Abstract
In this study, we present a strategic change theoretical model and empirically validate it in the context of inter-governmental organizations. We followed a survey methodology approach and tested our model hypotheses using exploratory and confirmatory factor analysis. Traditional strategic management models were created primarily with the private sector in mind. Therefore, validation of the model constructs for their appropriateness to the present construct is essential, especially that these types of organizations, such as those of the United Nations agencies, face major challenges when it comes to change. We found significant re-groupings of items, leading to the necessity to reformulate the constructs, as the context of our study is significantly different. We found that institutional pressures have a significant influence on strategic change and were mediated by strategic formulation. We also found that strategic pressures did not have any influence on strategic intent. Our research theoretical model and results provide many insights to future research directions and inter-governmental organizational practitioners who are engaged in change management.
1. Introduction
1.1. Context of Study
Public institutions and agencies, ranging from the United Nations to municipal institutions, may be perceived to have few vulnerabilities, and are impervious to external pressures and threats (Giblin and Nowacki 2018). Inter-Governmental Organizations (IGOs) (including all types of non-profit organizations, government agencies and state-owned corporations) have to contend with their survival and sustainability and continuously manage challenges such as crisis management, budgeting constraints, downsizing and political pressures. Managers working in IGOs continue to be concerned and are challenged about highly relevant issues related to change and change management, such as organizational decline and performance (Peretz 2021). Moreover, with today’s globalization paradigm taking a new form, and global crises such as the COVID-19 pandemic and heightened environmental disasters, IGOs are facing a new set of challenges and obstacles affecting their missions, strategies, operations and reputation.
In order to demarcate the extent of the problem at hand, let us consider the United Nations, which, in 2017, was criticized for its lack of management best practices and bureaucracy, referencing their problematic performance in their business process efficiencies and effectiveness. This criticism is masked by its global politically driven inter-governmental dynamics, where performance and change management practices are not evident or even transparent (Andrews et al. 2006; Cuganesan et al. 2012). As a response, the UN general assembly in 2000 made the resolution to ensure that the organization and its agencies are provided on a timely and predictable basis with the resources it needs to carry out its mandates, and urged the Secretariat to make the best use of those resources, under such plans as resources mobilization initiatives. This triggered a major management reform movement, whereby results of reform efforts were required to be presented to the UN Assembly regularly. Subsequently, the reform presented the Secretariat with major challenges associated with member states’ interference with management, resulting in the serious consequence of potentially deteriorating their strategic management implementation abilities. The interactions between these internal and external pressures are still not well understood and guidance for stakeholders is lacking, with managers continuing to struggle with effective and efficient approaches towards handling the situation. Ever since, pressure for reform has been observed in all public sectors, where IGO governing bodies are increasingly urging their Secretariats to anticipate, engage and manage organizational transformation effectively, to address the continuously emerging global challenges and establish mechanisms to align themselves to the UN sustainable development goals. At present, strategic planning, development and implementation in public institutions are weakly addressed in IGOs’ strategic management theory and practice.
For this reason, it is vital for IGOs to establish a strategic management framework that is linked to ongoing performance and management processes. This relationship, in which strategizing is mainly aimed at defining and strengthening overall performance, is coupled with performance monitoring to improve the outcomes of adopted strategy processes. From this view of strategic management, a transformation from the traditional strategic planning view to a more integrated and multidimensional focus is necessary. In doing so, it would be possible to achieve strategic goals along various pathways of decision making—a central theme of coordinated, centralized strategic management challenges that remains unsolved today (Kools and George 2020).
1.2. Extant Work
Research on strategic management has tested different models over the past few decades. However, there are still many unknowns to our current understanding with regard to influential cause–effect relationships, especially in the IGO context. This lack of strategic management research has been observed by professionals to be a significant cause of the challenges that IGOs are facing today in their strategic planning process and its implementation (Elbanna et al. 2016).
The field of strategic management is based on the interest of researchers and practitioners to understand how some companies/firms sustain good performance while others do not (Bryson and George 2020). Traditional economic models of the firm were not able to explain this difference in performance behavior, and empirical evidence in strategic management was contrary to economic theory predictions (Zott 2003). The interest in sustainable performance gave rise to the industrial organization (IO) neo-classical models based on the structure–conduct–performance (SCP) approach, as elaborated by Saadatmand et al. (2018). The IO-centered models and frameworks are true to strategic management research tradition, which is based on competitive advantages where private organizations are focused on making profits for their shareholders. Therefore, strategic management in the IO context is more accurately specified as competitive strategy.
Saadatmand et al. (2018) elaborate on the evolution of IO-based strategic management theory and research. One of their key important findings is that, according to the resource-based-view (RBV) theory of the firm, the organizational performance depends on the resources and capabilities that they may have under their control (Barney 1986). However, these models and frameworks lack the following: (1) they are not suitable in environments where conditions change at a fast pace, (2) they are static, thereby limiting the organization’s abilities to adapt in time, (3) they largely ignore the external environment, (4) they assume that resources remain stable over time and (5) they are linear, making efforts to avoid uncertainty towards their strategic goals.
Institutional theory has been widely used to study strategic responses, such as retrenchment, persevering, innovating, and exit (DiMaggio and Powell 1983; Oliver 1991; Scott 1995). Modern institutional theory explains that when organizations are facing pressures from the external environment, they will employ equivalent practices to gain legitimacy in the field (Begkos et al. 2020). This results in an increasing “isomorphic” environment among organizations (DiMaggio and Powell 1983). Oliver (1991) identified different strategic responses resulting from institutional pressures, and where organizational behavior varies from passive conformity to active resistance in response to institutional pressures.
Moreover, Greenwood et al. (2011) has expanded his work concerning the rapidly increasing institutional pressures research to examine how organizations respond to institutional situations in which organizations are subjected to a variety of types of demands appearing from different institutional tactics. While the existing work has focused on how shifts in the presence of numerous (typically two) types of tactics influence organizations across fields, there have been far fewer systematic considerations dedicated to how particular organizations experience and respond to the complexities of those tactics.
