofriendly materials due to their low cost, chemical stability, high reactivity and safety.
β-CD consists of seven glucopyranose units linked by α-1,4-glucosidic bonds that can encapsulate guest molecules to form host–guest inclusion complexes []. Due to their ability to form inclusion complexes, CDs and their derivatives are widely used as drug carriers [,,], in food formulations [,] and in soil remediation []. However, β-CD can be used for the removal of organic dyes from water but its solubility in water limits its use in the native form. By organizing them in a network, water-insoluble polymers using a crosslinking agent, such as epichlorohydrin [,,,], dicarboxylic acid [] or isocyanate [,], can be achieved to obtain an adsorbent. Depending of the experimental conditions during the polymerization reaction, water-soluble and water-insoluble polymers are generally obtained [,]. Various applications of these polymers were reported, in particular for dye [,,,], organic pollutants [] and heavy metal ions removal [].
Unfortunately, epichlorohydrin and isocyanates have a major drawback, in that they are known to be toxic and carcinogenic to humans and animals [] and produce unsafe byproducts in the β-CD crosslinking process. Another point to consider is the chemical nature of the linker because β-CD does not have the same affinity for dyes. Jiang [] suggested that β-CD polymers containing carboxylic acid groups efficiently remove methylene blue from water. Up to now, many papers have described the preparation of β-CD adsorbents with various linkers to remove dyes from water, but other non-toxic crosslinking agents should be tested.
For example, polyethylene glycol (PEG) is widely used in drug delivery [,], electronics [], fluorescent detection [] and tissue engineering [] due to its harmlessness. Moreover, PEG can be easily functionalized with azides, thiols, carboxylic acids, hydroxyl and epoxides, making them attractive for organic synthesis. Jafari et al. [] have reported the development of polymers based on PEG and chitosan to accelerate the full-thickness wound healing process. This study was confirmed by Bratskaya [] with the synthesis of chitosan gels based on diglycidyl ethers of ethylene glycol and PEG. These linkers seem to be compatible with native sugars and sugar derivatives.
Few studies deal with the use of PEG as a crosslinker for the synthesis of β-CD polymers. These papers report that the conditions as well as the molecular weight (Mw) of the PEG affect the solubility of the obtained polymers, leading to soluble [] or insoluble polymers [,,,]. For example, Kono et al. [] described that bisphenol (BPA) was efficiently removed from an aqueous solution using β-CD polymers obtained with polyethylene glycol diglycidyl ether (PEDGE) as the crosslinking linker. This study has been corroborated by Lee []. By adding polyethylenimine in the polymer network, β-CD polymers based on PEDGE can readily remove BPA and copper from wastewater. Recently, the Dossi team has reported the synthesis of crosslinked β-CD polymers based on PEDGE and their nitrated derivatives for binder formulation with selected energetics [,,].
To validate this linker, methylene blue (MB) was selected as the target dye. MB is a cationic phenothiazine derivative part of the xanthine family, commonly used as a dye in the textile industry or for medication and often employed as a model to evaluate the adsorption capacities of CD and CD derivatives, such as polymers or nanoparticles [,,,]. Nevertheless, accumulation of MB affects the environment and threatens the life of microorganisms due to their deep color and low degradation rate []. With regards to humans, MB has adverse health effects, such as skin sensitization, eyes burn, etc. [].
Herein, we report the synthesis of insoluble β-CD polymers using polyethylene glycol diglycidyl ether (PEDGE) and ethylene glycol diglycidyl ether (EDGE) crosslinkers in a one pot process. Polymers were characterized using FTIR spectroscopy, Thermogravimetric Analysis (TGA), Differential Thermal Analysis (DTA), X-ray Diffraction (XRD), Brunauer–Emmett–Teller (BET) analysis and Scanning Electron Microscopy (SEM). Batch adsorption experiments were realized with different parameters, such as adsorbent mass, initial MB concentration and pH. An isotherm model was evaluated to determine the efficiency of the adsorption process. Moreover, the reusability of the adsorbent was also investigated.
2. Materials and Methods
2.1. Materials
β-cyclodextrin (β-CD) was purchased from Wacker-Chemie (Lyon, France). Polyethylene glycol diglycidyl ether (PEDGE, Mw: 500 and Mw: 640) and ethylene glycol diglycidyl ether (EDGE, Mw: 200) were obtained from Sigma Aldrich. Sodium hydroxide, methylene blue (dye content > 82%) and all the solvents were purchased from Sigma Aldrich and used as received.
2.2. Preparation of β-CD Polymers
Polymers were prepared based on the method described by Komiayama []. Briefly, 5 g of β-CD (4.4 mmol) were dissolved in 5 mL of water in a beaker. Then, 5 mL of aqueous sodium hydroxide solution (50 wt%) was added to the resulting solution. The mixture was forcibly stirred on a water bath at 50 °C. The etherification reaction was processed via a nucleophilic substitution of alkoxy anionic β-CD on epoxy moieties of PEDGE or EDGE (Scheme 1). A total of 44 mmol of linker (10 eq.) was added dropwise overnight to get the polymers (EGCD, PEGCD1, PEGCD2). Afterwards, the polymers were washed successively with water, acetone, methanol and ethanol to remove the unreacted compounds. Polymers were dialyzed with water overnight twice and the solution inside the dialysis tube was evaporated to obtain a white powder for EGCD and PEGCD1 and a viscous gel for PEGCD2. The powders and gel were dried in vacuum at 90 °C. Table 1 shows the experimental conditions.

Scheme 1.
Synthesis of the β-CD/PEDGE or EDGE polymers.

Table 1.
Experimental conditions for polymer synthesis.
2.3. Structural Analysis
2.3.1. FTIR Spectroscopy
ATR-FTIR spectra were recorded using an IR-Affinity-1 spectrophotometer (Shimadzu) equipped with a MIRacleTM ATR (diamond crystal) accessory over the range of 4000–500 cm−1 during 16 scans.
2.3.2. TGA/DTA Analysis
TGA/DTA experiments were realized with a Netzsch STA 409 apparatus. A sample mass of polymer was loaded in an alumina crucible and heated from room temperature to 900 °C for β-CD and 1000 °C for the linker and polymers (heating rate: 5 °C min−1) in air flow (75 mL·min−1).
2.3.3. Brunauer–Emmett–Teller Analysis
The specific surface area of the synthetized polymers was measured using the Brunauer–Emmett–Teller (BET) method (N2 adsorption) using a Tristar II apparatus.
2.3.4. Scanning Electron Microscopy Analysis
SEM characterization was obtained with a TESCAN Vega 3 scanning electron microscope (SEM) equipped with a gaseous secondary electron detector (GSED). Images were recorded with an acceleration voltage of 5kV under high vacuum.
2.3.5. X-ray Diffraction Analysis
The crystallinity of the solids was determined at room temperature by the X-ray Diffraction (XRD) technique with a Brucker D8 Advance diffractometer equipped with a copper anode (l = 1.5406 Å) and a Lynx Eyes Detector. The scattering intensities were measured over an angular range of 10° < 2θ < 80° for all samples with a step size of Δ (2θ) = 0.02° and a count time of 2 s per step. The diffraction patterns were indexed by comparison with the “Joint Committee on Powder Diffraction Standards” (JCPDS) files.
2.4. Adsorption Experiments
The residual concentration of MB was determined by UV/Vis (Perkin-Elmer lambda 2S spectrophotometer). As the absorbance of MB between 500 and 750 nm was maximal at 665 nm (λmax), this wavelength was used to monitor adsorption.
