Self-Insulating Joint Design for Live-Line Operation Based on the Cable-Driven Parallel-Series Mechanism
Abstract
1. Introduction
2. Cable-Driven Parallel-Series Mechanism
2.1. Model Details of the Mechanism
- (1)
- Four cables are modeled with negligible mass and diameter in the inverse kinematics model. The fixed points of the cables on the lower and upper platforms are defined as P1, P2 and Q1, Q2. The corresponding relationship between the four cable numbers and the fixed points on the platform is shown in Figure 2. In the initial state, the fixed-point connection line of the moving platform is perpendicular to the connection line of the base. The distances of P and Q to the concentric points of the upper and lower platforms are p and q, respectively. The length of the cable between Q and P is defined as L. T is the force of the cable. The unit vector along the direction of the cable is defined as ui.
- (2)
- The lower platform is considered the fixed reference, and its thickness is neglected. O1X1Y1Z1 is defined as the local coordinate system, and origin O1 is located at the center of the platform. The Y1 axis is along the direction of O1P2. The X1 axis is perpendicular to the Y1 axis. The Z1 axis is determined by the right-hand principle based on the X1 and Y1 axes. An insulation plate is attached to the upper surface of the lower platform to provide electrical insulation for the live-line operation.
- (3)
- The upper platform is the movable part of the mechanism, and its thickness is neglected. oxyz is defined as the local coordinate system; origin o is located at the geometric center of the moving platform. The x-axis is along the oQ2 direction, and the y-axis is perpendicular to the x-axis. The z-axis is determined by the right-hand principle based on the x and y axes. An insulation plate is attached to the bottom surface of the upper platform to provide electrical insulation for the live-line operation.
- (4)
- The cylindrical compression spring connects the concentric lower and upper platforms. The force and torque generated by the cylindrical compression spring support the load and participate in the movement of the upper platform. The combined bearing between the spring and the moving platform rotates around the z-axis and moves along the z-axis. Therefore, the spring does not participate in the z-axis rotation and only rotates in the oxy plane providing the roll and pitch angles.
- (5)
- Two shafts connected by a universal joint in the spring restricts the lateral bending motion of the structure to simplify the inverse kinematics model of the spring lateral bending motion. The upper shaft passes the center of the moving platform through the combined bearing, and the lower shaft is fixed at the center of the lower platform. The upper and lower shafts are perpendicular to the two platforms. A global coordinate system OXYZ is defined at the center of the universal joint with identical axis directions to the local coordinate system O1X1Y1Z1. The distances from the global origin O to the local origins O1 and o are defined as d1 and d2. d1 is equal to the length of the lower shaft, and d2 is variable because the upper shaft is connected with the upper platform by the linear bearing, which slides along the upper shaft during the motion. The upper shaft is made of an insulating material to provide the electrical insulation between the upper and lower platforms.
2.2. Inverse Kinematics and Static Solution
3. Mechanism Insulation Analysis
4. Simulation Results and Discussion
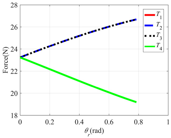
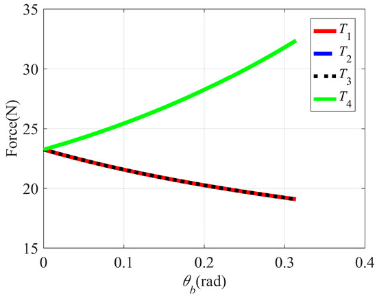
4.1. Kinematics Simulation
4.2. Electrical Insulation Simulation
5. Experiment Verifications
5.1. Kinematics Experiment
5.2. Electric Field Measurement
6. Conclusions
- The traditional CDPS mechanism is modified to actuate the joint remotely by four polypropylene cables. This mechanism can realize four DOFs (roll, pitch, yaw, and translation) motions with no additional motor in the mechanism.
- Two insulating plates are attached to the upper and lower platforms to integrate the electrical insulation design into the joint. The insulation performance has been evaluated to ensure the safe operation of the joint under 35 kV AC voltage.