As soon as information technology solidified its ubiquitous position globally in the mid-1990s, and with its exponential increase in its innovations and applications from thereon, researchers and practitioners shifted their attention to more dynamic approaches to strategic management (Iansiti and Clark 1994)—ones that will allow organizations to adapt more efficiently and effectively with the increasing pace of environmental conditions. Out of the limitation of the IO, and as an extension to the RBV, the new dynamics capabilities paradigm was born, with the intent to resolve the four aforementioned limitations of the IO models and frameworks (Ghemawat and Cassiman 2007). Primarily, dynamic capabilities refer to the organization’s capacity to adapt to new environmental conditions efficiently and effectively via integration and reconfiguration (Teece et al. 1997).
The subject of strategic management and change management in IGOs has received little attention in the public administration, strategy and change management literature (Giblin and Nowacki 2018; Peretz 2021). In the past decade, Strategic Management (SM) has become central to the agenda of public institutions and governmental agencies. Organizational reform has taken center stage as a standard practice to apply SM (Safi and Mahmood 2022). Strategic planning, which was initially used in the private sector since the 1950s, gained the attention of the public sector in the 1980s, where research in public management emerged, emphasizing its need via public institutions (David et al. 2007). However, little is known about the application of SM in public institutions (Andrews et al. 2006; Olivier and Schwella 2018; Höglund et al. 2018; Rosenberg Hansen and Ferlie 2016; Peretz 2021).
It is important to differentiate between strategic planning and strategic management (Bryson et al. 2018). Strategic planning is viewed as an approach to the development of a strategy which is typically long term (Bryson 2018; Bryson et al. 2017; Golsorkhi et al. 2010). Strategic management, however, entails planning as a small part of its scope. While strategic planning deals primarily with formulation of the strategy, strategic management includes formulation, implementation and evaluation (David and Forest 2017). In the public and IGO sector, strategic planning and strategic management are seen to be used interchangeably. Safi and Mahmood (2022) provide comparative details and definitions of strategic planning and strategic management as perceived by different researchers. In the present study, we define strategic management along the same lines as Rowe et al. (1982) as follows: SM in the IGO sector is the implementation of strategic thinking for the efficient adaptation to change induced by external institutional pressures, strategic planning and formulation, and change management.
Modern approaches to dynamic models and frameworks applied to strategic management include evolutional economics (Winter and Nelson 1982; Saviotti and Metcalfe 2018), the delta framework (Hax and Wilde 2002), game theory (Ghemawat 1997), Blue Ocean (Madsen and Slåtten 2019; Unsal and Altindag 2021), Chaos Theory (Galacgac and Singh 2016; Unsal and Altindag 2021) and Models of Impact with social dimension integrated (Manos et al. 2022; Cuganesan et al. 2012; Drucker 1970). However, these models are not suitable for our subject of study because they were developed to better represent the needs of today’s fast-paced private organizations with highly uncertain environments, compared to IGOs, which develop their strategies based on a three- or five-year cycle, are static and linear in the way they do business and have relatively stable budgets. Therefore, a review of these modern approaches to strategic management is outside the scope of this study; however, we will briefly introduce them in order to provide a comparative appreciation to the complete subject matter.
Evolutionary approaches to strategic management are not new and include a wide range of views, bringing analogies from biological systems; namely, the concepts of variation, inheritance and selection (Winter and Nelson 1982; Saviotti and Metcalfe 2018). The Delta Framework, proposed by Hax and Wilde (2002) integrates Porter’s industry analysis with the RBV to position the firm as complementary (compared to competing) and the inclusion of the customer at the center of strategy formulation. Game theory revolves around understanding decision makers’ actions and competitors’ reactions (Ghemawat 1997). The blue ocean strategy management framework entails the creation of a new marketplace with the aim of making a radical difference (Madsen and Slåtten 2019). Chaos theory is an interdisciplinary approach to strategic management, shifting emphasis to diverse strategic-related events, collecting data on a continuous basis and running an analytical framework to detect changes in the environment (Galacgac and Singh 2016). The ‘models of impact’ is a novel strategy model that was recently developed to address the global expectation of the private organization to be socially responsible, with attempts to balance revenues and impact on society (Manos et al. 2022).
1.3. IGO Strategic Management Challenges
With increasing demands for more services provision, IGOs have been mandated by their member states to pay consistent attention to planning, developing and dynamically adjusting their strategic plan, which consequently entails the effective management of change. This is especially true when member states require the IGOs to reposition their strategic model to entail an increasing level of business/commercial activities as a response to the changes in the external environment and reduced funding.
The current strategic planning framework derived and applied to the private sector may not be suitable for the public sector, as it might neither be applicable, nor be able to meet the expectations, of IGO agencies. Moreover, Safi and Mahmood (2022) reported that many public strategic management scholars and practitioners agree that it is very difficult to apply strategic management principles from the private sector to the public sector. Using a number of studies, they further explain and support that this is due to the large gap that exists between the private sector’s goals of profit and competitive advantages, and the IGO’s purpose of serving its constituency.
Faced with these old and new strategic management challenges, IGOs today have to be strategy oriented, dealing primarily with strategic management (which entails intent, planning and formulation) external institutional pressures (primarily political factors) and change management. In doing so, they would develop the capabilities and maturity to establish a strong yet agile environment, setting the cornerstone for adaptive performance and sustainable change management.