2.4.1. Preliminary Assessment of Polymers
A stock solution of MB was prepared at 100 mg/L. For prior analysis, 50 mg of polymers were mixed with 20 mL of MB (50 mg/L) in a Syncore glass tube and shook at 260 rpm in a Syncore apparatus (BUCHI) at pH 6. After 24 h, the residual amount of MB in the solution was determined by comparison with calibration curves obtained by dilution of the stock solution.
2.4.2. Experimental Validation of Polymers Towards MB
In order to study the effect of pH and initial concentration of MB, 30 mg of polymers were introduced in a Syncore glass tube with 50 mL of MB solution. The same treatment was carried out on these samples. For the pH study, 0.1 N NaOH and 0.1 N HCl were used to adjust the pH of the desired solution. The effect of the adsorbent amount was studied using 50 to 400 mg of the polymer. For each assay, the adsorption experiments were performed in triplicate to ensure the reproducibility. The amount of MB adsorbed, qt (mg/g), was determined using the following Equation (1):
where C0 and Cr (mg/L) are the initial and residual MB concentrations, respectively; V (L) is the volume of the solution; and w (g) is the mass of the polymer.
3. Results
3.1. Preparation of β-CD Polymers
Polymers based on PEDGE 500 (PEGCD1), PEDGE 640 (PEGCD2) and EDGE (EGCD) were synthesized according to the adaptation to the described procedure of Komyama []. First, alkoxides were obtained by reacting 50% of the weight of the NaOH with the hydroxyl groups of the β-CD, followed by a reaction with the epoxide ring of the diglycidyl ether molecule. Partial substitution of the hydroxyl group proceeded in a good yield by heating the reaction mixture at 50 °C. There was no evidence of polymer formation at room temperature []. After dialysis, PEGCD1, PEGCD2 and EGCD were obtained in the insoluble form. These results were consistent with those of Kono [], indicating that at a higher concentration of PEDGE and EDGE, the formation of water insoluble polymers is prominent. In addition, the low yield of insoluble polymers (Table 1) was consistent with the results described by Luppi []. At a high sodium hydroxide concentration, the crosslinker was degraded and the formation of alkoxide was limited in the viscous reaction mixture. The degradation of the crosslinker leads to the formation of a tetra-hydroxyl by-product.
As a consequence, the use of PEDGE as a safe crosslinking agent leads to the synthesis of soft materials with a high crosslinking degree compared to the epichlorohydrin agent []. Additionally, PEDGE can be used without chemical modification [,] under mild aqueous conditions and without the inclusion complexation of PEG inside the cavity of CD [].
3.2. Structural Characterization
3.2.1. FTIR Spectroscopy
FTIR-ATR spectroscopy allows the recognition of the skeleton of the polymeric network. EDGE, PEGCD1 and PEGCD2 polymers were characterized by FTIR-ATR spectroscopy and were compared to those of β-CD and native EDGE and PEDGE linkers (Figure 1). The FTIR spectrum of β-CD exhibits an OH stretching vibration at 3280 cm−1, aliphatic CH2 stretching vibration at 2910 cm−1, C–C stretching vibration at 1114 cm−1 and C–O stretching vibration at 1020 cm−1. A small peak was observed at 1680 cm−1, corresponding to the entrapped water inside the β-CD. Compared with β-CD, the linker FTIR spectrum exhibited significant characteristic peaks at 2968 cm−1 (stretching symmetric of CH2 and CH), 2862 cm−1 (asymmetric stretching vibration of CH2 and CH), 1456 cm−1 (scissoring of CH2) and 1373 cm−1 (bending of CH). These peaks were completed with the strong absorption at 1083 cm−1, corresponding to the C–O and C–C stretching bands. The bands at 906 and 837 cm−1 were attributed to the stretching vibration of the epoxide in the linker. On the contrary, characteristic bands of β-CD and the linker were increased and broadened in the spectra of the three polymers, indicating successful crosslinking at 2935, 2850, 1454, 1348 and 1070 cm−1. The peak at around 3300 cm−1 assigned to the vibration of the OH group of the β-CD was decreased in the polymer spectra, confirming the reaction between the alkoxide group and epoxide linker.

Figure 1.
FTIR spectra of (a) β-CD, (b) EDGE or PEDGE, (c) PEGCD1, (d) EGCD and (e) PEGCD2.
3.2.2. TGA/TDA Analysis
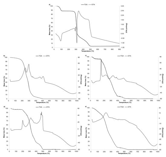
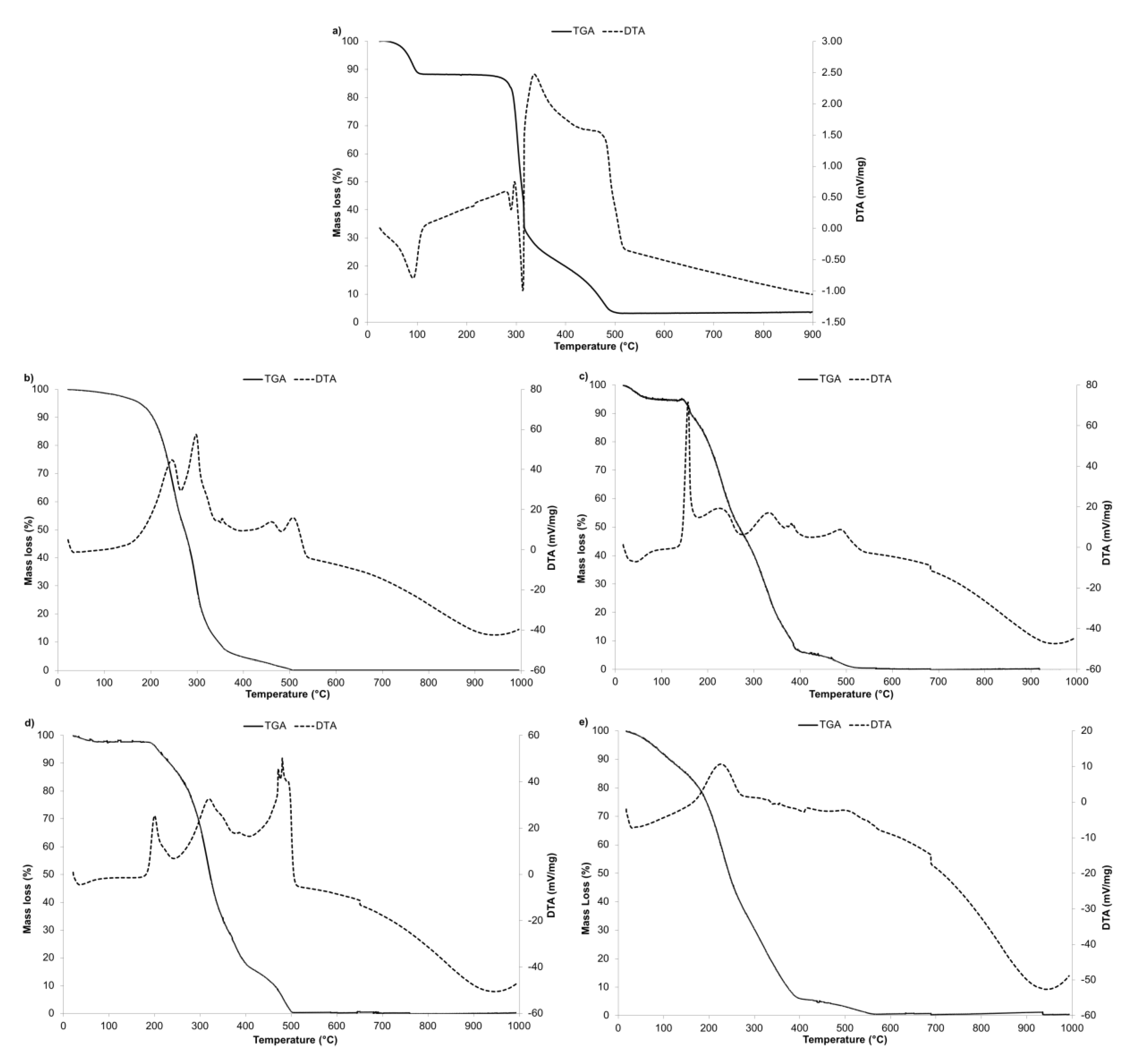
Thermal stability is an important factor in polymer research. TGA/TDA analysis allows to set the presence of structural units through their degradation pattern. More specifically, TGA and DTA were performed to characterize the thermal stability of β-CD and crosslinkers inside the polymers. Figure 2 shows the TGA and DTA curves of β-CD, PEDGE, EGCD, PEGCD1 and PEGCD2.