Author Contributions
Funding
Conflicts of Interest
References
- Maruyaga, Y. Robotic Application for Live-line Maintenance. Ind. Robot 2000, 27, 357–365. [Google Scholar] [CrossRef]
- Park, J.; Lee, J.; Cho, B.; Oh, K. An Inspection Robot for Live-line Suspension Insulator Strings in 345-kV Power Lines. IEEE Trans. Power Deliv. 2012, 27, 632–639. [Google Scholar] [CrossRef]
- Fan, F.; WU, G.; Wang, M.; Cao, Q.; Yang, S. Robot Delay-Tolerant Sensor Network for Overhead Transmission Line Monitoring. Appl. Sci. 2018, 8, 847. [Google Scholar] [CrossRef]
- Park, J.-Y.; Cho, B.-H.; Byun, S.-H.; Lee, J.-K. Development of Cleaning Robot System for Live-line Suspension Insulator String. Int. J. Control Autom. Syst. 2009, 2, 211–220. [Google Scholar] [CrossRef]
- Qin, X.; Wu, G.; Lei, J.; Fan, F.; Ye, X. Detecting Inspection Objects of Power Line from Cable Inspection Robot LiDAR Data. Sensors 2018, 18, 1284. [Google Scholar] [CrossRef]
- Qin, X.; Wu, G.; Ye, X.; Huang, L.; Lei, J. A Novel Method to Reconstruct Overhead High-Voltage Power Lines Using Cable Inspection Robot LiDAR Data. Remote Sens. 2017, 9, 753. [Google Scholar] [CrossRef]
- Wakizako, H.; Shiraishi, K.; Murai, S. Range Sensor System of a Teleoperation Type Hot Line Maintenance Robot. Adv. Robot. 1997, 15, 468–473. [Google Scholar]
- Nakashima, M.; Yano, K.; Maruyama, Y.; Yakabe, H. The Hot Line Work Robot System “Phase II” and Its Human-robot Interface “MOS”. In Proceedings of the 1995 IEEE/RSJ International Conference on Intelligent Robots and Systems. Human Robot Interaction and Cooperative Robots, Pittsburgh, PA, USA, 5–9 August 1995; Volume 2, pp. 116–123. [Google Scholar]
- Maddahi, Y.; Zareinia, K.; Olson, T.; Mueller, W.; Sepehri, N. Live-line Maintenance Training using Robotics Technology. In Proceedings of the 2013 World Haptics Conference (WHC), Daejeon, Korea, 14–17 April 2013. [Google Scholar]
- Nori, F.; Jamone, L.; Metta, G.; Sandini, G. Accurate Control of a Human-like Tendon-driven Neck. In Proceedings of the 2007 7th IEEE-RAS International Conference on Humanoid Robots, Pittsburgh, PA, USA, 29 November–1 December 2007; pp. 371–378. [Google Scholar]
- Gao, B.; Song, H.; Zhao, J.; Guo, S.; Sun, L.; Tang, Y. Inverse Kinematics and Workspace Analysis of a Cable-driven Parallel Robot with a Spring Spine. Mech. Mach. Theory 2014, 76, 56–69. [Google Scholar] [CrossRef]
- Lim, W.; Yeo, S.; Yang, G. Optimization of Tension Distribution for Cable-driven Manipulators using Tension-level Index. IEEE/ASME Trans. Mechatron. 2014, 19, 676–683. [Google Scholar] [CrossRef]
- Boyraz, P.; Yigit, C.B. Design and Modelling of a Cable-driven Parallel-series Hybrid Variable Stiffness Joint Mechanism for Robotics. Mech. Sci. 2017, 8. [Google Scholar] [CrossRef]
- Mustafa, S.K.; Yang, G.; Yeo, S.H.; Lin, W.; Chen, I.-M. Self-calibration of a Biologically Inspired 7 DOF Cable-driven Robotic Arm. IEEE/ASME Trans. Mechatron. 2008, 13, 66–75. [Google Scholar] [CrossRef]
- Chen, Q.; Chen, W.; Yang, G.; Liu, R. An Integrated Two-level Self-calibration Method for a Cable-driven Humanoid Arm. IEEE Trans. Autom. Sci. Eng. 2013, 10, 380–391. [Google Scholar] [CrossRef]
- Piao, J.; Kim, E.S.; Choi, H.; Moon, C.B.; Choi, E.; Park, J.O.; Kim, C.S. Indirect Force Control of a Cable-Driven Parallel Robot: Tension Estimation using Artificial Neural Network trained by Force Sensor Measurements. Sensors 2019, 19, 2520. [Google Scholar] [CrossRef]
- Qian, S.; Bao, K.; Zi, B.; Wang, N. Kinematic Calibration of a Cable-Driven Parallel Robot for 3D Printing. Sensors 2018, 18, 2898. [Google Scholar] [CrossRef]
- Caverly, R.J.; Forbes, J.R. Flexible Cable-driven Parallel Manipulator Control: Maintaining Positive Cable Tensions. IEEE Trans. Control Syst. Technol. 2018, 26, 1874–1883. [Google Scholar] [CrossRef]