1.4. Motivation and Purpose
We highlight that many perceive public institutions in general, such as the UN, to be well protected and not particularly vulnerable to internal or external pressures and threats, despite the fast changing global geopolitical, environmental and technological conditions. However, managers, such as section chiefs and bureau directors, in those institutions continue to struggle with their role of managing change, organizational decline and performance. The body of research in the area is lacking guidance to those managers as most of the relevant strategic management models derived from the private sector and scholars and practitioners alike agree that they have limited applicability when it comes to meeting the expectations and context of public institutions. Consequently, the elements of most strategic models including planning, development and implementation are not well suited for public institutions (IGOs) (Giblin and Nowacki 2018; Peretz 2021; Safi and Mahmood 2022). Accordingly, in this study, we aim to achieve two primary goals, namely to clarify the current situation specifying external and internal drivers of strategic management in public institutions, and to underscore how the present situation can be improved. We achieve those goals by empirically investigating strategic management factors and their inter-relationships in the context of IGOs.
1.5. Structure of the Paper
In this paper, we set out to investigate empirically strategic management in the context of inter-governmental organizations, a member of the public administration organizations family. In our endeavor to understand the context and due to the lack of empirical research in the area, we adopted relevant concepts developed for the private sector, validated them in our context and refined them into an IGO strategic management conceptual model. Our journey towards the final model included a literature review of the body of knowledge in the area of strategic management, as discussed in Section 2. In that section, we revised theories of interest and cross examined the good criteria for strategic management proposed by Courtney (2013) against the context of the IGO, in order to get a better understanding of how the private and public sectors compare. In Section 3, we elaborated on the theoretical background constituting the foundations of our study hypotheses and formulated four research questions, identifying the factors for IGO strategic management, their inter-relationships, cause–effects and mediation. In the following section (Section 4), we presented our methodology describing our sample and procedure and presented the questionnaire used for our study. Section 5 focused on the results and analysis in the same strategic sequence as the research questions, performing an exploratory factor analysis to identify the factors, conducting a confirmatory factor analysis to explore inter-relationships, propose a conceptual model and run a cause–effect analysis via a structured equation modeling approach, and testing for mediation. In the last section (Section 6), we engaged in discussion and conclusions presenting our findings, implication to theory and practice, limitations and recommendations for future research. The references are provided at the end.
2. Literature Review
In Section 1.2, we elaborated on the extant work, briefly discussing the classical and modern approaches to strategic management. Classical perspectives were developed when the pace of external and environmental conditions was slow. Modern approaches were an evolution of the strategic management theories as an attempt to adapt to the significant increase in the changing pace of organizations’ environments (Brown 2010). However, considering IGOs as the public organization of our study, we find that classical models for their strategic management provide a better fit for analysis than the modern approaches. This is due to the following: (1) Today, IGOs still perform at a relatively slower pace than the private sector and are still closer in operations to IOs. Therefore, they are not suitable in environments where conditions change at a fast pace (as they still plan on a triennium basis with a fixed static strategic management plan), (2) due to the nature of their business, IGOs remain static, with limited abilities to adapt in time (and for all intents and purposes, they do not need to), (3) IGOs continue to ignore the external environment (and one of the issues studied herein as institutional pressures), (4) due to their source of funding coming from voluntary contributions of member states, IGOs continue to depend on those contributions remaining relatively stable over time, despite today’s geopolitical challenges, and (5) IGOs persist on being linear by continuing to make every effort to avoid uncertainty in their strategy management approach as a mitigation and negotiation tactic towards the council. Based on the above, we used the classical models of private firms to explore and adapt their application to the IGO context. Moreover, new models largely ignore external variables such as institutional pressures. The following literature review therefore focuses on those IO strategy theories.
Höglund et al. (2018) identifies a small but growing research field that, for the past decade, has studied strategy work in the public sector context and the possible consequences of strategic management. Of this group of studies, some have investigated the application of SM (Andrews and Van de Walle 2013; Boyne and Walker 2010; Bryson 2018; Bryson et al. 2010; Ferlie and Ongaro 2015; George 2017; Höglund and Svärdsten 2018); however, only a few studied the use of tools for the practical application of SM to realize strategic intent (Schmidt et al. 2017; Elbanna et al. 2016; George and Desmidt 2018; Höglund et al. 2018, 2021; Johnsen 2016; Lane 2008; Poister 2010). Even fewer studies were performed to determine which tools are used in strategic making (George et al. 2016, 2017, 2018), with none, to our knowledge, in the public or IGO context (Höglund et al. 2018).
As mentioned earlier, IGOs are faced with significant external governmental pressures that influence their strategic management and change processes. Considering institutional pressures, organizations’ strategies and change management may vary depending on the nature of the conflict and the motivation of organizational groups to see one of the competing demands succeed (Pache and Santos 2010). Oliver (1991) highlights that strategic choices vary from active resistance (i.e., manipulation of rules and expectations) to a passive or neutral response (i.e., to acquiesce and fully conform to institutional pressure and expectation). Goodstein (1994) proposed that strategic choices for conformity or resistance are made to cope with institutional pressures. Boon et al.’s (2009) study on strategic human resource management demonstrates the presence of different institutional pressures. However, this does not necessarily mean that organizations see that institutional environment as restrictive. Organizations can create more leeway in choosing a human resources system themselves (Boon et al. 2009). Finding the correct degree of adaptation to institutional mechanisms can be a source of organizational success, even if it operates in a highly institutionalized context (Oliver 1997). Early institutional theory often overlooked this role of active agency and resistance in organization–environment relations (Oliver 1991), which reintroduced agency, interests and power into institutional analyses of organizations (Garud et al. 2007).
New institutionalism, which is distinguished by Meyer and Rowan’s (1977) classic paper and followed closely by DiMaggio and Powell’s (1983) study, refers to a view of institutions as collective cognitions that acquire a degree of social concreteness and compel organizational behavior. While old institutionalism focused its attention on processes that occur inside the individual organization, new institutionalism focused on interactions among organizations, a level of analysis common in the organizational field (Meyer and Rowan 1977; Tohidfam and Touserkani 2021; Naveed et al. 2021). The organizational field refers to a recognized institutional network: regulatory agencies, key suppliers, resource and product consumers and other organizations that produce similar services and products (DiMaggio and Powell 1983). Today, new institutionalism has been profoundly impacted by both globalization changing patterns and governance movements, where countries and IGOs find themselves facing irresistible and novel pressures. With significant reforms, political changes and widespread IGOs activities, mechanisms for governance, strategic management and change management are timely (Hossain 2022).