Figure 2.
Thermogravimetric analysis (TGA) and differential thermal analysis (DTA) curves for (a) β-CD, (b) PEDGE, (c) EGCD, (d) PEGCD1 and (e) PEGCD2.
Figure 2b shows that PEDGE thermal decomposition started at about 125 °C and was completely combusted at about 500 °C. According to the literature [], β-CD thermal decomposition is initiated by the formation of the residue char between 250 and 350 °C, afterwards following with a slow thermal degradation of the char (280–800 °C). In our case, the same behavior was observed for β-CD. The initial weight loss observed for EGCD, PEGCD1 and PEGCD2 represents the loss of residual water, which was more important for PEGCD2 (15%) than for EGCD (8.6%) and PEGCD1 (2.8%). Then two weight loss steps can be distinguished, associated with three exothermic peaks. The first step between 200 and 400 °C—91% for EDGE, 85% for PEGCD1 and 77.5% for PEGCD2—accounted for most of the weight and was associated with the formation of the residue of the β-CD/EGCD or PEGCD polymers. The last step represents the slow charring of the polymer residue along with the degradation of the char. As mentioned by Mane [], the results confirmed that the aliphatic and flexible crosslinkers containing polymers are less stable toward thermal action.
3.2.3. Brunauer–Emmett–Teller Analysis
Specific surface area was investigated by nitrogen physisorption measurements. Based on the BET results, both EGCD and PEGCD1 have a low BET specific surface area, namely 3.31 m2.g−1 and 4.37 m2.g−1, respectively. It should be noticed that the BET analysis of PEGCD2 was not recorded due to its gel form. According to Anne [], β-CD presented a micropore structure with a surface area of 2.45 m2.g−1. PEGCD1 exhibited a higher surface compared to EGCD. This fact can be attributed to the effect of the crosslinkers used []. Therefore, this short difference is probably due to the more pronounced hydrophobic character of the PEGDE compared to the EDGE linker. However, as described by Vilar [], the conditions for N2 adsorption in the BET method can disturb the surface properties of the adsorbent and skew the results of a specific surface area. Thereby, monolayer MB adsorption following the Langmuir model, as described in Section 3.3.3, provides an alternative method to calculate the BET surface.
Estimated specific surface area (AS) was calculated using Equation (2):
where NA is Avogadro’s number (6.022 × 1023 mol−1); Am the effective molecular area for MB (Am = 1.3.10−8 m2); and M is the molecular weight of MB (319.89 g.mol−1).
The maximum adsorbed amount of MB (Qm) was 10.68 mg.g−1 for EGCD and 6.37 mg.g−1 for PEGCD1. Therefore, the estimated specific surface area was 26.14 m2.g−1 and 15.60 m2.g−1 for EGCD and PEGCD1, respectively.
3.2.4. Scanning Electron Microscopy Analysis
Scanning Electron Microscopy analysis (Figure 3) was performed to determine and compare the surface features. It has been demonstrated that β-CD exhibit a crystalline structure in its native form. Obviously, introducing linkers inside the network reduce the crystallinity of β-CD. The PEGCD1 and EGCD polymers showed a relatively coarse surface and irregular structure with some crystalline area compared to PEGCD2, which presents a smoother structure. As shown in Figure 3, the polymers were characterized with diameters of nanoscale size.

Figure 3.
SEM images of different magnifications of 1000X for (a) EGCD, (b) PEGCD1, (c) PEGCD2 and 5000X for (d) EGCD, (e) PEGCD1 and (f) PEGCD2.
3.2.5. XRD Analysis
The powder XRD crystallinity analysis could provide identification and characterization of the crystal structure of materials. The XRD patterns of β-CD reported in Figure 4 show the main diffraction angles in the range of 2θ = 5–35°, which have the characteristic angles at 9.2°, 12.8°, 17.6° and 22.8°, as described by Salgin []. These peaks are proof of the presence of a highly crystalline structure. In contrast, the XRD patterns of the β-CD polymers change drastically after the polymerization reaction, indicating that the introduction of β-CD as a monomer of the crosslinking reaction disrupt the fine structure crystallinity of the β-CD. According to the broad diffraction peak in the XRD spectra at 20.3° for EDGE, 20.2° for PEGCD1 and 19.4° for PEGCD2, no separated crystal aggregates were observed inside the polymer structure, leading to a homogeneous distribution of β-CD.

Figure 4.
X-ray diffraction (XRD) spectra of β-CD, EGCD, PEGCD1 and PEGCD2.
3.3. Adsorption Experiments of Polymers Towards Methylene Blue
3.3.1. Prior Analysis
The absorption ability of the polymers was investigated with MB as a model molecule. The UV–vis spectra of MB exhibited a main absorption at 665 nm for the MB dimer and 612 nm for the MB monomer, as shown in Figure 5. Briefly, 50 mg of each polymer were added to 20 mL of MB (50 mg/L) overnight under stirring. The absorbance of the supernatant was measured after centrifugation. A decrease in the absorbance of the supernatant was observed for all the tested polymers (Figure 5), demonstrating that MB was effectively adsorbed by the polymers. However, the studied polymers did not demonstrate the same efficiency with regard to MB. The polymer based on PEDGE 500 (PEGCD1) was more efficient compared to EGCD and PEGCD2. This could be due to a better accessibility of the CD cavities and a rapid dissemination of MB through the polymer network.

Figure 5.
UV–vis spectra of the supernatant solution after sorption on the polymer compared to the initial solution of methylene blue (MB).
According to these results, we decided to investigate the adsorption ability of these three polymers towards MB. As a first step, to achieve the most efficient adsorption, the optimal conditions, such as the pH, adsorbent mass and initial concentration of MB, should be determined.
3.3.2. Effect of pH
The modification of β-CD with ethylene glycol and polyethylene glycol leads to a low value of specific surface area. It was reasonable to deduce that high adsorption performance could not be obtained. Therefore, the nature of the absorbent and target molecule may participate in the adsorption ability. The study of the pH remains essential, especially when the adsorbent and target molecule are subject to protonation or deprotonation as a function of pH. It is well known that pH is the most important parameter in the adsorption process due to its effect on the dye molecule and on the surface of the adsorbent []. In our study, pH values can affect not only MB but also the linker and β-CD.