- Boschetti, G.; Carbone, G.; Passarini, C. Cable Failure Operation Strategy for a Rehabilitation Cable-Driven Robot. Robotics 2019, 8, 17. [Google Scholar] [CrossRef]
- Boschetti, G.; Trevisani, A. Cable Robot Performance Evaluation by Wrench Exertion Capability. Robotics 2018, 7, 15. [Google Scholar] [CrossRef]
- Boschetti, G.; Passarini, C.; Trevisani, A. A Recovery Strategy for Cable Driven Robots in case of Cable Failure. Int. J. Mech. Control 2017, 18, 41. [Google Scholar]
- Yuan, H.; You, X.; Zhang, Y.; Zhang, W.; Xu, W. A Novel Calibration Algorithm for Cable-Driven Parallel Robots with Application to Rehabilitation. Appl. Sci. 2019, 9, 2182. [Google Scholar] [CrossRef]
- Tang, J.; Zhang, Y.; Huang, F.; Li, J.; Chen, Z.; Song, W.; Zhu, S.; Gu, J. Design and Kinematic Control of the Cable-Driven Hyper-Redundant Manipulator for Potential Underwater Applications. Appl. Sci. 2019, 9, 1142. [Google Scholar] [CrossRef]
- Visentin, F.; Mishra, A.K.; Naselli, G.A.; Mazzolai, B. Simplified Sensing and Control of a Plant-Inspired Cable Driven Manipulator. In Proceedings of the 2019 2nd IEEE International Conference on Soft Robotics (RoboSoft), Seoul, Korea, 14–18 April 2019; Volume 2, pp. 422–427. [Google Scholar]
- Wooten, M.B.; Walker, I.D. Vine-inspired continuum tendril robots and circumnutations. Robotics 2018, 7, 58. [Google Scholar] [CrossRef]
- Wooten, M.; Frazelle, C.; Walker, I.; Kapadia, A.; Lee, J. Exploration and Inspection with Vine-Inspired Continuum Robots. In Proceedings of the 2018 IEEE International Conference on Robotics and Automation (ICRA), Brisbane, Australia, 21–25 May 2018; pp. 5526–5533. [Google Scholar]
- Dottore, E.D.; Mondini, A.; Sadeghi, A.; Mattoli, V.; Mazzolai, B. Circumnutations as a penetration strategy in a plant-root-inspired robot. In Proceedings of the 2016 IEEE International Conference on Robotics and Automation (ICRA), Stockholm, Sweden, 16–21 May 2016; pp. 4722–4728. [Google Scholar]
- Beasley, M.D.R.; Pickles, J.H.; Gallet, G. Comparative Study of Three Methods for Computing Electric Fields. Proc. Inst. Electr. Eng. 1979, 126, 126–134. [Google Scholar] [CrossRef]
- Singer, H.; Steinbigler, H.; Weiss, P. A Charge Simulation Method for the Calculation of High Voltage Fields. IEEE Trans. Power App. Syst. 1974, PAS-93, 1660–1668. [Google Scholar] [CrossRef]
- Takuma, T.; Kawamoto, T.; Fujinami, H. Charge Simulation Method with Complex Fictitious Charges for Calculating Capacitive-resistive Fields. IEEE Trans. Power App. Syst. 1981, PAS-100, 4665–4672. [Google Scholar] [CrossRef]
- Yan, Y.; Liu, X.; Ren, C.; Li, J.; Li, H. Development of Live-working Robot for Power Transmission Lines. IOP Conf. Ser. Mater. Sci. Eng. 2017, 224, 012027. [Google Scholar] [CrossRef]

















© 2019 by the authors. Licensee MDPI, Basel, Switzerland. This article is an open access article distributed under the terms and conditions of the Creative Commons Attribution (CC BY) license (http://creativecommons.org/licenses/by/4.0/).
Share and Cite
He, J.; Xu, W.; Gao, B. Self-Insulating Joint Design for Live-Line Operation Based on the Cable-Driven Parallel-Series Mechanism. Appl. Sci. 2020, 10, 22. https://doi.org/10.3390/app10010022
He J, Xu W, Gao B. Self-Insulating Joint Design for Live-Line Operation Based on the Cable-Driven Parallel-Series Mechanism. Applied Sciences. 2020; 10(1):22. https://doi.org/10.3390/app10010022
Chicago/Turabian StyleHe, Jiahong, Weilun Xu, and Bingtuan Gao. 2020. "Self-Insulating Joint Design for Live-Line Operation Based on the Cable-Driven Parallel-Series Mechanism" Applied Sciences 10, no. 1: 22. https://doi.org/10.3390/app10010022
APA StyleHe, J., Xu, W., & Gao, B. (2020). Self-Insulating Joint Design for Live-Line Operation Based on the Cable-Driven Parallel-Series Mechanism. Applied Sciences, 10(1), 22. https://doi.org/10.3390/app10010022