Institutional theory advocates that organizations active in social networks perceive institutional pressures to be significant for achieving social legitimacy and the acquisition of rare resources, essential for acceptable organizational performance (Zucker 1987; Scott 1995), sustainability (Teo et al. 2003; Oliver 1997), and strategic management. Such pressures can be in the form of coercive, normative and mimetic pressures. According to DiMaggio and Powell (1983), coercive isomorphism is a result of political influences and the problem of recognizing legitimacy; mimetic isomorphism is a result of responses to uncertainty; and normative isomorphism is associated with professionalization and trade association. As such, these institutional pressures impact strategic management processes of IGOs.
In the organization strategy domain, strategic planning has long been adopted to revitalize privately owned corporations and government-owned public agencies. With the increase in global political instability, economic uncertainty and the accelerated pace of digital innovations and social change, there seems to be some disillusionment with strategic management efforts that cannot adapt to the fast-paced environment, leading to increased skepticism about its overall effects. Some IGOs make significant efforts to find the best mechanism to optimize their strategic planning and development processes, with the goal of maintaining their organizational effectiveness and relevance. However, due to their inherent complexity, strategic planning efforts and processes have proven to be difficult to implement and pointless, with no/weak measured outcomes.
The primary culprits were unclear expectations, unrealistic goals, ill-defined action steps that were not explicit and a lack of stakeholder groups engagement. Moreover, strategic goals and strategic choices are often mixed with member states’ agendas, economic interests and program priorities, which further blur the organization’s vision and mission.
Looking at how strategy is addressed in the literature, we find a wide range of its definition and treatment. Reviewing this is outside the scope of our research; however, focusing on our context, we map, in Table 1, our analysis of IGO strategic processing elements to Courtney’s (2013) criteria. Table 1 shows thirteen criteria identified by Courtney (2013), which are necessary to consider in the strategic planning process. However, IGOs, in general, do not pay attention to all of them. For example, IGO Secretariat, Development and the Joint Inspection Unit (JIU) address only criteria 6, 7 and 4 (the first column from left in Table 1), and in many cases only address them partially.
Table 1.
Strategic planning process: Mapping between good strategy criteria and IGO processes.
In general, we observe in Table 1 that IGOs in practice do not follow Courtney’s (2013) criteria and have the tendency to manage their strategy in different notions that consist of more than one of the criteria. It is difficult to find out the reasons for that, and if those managers are aware of the strategic management process elements, but it is clear that doing so dilutes the original intent of the fundamental theories and makes it difficult (if not impossible) to measure the criteria—an exercise that is necessary for strategic planning and organizational performance.
In their article, Bailey et al. (2000) captured the major strategic development factors in an integrated, multidimensional conceptual model that can be used to measure strategic development styles. Based on previous strategic development research, and in particularly that of Hart (1992), they produced the following six discrete factors for organizational strategy development: (1) command (Bourgeois and Brodwin 1984), (2) planning (Ansoff 1965), (3) incrementalism (Lindblom 1959), (4) political (Pfeffer and Salancik 1978), (5) cultural (Johnson 1987) and (6) enforced choice (Hannan and Freeman 1989). Bailey et al.’s (2000) multidimensional conceptual model is in line with Hart and Banbury’s (1994) criteria which, in general, elaborate on the factors of strategy development, in that they should represents elements (1) where vertical interactions between organizational managers are essential, (2) such that these managerial interactions represent capacities and abilities of the organization and (3) exemplify those interactions as routines reflecting the nature of the organization’s strategy-making philosophy and process.
It is noteworthy in this line of research to point out that there is evidence on the diversity of strategic management which reveals typological commonalities with calls for the integration of the different approaches. Consequently, we draw attention to the strong link between Bailey et al.’s (2000) model and DiMaggio and Powell’s (1983) institutional pressure framework. As mentioned earlier, Bailey et al.’s (2000) command, political and enforced choice elements can be considered as representative of coercive pressures. Coercive pressures, in turn, mainly entail the capacity to establish rules and enforce conformity via the manipulation of rewards or sanctions (Scott 1995). From a cultural perspective, it is equivalent to mimetic/cognitive pressures, whereby individuals take compliance for granted due to common social belief structures (Scott 1995). The original target of Bailey et al.’s (2000) model was organizations in general, without any specific considerations to the public sector or INGOs. The model is distinguished from others in that it incorporates various aspects of strategy planning, development, implementation and incremental and formal planning modes. These elements found in Bailey et al.’s (2000) model meet most of the current IGO strategic planning processes needs and are the reason for its adoption herein.
3. Theoretical Background and Research Question
Diverse theoretical and empirical research studies related to strategic management concur that the strategy development process is multidimensional in nature (Fredrickson and Iaquinto 1989; Derkinderen and Crum 1988; Eisenhardt and Zbaracki 1992; Bailey and Johnson 1996). Considering the IGO context of our study, we find the research from Hart (1992) and Bailey et al. (2000) to be the most appropriate and potentially representative, especially since they both focus and demonstrate the multidimensional nature of strategic management. Hart (1992), through his analysis of previous research on the strategy making process, identified five dimensions, which were command, symbolic, rational, transactional and generative; while Bailey et al. (2000) elaborated on strategic management as consisting of the following components: strategic planning, strategic development and strategic implementation, including a model for institutional pressures.