Since most of the studied parameters might be depending on the contact time, it has been established that MB adsorption was practically instantaneous [], depending on the substrate. The time was fixed to 24 h to improve the stability of the β-CD/MB complex and confirm the equilibrium.
The protonation of the OH group of the adsorbent forms a cation that pushes away the protonated MB. In these experiments, the sorption capacity of the polymers was evaluated by measuring the remaining amounts of MB in the supernatant. A fixed amount of MB (50 mg/L) was stirred in the presence of 30 mg of each polymer at room temperature during 24 h. The effect of pH on MB adsorption was investigated between pH 2 and 12, and the results are illustrated in Figure 6.

Figure 6.
Effect of initial pH solution on the adsorption capacity of MB by EGCD, PEGCD1 and PEGCD2.
We can observe that the MB adsorption was less effective at pH 2 for EGCD, PEGCD1 and PEGCD2. Indeed, at a low pH, the dimethylamino groups in the MB and hydroxyl groups of β-CD and the linker were probably positively charged, which reduced the formation of inclusion complexes due to the weak interaction of MB with the hydrophobic cavity. Between pH 2 and 4, the adsorption ability enhanced with increasing pH. In this case, the hydrophilic and hydrophobic groups in each MB molecule simultaneously exist, allowing the inclusion of MB. From pH 4, PEGCD1 adsorbs twice as much as EGCD and PEGCD2. No change was observed between pH 6 and 8. Then MB removal increased gradually until pH 12. At pH 12, the yield of MB removal was higher for all the studied polymers and pretty closed to the same value. All the MB molecules with ammonium salt are neutralized at a higher pH, thus reinforcing interactions between MB and CD and the dissemination of MB through the polymer network.
3.3.3. Effect of Adsorbent Mass
In order to estimate the required amount of solid polymer required to obtain a maximal adsorption, experiments were conducted by using 50 mL of MB (50 mg/L) with various polymer amounts (50 to 400 mg). The polymers were kept in contact with MB for 24 h at pH 6. The results displayed in Figure 7 demonstrate a loss of adsorption efficiency when increasing the mass of the polymers between 50 and 400 mg. The amount of adsorption sited should increase with the adsorbent mass and consequently exhaust the MB solution having a fixed concentration. In our case, the amount of MB decreases until 200 mg of polymer and tends to remain constant. Concerning the percentage of MB adsorbed, we can observe a slight increase for PEGCD1 and PEGCD2 from an initial amount of polymer of 50 mg to a ten times higher amount (400 mg). Concerning EGCD, whatever the amount, the polymer is able to be adsorbed around 15% of the initial MB present in the solution. It is therefore more useful to work with small masses of adsorbents from an economical point of view.

Figure 7.
(Top) Effect of the adsorbent mass on the adsorption capacities of MB; and (Bottom) effect of the adsorbent mass on the percentage of MB adsorption.
3.3.4. Effect of Initial Dye Concentration
Batch experiments were performed at different MB concentrations (5–100 mg/L). The polymers were mixed with MB during 24 h at pH 6. The amount of MB adsorbed depending on the initial concentration is present in Figure 8.

Figure 8.
(Top) Effect of the initial concentration of MB on the adsorption capacity (mg/g) of MB by EGCD, PEGCD1 and PEGCD2; and (Bottom) effect of the initial concentration of MB on the percentage of MB adsorption.
According to Figure 8, the amount of MB adsorbed by the polymer increases from 8 to 51 mg/g with the increase of the initial MB concentration from 5 to 100 mg/L. This increasing of the concentration gradient acts as the driving force. The polymer obtained from PEDGE 500 (PEGCD1) was more efficient compared to those obtained from PEDGE 640 (PEGCD2) and EDGE (EGCD).
With different initial concentrations of MB, it has been observed that the yield of adsorbed MB decreases with the increase in the concentration of the MB solution. When the concentration of MB is low, the equilibrium is rapidly reached because they are many sites available for adsorption. At high MB concentrations, more active sites were occupied and the percentage of additional MB adsorbed was lower, if compared to the initial concentration.
According to these results, adsorption isotherms were investigated to fit the best model. In this way, batch experiments were conducted with various concentrations of MB (10–100 mg/L). Other parameters were kept constant (adsorbent mass = 30 mg, time = 24 h, Syncore vial speed = 260 rpm and pH = 6).
The modeling of the adsorption equilibrium consists of representing the equilibrium relationship between the quantity of MB in the liquid phase and that adsorbed on the material by application of the Langmuir model and the Freundlich model [,]. The Langmuir isotherm is generally used when the adsorption is a monolayer with a specific homogeneous binding site while, for Freundlich isotherm, it rather meets a multi-layer adsorption process with a heterogeneous surface. The MB adsorption was fitted to both Langmuir and Freundlich models. Since values of the correlation coefficient for the Freundlich isotherms were not significant compared to Langmuir model, the Freundlich isotherms are not described in this study.
The Langmuir model (Equation (3)) is the following one:
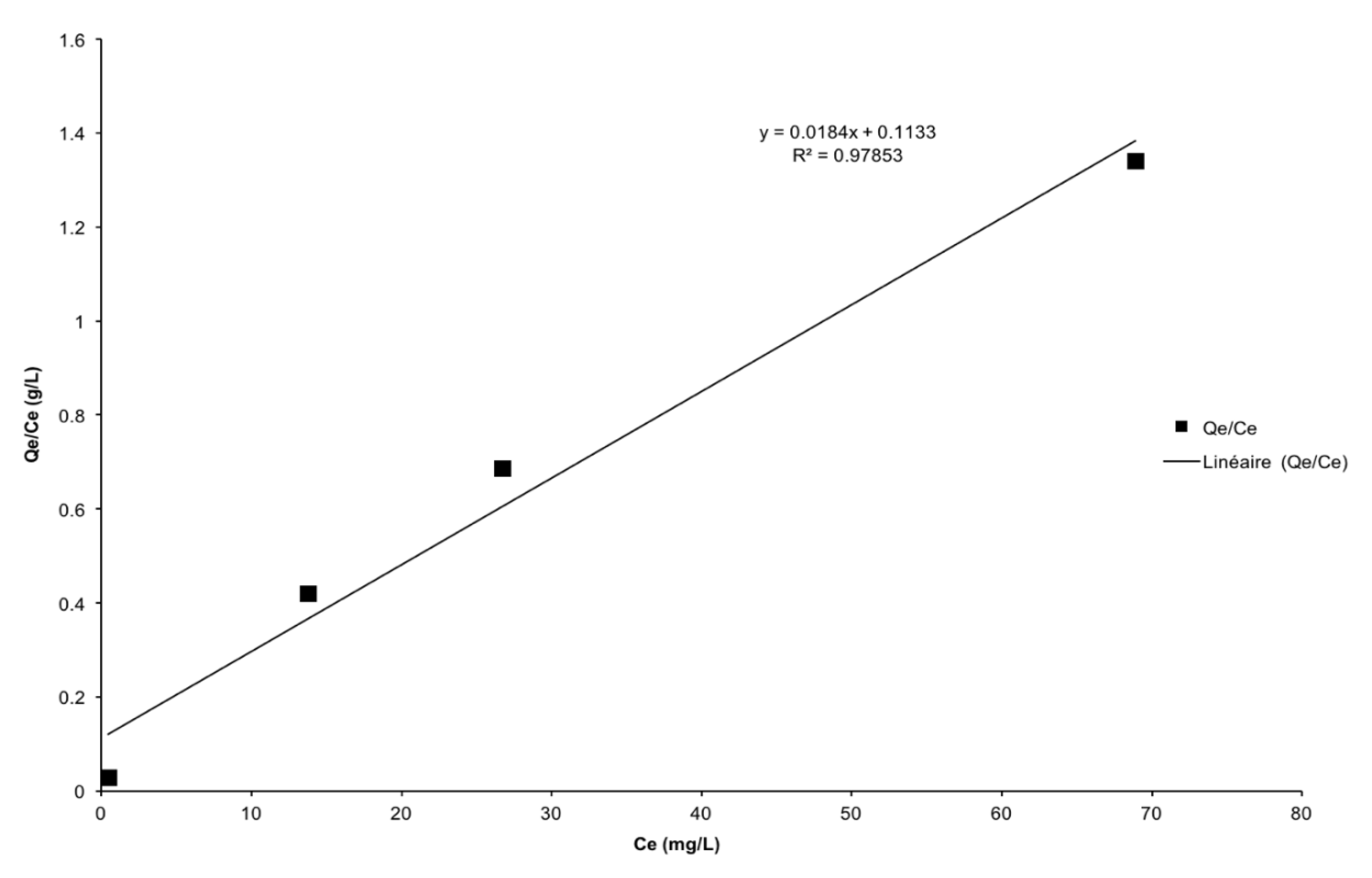
For the Langmuir equation, Ce (mg/L) is the concentration of MB at equilibrium; Qe (mg/g) is the uptake capacities at equilibrium; Qm (mg/g) is the maximum adsorption capacity; and KL (L/mg) is the Langmuir equilibrium constant. Figure 9 depicts the linear fit of the isotherm data for PEGCD2.