Therefore, based on Hart (1992), Bailey et al. (2000) and evidence from Fredrickson and Iaquinto (1989); Derkinderen and Crum (1988); Eisenhardt and Zbaracki (1992) and Bailey and Johnson (1996), we adopt and adapt to the context of our study, the six dimensions, namely command, planning, incremental, political, organizational and enforced choice. We elaborate on these dimensions below as they are reflected in the IGO context.
The command dimension: this dimension represents the Secretary General (S.G.) and IGO Governing Body (equivalent to the Chief Executive Office in the private sector. This represents the degree of control or power exercised). In the IGO sector, top executives can either shape and foster an entrepreneurial environment where initiative and risk-taking behavior is nurtured and rewarded (Birkinshaw et al. 1998; Kanter 1985; Pinchott 1985); or create strong leadership conditions that others can mimic via ambidexterity, decisive action Dess et al. (1997) and unilateral decision making, thereby improving responsiveness (Eisenhardt 1989). In an IGO context, however, the latter executive style may prove to be impossible to attain, since the governing body (for example, the council with representatives from member states) has an equal, if not more powerful influence on strategic direction adopted by the Secretariat.
The planning dimension: The question concerning strategic planning influence and value to the organization’s performance continues to be debated, with inconclusive evidence ranging from tenuous to weak (Boyd 1991; Capon et al. 1994; Miller and Cardinal 1994; George et al. 2019; Spano 2009). Brews and Hunt (1999) found that the planning theory provides conflicting advice. Some studies found that formal strategic planning and organizational performance management are associated in dynamic environments (Hart and Banbury 1994; Miller and Cardinal 1994; Miller and Friesen 1983), while other research revealed that strategic planning performs better in environments that are stable and predictable (Fredrickson and Iaquinto 1989; Mintzberg 1973). In a comparative analysis between stable and unstable environments, Brews and Hunt (1999) observed that unstable environments strategic planning is managed under increased uncertainty and therefore requires less formalized structures that will allow managers to flexibly and organically adapt to the changing internal and external conditions.
The incremental dimension: The incrementalism approach (another approach to strategic planning) to strategy development and management is based on general strategic goals (Bailey et al. 2000). Incrementalism, compared to formal planning, is more flexible and focuses primarily on the various aspects of strategy implementation (Grant 1995; Menon et al. 1999; Nutt 1993). This approach (incrementalism) suggests that the nature of planning should be flexible and that strategic plans are fluid and change over time. This type of planning management environment promotes the intensity of the entrepreneurial spirit (Barringer and Bluedorn 1999). Moreover, incrementalism encourages experimentation and is more appropriate for dynamic environments (Brews and Hunt 1999).
The political dimension: The political dimension is central to the IGO context, where the board of governors consisting of representative of member states and the Secretariat, which is responsible for the strategic management and operations of the organization, engage in a continuous play of power dynamics and shifting alliances. This dimension pertains to interaction dynamics and negotiations between the council members and managers in the Secretariat constituting the formation of coalitions pursuing shared interests, agendas and objectives. Political power dynamics, as part of this dimension, suggest that the organizational strategy and its strategic management framework will reflect the interests of the dominant political group, as rightfully expressed by Bailey et al. (2000), and that the dominant political party is one that holds resources which the organization depends on.
Organizational culture: Organizational culture can be defined as shared values and beliefs regarding the understanding of organizational functioning (Deshpande and Webster 1989). Studies have shown that culture and entrepreneurial orientation are associated and are mutually reinforcing (Covin and Slevin 1991; Cornwall and Perlman 1992). Moreover, Covin and Slevin (1991) found that entrepreneurial posture influences the way organizational culture develops.
When entrepreneurship is lacking as part of the organizational strategic goals, the culture does not support risk taking, opportunity seeking and innovation, whereas a strong cultural commitment may increase organizational members’ willingness to buy into the organizational strategic management processes, increase the level of consensus, and strengthen managers’ decision making (Menon et al. 1999; Iaquinto and Fredrickson 1997, Cornwall and Perlman 1992).
The enforced choice dimension: Internally originating enforced structures, such as direct development and imposition of strategy direction, results in the opposition of strategic plan and implementation creating barriers in the internal environment of the organization, limiting its operations and strategic choices. The external environment can also impose strategic constraints. These consist of coercive practices of regulatory organizations, competitive industrial sectors and global economic and normative pressures, which are considered as obstacles and barriers to growth (Bailey et al. 2000). Based on the latter six dimensions, we empirically study their validity in the IGO context. Therefore, the following research questions are posited:
- Research Question 1 (RQ1):
- What are the factors that influence strategic management in IGOs?
- Research Question 2 (RQ2):
- What relationships exist between the strategic management factors.
- Research Question 3 (RQ3):
- What conceptual model can be derived from the resulting relationships.
- Research Question 4 (RQ4):
- Are there any strategic formulation mediation effects on the relationship between strategic intent and strategic change?
4. Methodology
4.1. Sample and Procedure
A survey methodology approach was followed using the questionnaire presented in Table 2 below. The online survey tool utilized in this study was ‘Qualtrics’, which enabled us to ensure confidential and quick distribution to participants via a link and allowed us to manage the surveys in a cost-effective and time-efficient manner. The sample data entailed completed surveys from 117 participants from different IGOs in the United Nations system. The questionnaire was based on validated survey items and adapted to meet the context of IGOs.
Table 2.
Survey used in this study.
The survey started with a short opening statement explaining the research setup, including its purpose, survey guidelines, confidentiality and ethics, their rights to ask any questions of concern, the participant’s right to withdraw at any time and an offer to leave an email address if interested in seeing the results when available. Then, the survey continued to capture demographic information, followed by the validated and adapted questions from the sources mentioned above.
The process began with an email to each chief information officer (CIO) or head of information technology department of ten IGOs, encouraging them to participate in the study. Seven responded that they would like to participate and that they were willing to help share the surveys within their organization. Three gently declined to participate due to their internal legal concerns. After that, the link to the surveys was shared, and up to three reminders were sent (one week apart) to follow up on those who had not yet completed the survey.
Due to sensitivities in relation to the context of the IGOs and participants, such as expected concerns related to reputation risk to their employer, anonymity was guaranteed. The time trend extrapolation test suggested by Armstrong and Overton (1977) was used to examine non-response bias, and the results suggest that non-response bias is unlikely to be a problem. After data cleaning, a sample of 108 usable records was retained for analysis.
Demographic analysis shows that participants were relatively well distributed across gender, at a ratio of 2 males to 1 female. Around 63% of participants had less than five years of IGO experience, 14% of them had more than five years but less than ten years of IGO experience and more than 23% of participants had more than a decade of IGO experience. All participants had at least a university degree.
4.2. Questionnaire
The survey constructs and items for the strategic planning and development analysis in our study were adapted from Bailey et al. (2000). A 7-point Likert scale ranging from ‘Strongly Agree’ (1) to ‘Strongly Disagree’ (7) was utilized for all items. The six constructs, planning, incrementalism, cultural, political, enforced choice and command, including 24 items, are presented in Table 2.
5. Results and Analysis
Our goal in this study is logically stated in our four research questions. At this point, it is worth recalling our goals, which are to empirically study Bailey et al.’s (2000) constructs and test their validity for the IGO context. Moreover, through our analysis, we would investigate the relationships between the constructs/factors and aim to optimize the measurement instrument. Finally, using the validation results, we would derive a causal relationship that can help explain strategic management planning and development for IGOs.
To that effect, the analytical strategy used on the data collected and to meet our research questions entailed performing an exploratory factor analysis (EFA) of the constructs with factor reduction in mind (RQ1). We then performed a confirmatory factor analysis (CFA) to identify and confirm relationships with additional optimization (RQ2). Finally, we used the last set of data to perform a causal analysis of our proposed research model using structural equation modeling (RQ3). We conducted one final analysis to test any mediation effects (RQ4).
Our analysis (performed using SPSS 22, AMOS) was based on Anderson and Gerbing’s (1988) proposed two-step approach to theory testing and development entailing exploratory factor analysis (EFA) followed by a confirmatory factor analysis (CFA). Firstly, the EFA was used to estimate the measurement model, and secondly, the CFA was performed to test the relationships between the latent variables. It is common in such type of empirical studies to use the maximum likelihood estimation method during both the EFA and CFA steps. Conducting the EFA allows us to better understand the grouping of the latent variable, represented by the items/questions; how these groups (referred as factors) relate to each other (evaluated via the CFA); and what these groups reflect from a contextual perspective. Since in this study, we are seeking to establish a causal structural model to help us better understand the strategic phenomena in the IGO context, our analysis in the CFA assessment included dimensionality, convergent validity, construct reliability and discriminant validity.
The CFAs results were analyzed to assess the model fit by considering goodness-of-fit indices, namely NFI, CFI, RMSEA, SRMR and Chi-square/degree of freedom. The Cronbach’s alpha coefficient of internal consistency was used to test for the reliability of aggregated scales, which was calculated to be acceptable (>0.70) at 0.79.
5.1. Sample and Procedure
Our data set was first tested to determine if it is appropriate for the EFA. This was achieved using the Bartlett test of Sphericity (BTS) and the Kaiser–Meyer–Olkin (KMO). Results from both tests (BTS: Chi-square = 1246.306; DF = 276; sig = 0.000, and KMO = 0.818) confirm that the data are appropriate to use for exploratory factor analysis.
5.2. Exploratory Factor Analysis, EFA
The EFA process is iterative, with the goal of finding the optimum number of statistically acceptable factors. At first, we relied on theory to determine the number of factors, and in our case, seven factors were specified for analysis, representing the constructs described in the theoretical section. The seven-factor solution was specified using the Promax rotation with Kaiser Normalization, resulting in 70.928% of the variance that could be explained. The rotated factor solution was interpreted using both structure and pattern matrices. While the structure matrix represents a factor-loading matrix with the overall variance in a measured variable explained by a factor, the pattern matrix contains coefficients, which just represent the unique contributions of each factor. Subsequently, these matrices help us progress through the next iterations to optimize the EFA final solution.
Factors with a loading greater than 0.5 were retained for further analysis. Our factor reduction iterations resulted in removing items SM4, SM5, SM8, SM10, SM12, SM14, SM15, SM16, SM20 and SM21 due to either low factor loading or cross-loadings (loading difference between factors is less than 0.2). The resulting solution included an optimized four-factor solution shown in Table 3. For the final solution, the KMO measure is above the accepted level with the value of 0.797 and Bartlett’s Test of Sphericity (Chi-square = 671.288; DF = 91; sig = 0.000). Additionally, all items have factor loadings well above 5.0. Therefore, all identified items used in this EFA were retained for CFA analysis.
Table 3.
EFA results.
The output from the EFA resulted in not only the reduction of the items by approximately half, but the regrouping of the items in the questionnaire—an expected outcome due to the model’s application to a context different from its original intended design. Consequently, we revisited the items for further interpretation of our context. After placing the items into more appropriate groupings, we identified the following four factors/constructs that are more suitable to the IGO context: institutional pressures (IP), strategic intent (SI), strategic formulation (SF) and change (C), as shown in Table 4.
Table 4.
Definition of new constructs.
The four factors identified above need to be reinterpreted in the IGO context. Institutional pressures in the IGOs context are of special interest and are not to be taken lightly. This is due to the fact that two bodies of equal but different powers govern over the IGO. One includes the counsel representing the member states/governments and funding, while the other entails the executive committee (Secretariat) responsible for running the business.