Figure 9.
Plots of adsorption of MB onto the PEGCD2 polymer following the Langmuir model.
All the parameters for the Langmuir model for EGCD, PEGCD1 and PEGCD2 are listed in Table 2.

Table 2.
Adsorption isotherm parameters for MB adsorption.
The linear regression line of Ce/Qe versus Ce allows to calculate the Langmuir constants KL and Qm. The separation factor RL was calculated through the following equation (Equation (4)).
where KL is the Langmuir constant (L/mg); and C0 is the initial concentration (mg/L).
The correlation coefficients (R2) indicate the best fit between the experimental and calculated adsorption data according to the Langmuir isotherm. MB adsorption data fitted the Langmuir model with correlation coefficients between 0.92 and 0.99.
The value of RL gives an indication if the type of isotherm is favorable (0 < RL < 1), unfavorable (1< RL), linear (RL = 1) or irreversible (RL = 0) []. EGCD, PEGCD1 and PEGCD2 have RL values much smaller than 1.0, indicating a strong affinity between MB and the polymers. The maximum amount of MB (Qmax) adsorbed by PEGCD and EGCD was compared to other CD polymers recently reported in the literature (Table 3).

Table 3.
Maximum adsorption capacities of MB for various β-CD-based polymers based on the Langmuir results.
The adsorption capacity of our polymers for MB are less efficient compared to those reported, excepted for the CD grafted thiacalix(4)arene polymer. The slightly weaker performance in observed adsorption capacity could result from the chemical nature of the linker. A postulated mechanism for MB adsorption was proposed by Jiang [] involving three contributions. Among these contributions, only the nonpolar hydrophobic cavity of CD could be involved in our study. The hydroxyl group -OH on the macromolecular chain cannot be ionized when water molecules enter in the polymer network. As a consequence, an MB dye with positive charge cannot be adsorbed by electrostatic attraction.
3.3.5. Reutilization Studies
The ability to reprocess the adsorbent is an essential criterion for industrial applications, from an economical and green point of view. Therefore, we evaluated the reversibility of the adsorption/desorption process. The trapping of MB by the β-CD polymers could be explained by the formation of the inclusion complexes as well as by its incorporation in the polymer network through additional interactions that supplement the inclusion phenomena []. In these cases, solvents are good candidates for the desorption of the entrapped compounds. Desorption studies were conducted to validate the recyclability of polymers using PEGCD1 as a model. After adsorption of MB (50 mL at 5 mg/L) during 4 h at pH 6, PEGCD1 was desorbed by ethanol using Soxhlet extraction. Then the polymer was dried before reuse. The adsorption capacities remained constant during three adsorption/desorption cycles (Figure 10)

Figure 10.
Removal efficiency of PEGCD1 for MB during three consecutive adsorption/desorption cycles.
These results suggested that CD polymers based on PEDGE exhibited efficient recyclability and could be considered as a promising adsorbent for dye removal.
4. Conclusions
This study reports the first use of PEDGE and EDGE CD polymers for the adsorption of MB, a common dye. The synthesis of β-CD polymers with both types of crosslinkers was successfully achieved and confirmed by TGA/DTA, XRD, SEM analyses and FTIR spectroscopy. These polymers have several advantages compared to other adsorbents: their synthesis is environmentally friendly; they possess adsorption capacities; and they can be easily regenerated. The adsorption kinetic followed the pseudo-first-order model and the adsorption equilibrium data fitted well with the Langmuir model.
To demonstrate the efficiency of these linkers, other experiments will be conducted with anionic and neutral dyes.
Author Contributions
I.M. designed and performed the experiments. I.M. and D.L. analyzed the data. I.M. wrote, reviewed and edited the original draft preparation. D.L. and S.F. reviewed the manuscript. All authors have read and agreed to the published version of the manuscript.
Funding
This research received no external funding.
Acknowledgments
The authors would like to thank Lucette Tidahy for the TGA/TDA analyses, Christophe Poupin for DRX and Damien Bourgeois for the BET and SEM analyses.
Conflicts of Interest
The authors declare no conflict of interest.
References
- Wong, Y.; Yu, J. Laccase-catalyzed decolorization of synthetic dyes. Water Res. 1999, 33, 3512–3520. [Google Scholar] [CrossRef]
- Bumpus, J. Microbial degradation of azo dyes. In Biotransformations; Singh, V.P., Ed.; Elsevier: Amsterdam, The Netherlands, 1995; pp. 157–176. [Google Scholar]
- Rawat, D.; Mishra, V.; Sharma, R.S. Detoxification of azo dyes in the context of environmental process. Chemosphere 2016, 155, 591–605. [Google Scholar] [CrossRef] [PubMed]
- Dasgupta, J.; Sikder, J.; Chakraborty, S.; Curcio, S.; Drioli, E. Remediation of textile effluents by membrane based treatment techniques: A state of the art review. J. Environ. Manag. 2015, 147, 55–72. [Google Scholar] [CrossRef]
- Benidris, E.B.; Ghezzar, M.R.; Ma, A.; Ouddane, B.; Addou, A. Water purification by a new hybrid plasma-sensitization coagulation process. Sep. Purif. Technol. 2017, 178, 253–260. [Google Scholar] [CrossRef]
- Chen, S.H.; Yien Ting, A.S. Biodecolorization and biodegradation potential of recalcitrant triphenylmethane dyes by Coriolopsis sp. Isolated from compost. J. Environ. Manag. 2015, 150, 274–280. [Google Scholar] [CrossRef] [PubMed]
- Jiang, F.; Dinh, D.M.; Hsieh, Y.L. Adsorption and desorption of cationic malachite green dye on cellulose nanofibril aerogels. Carbohydr. Polym. 2017, 173, 286–294. [Google Scholar] [CrossRef] [PubMed]
- Doke, S.M.; Yadav, G.D. Novelties of combustion synthesized titania ultrafiltration membrane in efficient removal of methylene blue dye from aqueous effluent. Chemosphere 2014, 117, 760–765. [Google Scholar] [CrossRef] [PubMed]
- Nuengmatcha, P.; Chanthai, S.; Mahachai, R.; Oh, W.C. Sonocatalytic performance of ZnO/graphene/TiOs nanocomposites for degradation of dye pollutants (methylene blue, texbrite BAC-L, texbrite BBU-L and texbrite NFW-L) under ultrasonic irradiation. Dyes Pigment. 2016, 134, 487–497. [Google Scholar] [CrossRef]
- Ebadi, A.; Rafati, A.A. Preparation of silica-mesoporous nanoparticles functionalized with β-cyclodextrin and its application for methylene blue removal. J. Mol. Liq. 2015, 209, 239–245. [Google Scholar] [CrossRef]
- Khan, A.M.; Shafiq, F.; Khan, S.A.; Ali, S.; Ismail, B.; Hakeem, A.S.; Rahdar, A.; Nazar, M.F.; Sayed, M.; Khan, A.R. Surface modification of colloidal particles using cationic surfactant and the resulting adsorption of dyes. J. Mol. Liq. 2019, 274, 673–680. [Google Scholar] [CrossRef]
- Kumar, A.; Jena, H.M. Removal of methylene blue and phenol onto prepared activated carbon from Fox nutshell by chemical activation in batch and fixed bed column. J. Clean. Prod. 2016, 137, 1246–1259. [Google Scholar] [CrossRef]
- Liu, S.; Ding, Y.; Ti, P.; Diao, K.; Tan, X.; Lei, F.; Zhan, Y.; Li, Q.; Huang, Z. Adsorption of the anionic dye Congo red from aqueous solution onto natural zeolites modified with N,N-dimethyl dehydroabietylamine oxide. Chem. Eng. J. 2014, 248, 135–144. [Google Scholar] [CrossRef]
- Jiao, T.; Zhao, H.; Zhou, J.; Zhang, Q.; Luo, X.; Hu, J.; Peng, Q.; Yan, X. Self-assembly reduced graphene oxide nanosheet hydrogel fabrication by anchorage of chitosan/silver and its potential efficient application toward dye degradation of wastewater treatments. ACS Sustain. Chem. Eng. 2015, 3, 3130–3139. [Google Scholar] [CrossRef]
- Yao, X.; Ji, L.; Guo, J.; Ge, S.; Lu, W.; Cai, L.; Wang, Y.; Song, W.; Zhang, H. Magnetic activated biochar nanocomposites derived from wakame and its application in methylene blue adsorption. Bioresour. Technol. 2020, 302, 122842. [Google Scholar] [CrossRef] [PubMed]
- Kono, H.; Ogasawara, K.; Kusumoto, R.; Oshima, K.; Hashimoto, H.; Shimizu, Y. Cationic cellulose hydrogels cross-linked by poly(ethyleneglycol): Preparation, molecular dynamics, and adsorption of anionic dyes. Carbohydr. Polym. 2016, 152, 170–180. [Google Scholar] [CrossRef]
- Szejtli, J. Introduction and general overview of cyclodextrins chemistry. Chem. Rev. 1998, 98, 1743–1753. [Google Scholar] [CrossRef]
- Ijaz, M.; Matuszczak, D.; Rahmat, A.; Mahmood, A.; Bonengel, S.; Hussain, S.; Huck, C.W. Synthesis and characterization of thiolated β-cyclodextrin as a novel mucoadhesive excipient for intra-oral drug delivery. Carbohydr. Polym. 2015, 132, 187–195. [Google Scholar] [CrossRef]
- Strickley, R.G. Solubilizing excipient in oral and injectable formulation. Pharm. Res. 2004, 21, 201–230. [Google Scholar] [CrossRef]
- Uekama, K.; Hirayama, F.; Arima, H. Recent Aspect of Cyclodextrin-Based Drug Delivery System. J. Incl. Phenom. Macrocycl. Chem. 2006, 56, 3–8. [Google Scholar] [CrossRef]
- Astray, G.; Gonzalez-Barreiro, C.; Mejuro, J.C.; Rial-Otero, R.; Simal Gandara, J. A review on the use of cyclodextrins in foods. Food Hydrocoll. 2009, 23, 1631–1640. [Google Scholar] [CrossRef]
- Astray, G.; Mejuto, J.C.; Morales, J.; Rial-Otero, R.; Simal Gandara, J. Factors controlling flavors binding constants to cyclodextrins and their applications in foods. Food Res. Int. 2010, 43, 1212–1218. [Google Scholar] [CrossRef]
- Cho, E.; Nazir Tahir, M.; Choi, J.M.; Kim, H.; Yu, J.H.; Jung, S.H. Novel magnetic nanoparticles coated by benzene- and β-cyclodextrin-bearing dextran and the sorption of polycyclic aromatic hydrocarbon. Carbohydr. Polym. 2015, 133, 221–228. [Google Scholar] [CrossRef] [PubMed]
- Renard, E.; Deratani, A.; Volet, G.; Sebille, B. Preparation and characterization of water soluble high molecular weight β-cyclodextrin-epichlorohydrin polymers. Eur. Polym. J. 1997, 33, 49–57. [Google Scholar] [CrossRef]
- Crini, G.; Bertini, S.; Torri, G.; Naggi, A.; Sforzini, D.; Vecchi, C.; Janus, L.; Lekchiri, Y.; Morcellet, M. Sorption of aromatic compounds in water using insoluble cyclodextrin polymers. J. Appl. Polym. Sci. 1998, 68, 1973–1978. [Google Scholar] [CrossRef]
- Crini, G.; Morcellet, M. Synthesis and applications of adsorbents containing cyclodextrins. J. Sep. Sci. 2002, 25, 789–813. [Google Scholar] [CrossRef]
- Mallard-Favier, I.; Baudelet, D.; Fourmentin, S. VOC trapping by new crosslinked cyclodextrin polymers. J. Incl. Phenom. Macrocycl. Chem. 2011, 69, 433–437. [Google Scholar] [CrossRef]