Fulfilling critical positions, especially in the case of seats on central governing bodies such as the Human Rights Council and the Security Council, is a case in point. The institutional theory advocates that perception of strong pressures (such as coercive, normative and mimetic pressures) to conform is an act of acquiring social legitimacy and rare resources. Going against those pressures may jeopardize organizational performance (DiMaggio and Powell 1983; Scott 1995) and sustainability (Teo et al. 2003; Oliver 1997). Oliver (1997), combining institutional and strategic responses, elaborates that institutional context encompasses decision-makers’ norms and values (1) at the individual level, (2) organizational culture and politics at the intra-organization level and (3) regulatory pressures and industry-wide norms at the inter-organization level (Greenwood et al. 2011; Nakrošis et al. 2020).
In the same vein, institutional pressures in this study can be considered at the intra-organizational and inter-organizational levels. In consideration of the internal institutional pressures from the council and senior management, the external institutional pressures from member States and other IGOs both negatively influence the Secretariat’s overall strategic intent, formulation, and program implementation at all levels. In this study, we adopt Bailey’s model and institutional pressures to examine these effects and test whether they are significant enough to influence the strategic planning process, including strategic intent and formulation, in the IGO context.
Strategic intent can be understood as the philosophical base of the strategic management process. It points to the purpose that an organization endeavors to achieve (Hamel and Prahalad 1989). It is a statement that provides a perspective of the means which will lead the organization to reach the vision in the long run. Institutional pressures are recognized that make organizations obligate external parties’ regulation and requirements to gain legitimacy in the organization field. In addition, Oliver (1991) argues that the new institutional theory has neglected the role of organizational self-interests in organizational responses to institutional pressures. Organizational self-interests as endogenous factors would impact organization strategy intent.
Strategic formulation, in this study, is based on strategic intent, which emphasizes the development of a performing environmental and organization appraisal process, the consideration of alternative strategies, the undertaking of strategic analysis and the preparation of a strategic plan. Since strategy formulation is the consequence of strategic intent, it would be negatively associated with institutional pressures as well.
Moran and Brightman (2001) define change management as “the process of continually renewing an organization’s direction, structure, and capabilities to serve the ever-changing needs of external and internal customers.”, which by association extends to the evolving nature of the strategic management process. Strategic change comprises strategic evaluation and control, performance evaluation, exercising control and recreating strategies. In the strategic planning process, once strategic formulation is set up and strategy is implemented, it subsequently leads to strategic control and evaluation. In Bailey et al.’s (2000) model, the element of incremental dimension is highly associated with the concept of strategic change. It is expected that strategic intent and formulation will impact strategic change. Since strategic intent is usually the ultimate goal of an organization, it should be more stable and would not change easily as a part of the strategic planning phase, but it will positively influence strategic change.
5.3. Descriptive Statistics and Correlation Analysis of Final Model Items
Recall from the CFA results analysis that the items SM8, SM21 and SM12 from the cultural and enforced choice constructs were dropped, and the SEM was conducted on the final 13 items presented in Table 5. The final four factors extracted from the EFA now representing the IGO context were examined in Table 5 and Table 6 for their descriptive statistics and their correlations and Cronbach Alpha, respectively. Table 5 presents the means, standard deviations (S.D.), skewness and kurtosis. The results indicate that responses, in general, were more inclined towards agreement (towards one), with questions on strategic intent concerning incrementalism and culture even closer to strongly agree. Moreover, the average of the mean for SF indicates inclination towards disagreement, suggesting fewer managers agree on strategic formulation issues such as strategy being made explicit, procedures for strategic objective made precise and the use of systematic analysis for strategic decisions. Respondents were on the average neutral in relation to IP with the average of its mean equal to 3.44. This may suggest that some organizations experience stronger IPs than others, and is a clear indication of a future research direction.
Table 5.
Descriptive statistics of final items.
Table 6.
Correlation matrix and Cronbach Alpha of final model items.
Table 6 presents the correlation between the final model items and the factor’s Cronbach Alpha. The correlation matrix confirms the results of the SEM, as the coefficients of items are stronger and significant in relation to items in their own factor. The Cronbach Alpha for all factors is strong, with values greater than the acceptable threshold of 0.7.
This study also confirms that S.F. has a partial mediation effect on S.I. and S.C. The results show that the mediated model (S.I. → S.F. → S.C.) is much better than the direct model (S.I. → SF) in the model fit by comparing the indices. The mediation model (p < 0.01, CFI = 0.997, RMSEA = 0.046) is more significant than the direct model.
Therefore, there is a partial mediation effect, and H6 is supported.