- Ghoul, Y.Y.; Martel, B.; Achari, A.E.; Campagne, C.; Razafimahefa, L.; Vroman, I. Improved dyeability of polypropylene fabrics finished with β-cyclodextrin-citric acid polymer. Polym. J. 2010, 42, 804–811. [Google Scholar] [CrossRef]
- Khaoulani, S.; Charker, H.; Cadet, C.; Bychkov, E.; Cherif, L.; Bengueddach, A.; Fourmentin, S. Wastewater treatment by cyclodextrin polymers and noble metal/mesoporous TiO2 photocatalysts. Comptes Rendus Chim. 2015, 18, 23–31. [Google Scholar] [CrossRef]
- Vasconcelos, D.A.; Kubota, T.; Santos, D.C.; Araiyo, M.V.G.; Teixeira, Z.; Gimenez, I.F. Preparation of Aun quantum clusters with catalytic activity in β-cyclodextrin polyurethane nanosponges. Carbohydr. Polym. 2016, 136, 54–62. [Google Scholar] [CrossRef]
- Renard, E.; Barnathan, G.; Deratani, A.; Sebille, B. Polycondensation of cyclodextrins with epichlorohydrin. Influence of reaction conditions on the polymer structure. Macromol. Symp. 1997, 122, 229–234. [Google Scholar] [CrossRef]
- Romo, A.; Peñas, F.J.; Sevillano, X.; Isasi, J.R. Application of factorial experimental design to the study of the suspension polymerization of β-cyclodextrin and epichlorohydrin. J. Appl. Polym. Sci. 2006, 100, 3393–3402. [Google Scholar] [CrossRef]
- Crini, G. Studies on adsorption of dyes on β-cyclodextrin polymer. Bioresour. Technol. 2003, 90, 193–198. [Google Scholar] [CrossRef]
- Zhao, D.; Zhao, L.; Zhu, C.S.; Shen, X.; Zhang, X.; Sha, B. Comparative study of polymer containing β-cyclodextrin and -COOH for adsorption toward aniline, 1-naphthylamine and methylene blue. J. Hazard. Mater. 2009, 171, 241–246. [Google Scholar] [CrossRef] [PubMed]
- Yilmaz Ozmen, E.; Sezgin, M.; Yilmaz, A.; Yilmaz, M. Synthesis of β-cyclodextrin and starch based polymers for sorption of azo dyes from aqueous solutions. Bioresour. Technol. 2008, 99, 526–531. [Google Scholar] [CrossRef]
- Yilmaz, E.; Memon, S.; Yilmaz, M. Removal of direct azo dyes and aromatic amines from aqueous solutions using two β-cyclodextrin-based polymer. J. Hazard. Mater. 2010, 174, 190–194. [Google Scholar] [CrossRef] [PubMed]
- Alsbaiee, A.; Smith, B.J.; Xiao, L.; Ling, Y.; Helbling, D.E.; Ditchel, W.R. Rapid removal of organic micropollutants from water by a porous β-cyclodextrin polymer. Nature 2016, 529, 190–194. [Google Scholar] [CrossRef]
- Huang, Z.; Wu, Q.; Liu, S.; Liu, T.; Zhang, B. A novel biodegradable β-cyclodextrin-based hydrogel for the removal of heavy metal ions. Carbohydr. Polym. 2013, 97, 496–501. [Google Scholar] [CrossRef]
- Wester, P.W.; Van der Heijden, C.W.; Bisschop, G.J.; Van Esch, G.J. Carcinogenicity study with epichlorohydrin (CEP) by gavage in rats. Toxicology 1985, 36, 325–339. [Google Scholar] [CrossRef]
- Jiang, H.-L.; Lin, J.-C.; Hai, W.; Tan, H.-W.; Luo, Y.-W.; Xie, X.-L.; Cao, Y.; He, F.-H. A novel crosslinked β-cyclodextrin-based polymer for removing methylene blue from water with high efficiency. Colloids Surf. A 2019, 560, 59–68. [Google Scholar] [CrossRef]
- Yang, W.; He, N.; Fu, J.; Li, Z.; Ji, X. Preparation of porous core-shell poly-L-lactic acid/polyethylene glycol superfine fibres containing drug. J. Nanosc. Nanotechnol. 2015, 15, 9911–9917. [Google Scholar] [CrossRef]
- Verhoef, J.J.F.; Carpenter, J.F.; Anchordoquy, T.J.; Schellekens, H. Potential induction of anti-PEG antibodies and complement activation toward PEGylated therapeutics. Drug Discov. Today 2014, 19, 1945–1952. [Google Scholar] [CrossRef]
- Gao, N.; Zhou, W.; Jiang, X.; Hong, G.; Fu, T.M.; Lieber, C.M. General strategy for biodetection in high ionic strength solutions using transistor-based nanoelectronics sensors. Nano Lett. 2015, 15, 2143–2148. [Google Scholar] [CrossRef]
- Iverson, N.M.; Bisker, G.; Farias, E.; Ivanov, V.; Ahn, J.; Wogan, G.G.; Stranos, M.S. Quantitative tissue spectroscopy of near infrared fluorescent nanosensor implants. J. Biomed. Nanotechnol. 2016, 12, 1035–1047. [Google Scholar] [CrossRef] [PubMed]
- Diez-Pascual, A.M.; Diez-Vicente, A.L. Poly (propylene fumarate)/polyethylene glycol-modified graphene oxide nanocomposites for tissue engineering. ACS Appl. Mater. Interfaces 2016, 28, 17902–17914. [Google Scholar] [CrossRef] [PubMed]
- Jafari, A.; Hassanajili, S.; Azarpira, N.; Karimi, M.B.; Geramizadeh, B. Development of thermal-crosslinkable chitosan/maleic terminated polyethylene glycol hydrogels for full thickness wound healing: In vitro and in vivo evaluation. Eur. Polym. J. 2019, 118, 113–127. [Google Scholar] [CrossRef]
- Bratskaya, S.; Privar, Y.; Nesterov, D.; Modin, E.; Kodess, M.; Slobodyuk, A.; Marinin, D.; Pestov, A. Chitosan Gels and Cryogels Cross-Linked with Diglycidyl Ethers of Ethylene Glycol and Polyethylene Glycol in Acidic Media. Biomacromolecules 2019, 20, 1635–1643. [Google Scholar] [CrossRef]
- Nielsen, T.T.; Wintgens, V.; Larsen, K.L.; Amiel, C. Synthesis and characterization of poly(ethylene glycol) based β-cyclodextrin polymers. J. Incl. Phenom. Macrocycl. Chem. 2009, 65, 341–348. [Google Scholar] [CrossRef]
- Cesteros, L.L.; Ramirez, C.C.; Pecina, A.; Katime, I. Poly(ethylene glycol-β-cyclodextrin) gels: Synthesis and properties. J. Appl. Polym. Sci. 2006, 102, 1162–1166. [Google Scholar] [CrossRef]
- Cesteros, L.C.; Gonzales-Teresa, R.; Katime, I. Hydrogels of β-cyclodextrin crosslinked by acylated poly(ethylene glycol): Synthesis and properties. Eur. Polym. J. 2009, 45, 674–679. [Google Scholar] [CrossRef]
- Kono, H.; Onishi, K.; Nakamura, T. Characterization and bisphenol A adsorption capacity of β-cyclodextrin-carboxymethylcellulose-based hydrogel. Carbohydr. Polym. 2013, 98, 784–792. [Google Scholar] [CrossRef]
- Kono, H.; Nakamura, T.; Hashimoto, H.; Shimizu, Y. Characterization molecular dynamics and encapsulation ability of β-cyclodextrin polymers crosslinked by polyethylene glycol. Carbohydr. Polym. 2015, 123, 11–23. [Google Scholar] [CrossRef] [PubMed]
- Lee, J.H.; Kwak, S.Y. Branched polyethylenimine-polyethylene glycol-β-cyclodextrins polymers for efficient removal of bisphenol A and copper from wastewater. J. Appl. Polym. Sci. 2019, 48475, 1–9. [Google Scholar] [CrossRef]
- Luppi, F.; Mai, N.; Kister, G.; Gill, P.P.; Gaulter, S.E.; Stennett, C.; Dossi, E. Chemical modification of β-cyclodextrins: Balancing soft and rigid domains in complex structures. Chem. Eur. J. 2019, 25, 15646–15655. [Google Scholar] [CrossRef] [PubMed]
- Luppi, F.; Cavaye, H.; Dossi, E. Nitrated Cross-linked β-Cyclodextrin Binders Exhibiting Low Glass Transition Temperatures. Propellants Explos. Pyrotech. 2019, 43, 1023–1031. [Google Scholar] [CrossRef]
- Luppi, F.; Kister, G.; Carpenter, M.; Dossi, E. Thermomechanical characterization of cross-linked β-cyclodextrin polyether binders. Polym. Test. 2019, 73, 338–345. [Google Scholar] [CrossRef]
- Zhang, G.; Shuang, S.; Dong, C.; Pan, J. Study on the interaction of methylene blue with cyclodextrin derivatives by absorption and fluorescence spectroscopy. Spectrochim. Acta Part A 2003, 59, 2935–2941. [Google Scholar] [CrossRef]
- Badruddoza, A.Z.M.; Hazel, G.S.S.; Hidajat, K.; Uddin, M.S. Synthesis of carboxymethyl-β-cyclodextrin conjugated magnetic nano-adsorbent for removal of methylene blue. Colloids. Surf. A 2010, 367, 85–95. [Google Scholar] [CrossRef]
- Liu, J.; Liu, G.; Liu, W. Preparation of water soluble β-cyclodextrin/poly(acrylic acid) graphene oxide nanocomposites as new adsorbents to remove cationic dyes from aqueous solution. Chem. Eng. J. 2014, 257, 299–308. [Google Scholar] [CrossRef]
- Rafatullah, M.; Sulaiman, O.; Hashim, R.; Ahmad, A. Adsoprtion of methylene blue on low-cost adsorbents: A review. J. Hazard. Mater. 2010, 177, 70–80. [Google Scholar] [CrossRef] [PubMed]
- Mahapatra, K.; Ramteke, D.D.; Paliwal, L.J. Production of activated carbon from sludge of food processing industry under controlled pyrolysis and its application for methylene blue removal. J. Anal. Appl. Pyrolysis 2012, 95, 79–86. [Google Scholar] [CrossRef]
- Komiayama, M.; Hirai, H. Preparation of immobilized β−cyclodextrins by use of alkanediol diglycidyl ethers as crosslinking agents and their guest binding abilities. Polym. J. 1987, 19, 773–775. [Google Scholar] [CrossRef]
- Guo, C.G.; Wang, L.; Li, Y.K.; Wang, C.Q. Supramolecular hydrogels based on low-molecular-weight poly(ethylene glycol) and α-cyclodextrin. J. Appl. Polym. Sci. 2013, 129, 901–907. [Google Scholar] [CrossRef]
- Trotta, F.; Zanetti, M.; Camino, G. Thermal degradation of cyclodextrins. Polym. Degrad. Stab. 2000, 69, 373–379. [Google Scholar] [CrossRef]
- Mane, S.; Ponrathnam, S.; Chavan, N. Effect of chemical crosslinking on properties of polymer microbeads: A review. Can. Chem. Trans. 2016, 3, 473–485. [Google Scholar] [CrossRef]
- Anne, J.M.; Boon, Y.H.; Saad, B.; Miskam, M.; Yusoff, M.M.; Sharhiman, M.S.; Zain, N.N.M.; Lim, V.; Raoov, M. β-cyclodextrin conjugated bifunctional isocyanate linker polymer for enhanced removal of 2,4-dinitrophenol from environmental waters. R. Soc. Open Sci. 2018, 5, 180942. [Google Scholar] [CrossRef] [PubMed]
- Vilar, V.J.P.; Botelho, C.M.S.; Boaventura, R.A.R. Methylene Blue Adsorption by Algal Biomass based Materials: Biosorbents Characterization and Process Behavior. J. Hazard. Mat. 2007, 147, 120–132. [Google Scholar] [CrossRef] [PubMed]
- Salgin, S.; Salgin, U.; Vatansever, O. Synthesis and characterization of β-cyclodextrin nanosponge and its application for the removal of p-nitrophenol from water. Clean Soil Air Water 2017, 45, 1500837. [Google Scholar] [CrossRef]
- Wang, X.S.; Zhou, Y.; Jiang, Y.; Sun, C. The removal of basic dyes from aqueous solution using agricultural by-products. J. Hazard. Mater. 2008, 157, 374–385. [Google Scholar] [CrossRef]
- Zhao, R.; Wang, Y.; Li, X.; Sun, B.; Jiang, Z.; Wang, C. Water insoluble sericin/β-cyclodextrin/PVA composite electrospun nanofibers as effective adsorbents towards methylene blue. Colloids Surf. B 2015, 136, 375–382. [Google Scholar] [CrossRef]
- Freundlich, H.M.F.Z. Over the adsorption in solution. Phys. Chem. 1906, 57, 385–470. [Google Scholar]
- Langmuir, I. The constitution and fundamental properties of solids and liquids. Part I. Solids. J. Am. Chem. Soc. 1916, 8, 2231–2295. [Google Scholar] [CrossRef]
- Annadurai, A.G.; Ling, L.Y.; Ling, L.Y.; Lee, J.F. Adsorption of reactive dye from an aqueous solution by chitosan: Isotherm, kinetic and thermodynamic analysis. J. Hazard. Mater. 2008, 152, 337–346. [Google Scholar] [CrossRef]
- Zhao, D.; Zhao, L.; Zhu, C.S.; Huang, W.Q.; Hue, J.L. Water insoluble β-cyclodextrin polymer crosslinked by citric acid synthesis and adsorption toward phenol and methylene blue. J. Incl. Phenom. Macrocycl. Chem. 2009, 63, 195–201. [Google Scholar] [CrossRef]
- Hou, N.; Wang, R.; Wang, F.; Bai, J.; Jiao, T.; Bai, Z.; Zhang, L.; Zhou, J.; Peng, Q. Self-assembled hydrogels constructed via host-guest polymers with highly efficient dye removal capability for wastewater treatment. Colloids Surf. A 2019, 579, 123670. [Google Scholar] [CrossRef]
- Hou, N.; Wang, R.; Geng, R.; Wang, F.; Jiao, T.; Zhang, L.; Zhou, J.; Bai, Z.; Peng, Q. Facile preparation of self-assembled hydrogels constructed from poly-cyclodextrin and polyadamantane as highly selective adsorbents for wastewater treatements. Soft Matter 2019, 15, 6097–6106. [Google Scholar] [CrossRef]
- Chen, S.; Guo, H.; Yang, F.; Di, X. Cyclodextrin grafted thiocalix [4]arene netty polymer based on the click chemistry, preparation and efficient adsorption for organic dyes. J. Polym. Res. 2016, 2, 1–12. [Google Scholar] [CrossRef]
- Morin-Crini, N.; Wintertin, P.; Fourmentin, S.; Wilson, L.D.; Fenyvesi, E.; Crini, G. Water-insoluble β-cyclodextrin-epichlorohydrin polymers for removal of pollutants from aqueous solution by sorption processes using batch studies: A review of inclusion mechanisms. Prog. Polymer. Sci. 2018, 78, 1–23. [Google Scholar] [CrossRef]
© 2020 by the authors. Licensee MDPI, Basel, Switzerland. This article is an open access article distributed under the terms and conditions of the Creative Commons Attribution (CC BY) license (http://creativecommons.org/licenses/by/4.0/).