5.4. Confirmatory Factor Analysis, CFA
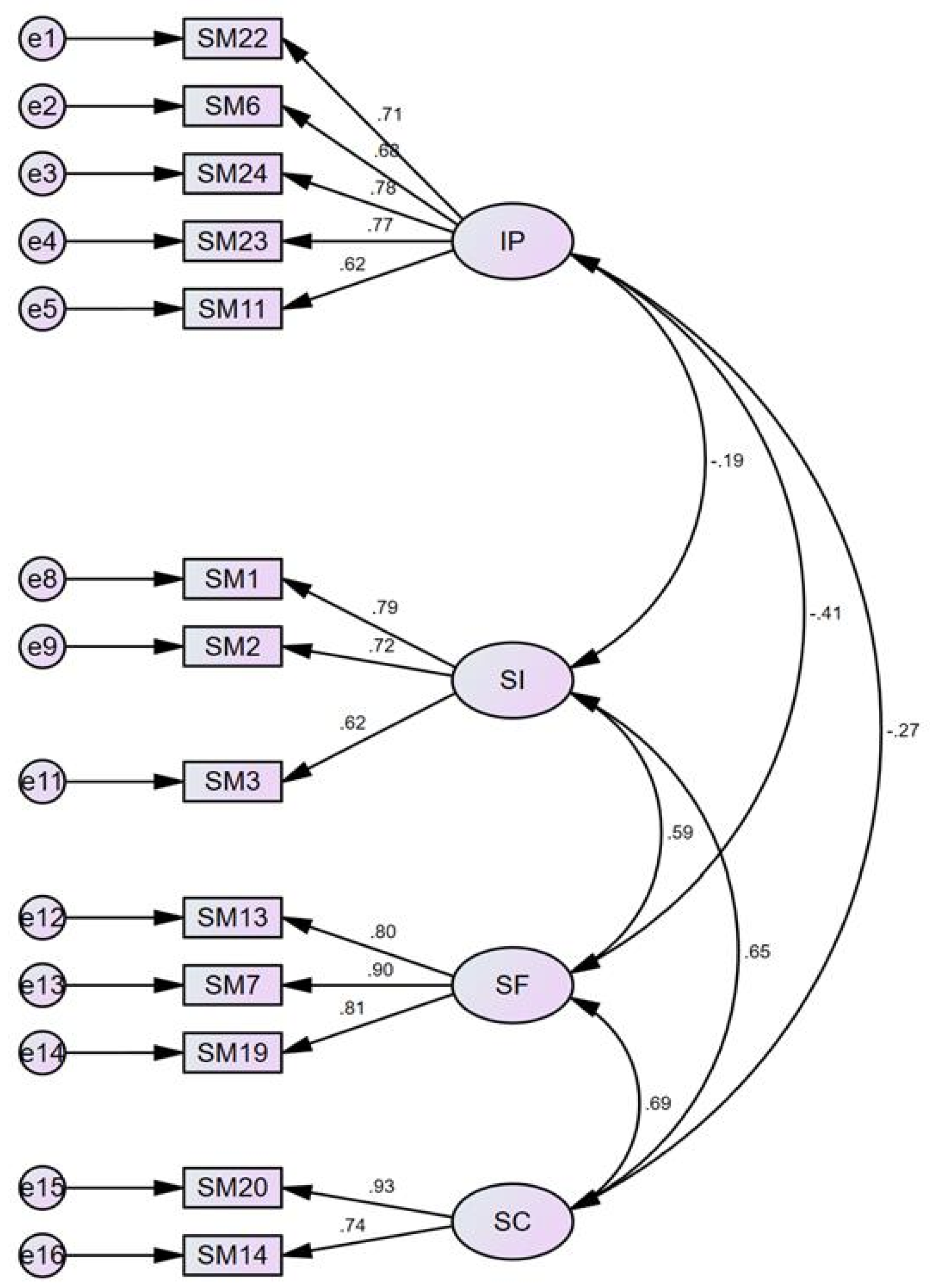
The CFA modeling results on the data set produced from the EFA are shown in Figure 1. Due to low standardized regression weights: SM21 and SM12 model fit measures present unacceptable indices (NFI = 0.828, CFI = 0.910, SRMR = 0.0737, RMSEA = 0.089, and PClose = 0.006). For that reason, SM8, SM21 and SM12 from the cultural and enforced choice construct were dropped from this CFA assessment.
Figure 1.
CFA model output from AMOS 22.
The final model fit measures present acceptable indices (NFI = 0.851, CFI = 0.933, SRMR = 0.079, RMSEA = 0.04, PClose = 0.0694) with the Chi-Square test of 1.66. The results from this CFA assessment show that all indices are at acceptable levels. We also observed results looking for standardized residuals with an absolute value greater than 3.00, which are usually alarming as potential threats to one-dimensionality. Therefore, we took into account that large residuals related to specified items in CFA are indicators of a model’s inability to adequately explain the relationships in the model (Hair et al. 2010). By checking the standardized residuals, all absolute values are less than 3.00. The highest absolute value is 2.64, while the majority values are between +1.50 and −1.50.
All parametric estimates were statistically significant at a level of 0.05 or better. Furthermore, both samples’ latent variables achieved an acceptable level of Composite Reliability (>0.6). Convergent validity takes two measures that are supposed to be measuring the same construct and shows that they are related. The convergent validity has been tested with the AVE value, with four factors, I.P., SI, S.F. and S.C. AVE values are all above the 0.5 thresholds. Conversely, discriminant validity shows that two measures that are not supposed to be related are, in fact, unrelated. The square roots of the AVE values are 0.71, 0.71, 0.84 and 0.84, which is higher than the correlation estimate for each pair of constructs. Therefore, this study can conclude that all items met convergent and discriminant validity.
5.5. Structural Equation Modeling, SEM
At this point of our analysis, we have obtained a set of items that measure four factors of the strategic process. This final set of constructs and items was used to test the study’s research model hypotheses, which were derived based on previous theoretical research:
Hypothesis 1 (H1).
Institutional pressures are negatively associated with strategic intent.
Hypothesis 2 (H2).
Institutional pressures are negatively associated with the strategic formulation.
Hypothesis 3 (H3).
Strategic intent is positively associated with strategic formulation.
Moran and Brightman (2001) define change management as “the process of continually renewing an organization’s direction, structure, and capabilities to serve the ever-changing needs of external and internal customers.”, which, by association, extends to the evolving nature of the strategic management process. Strategic change comprises strategic evaluation and control, performance evaluation, exercising control and recreating strategies. The strategic planning process, once strategic formulation is set up and strategy is implemented, subsequently leads to strategic control and evaluation. In Bailey et al.’s (2000) model, the element of incremental dimension is highly associated with the concept of strategic change. It is expected that strategic intent and formulation will impact strategy-driven change. Since strategic intent is usually the ultimate goal of an organization, it should be more stable and will not change easily as a part of the strategic planning phase, but it will positively influence change. Therefore, the following hypotheses, shown in Figure 1, are proposed.
Hypothesis 4 (H4).
Strategic intent is positively associated with change.
Hypothesis 5 (H5).
Strategic formulation is positively associated with change.
Hypothesis 6 (H6).
Strategic formulation mediates the relationship between strategic intent and change.
SEM is chosen because of its ability to examine the entire research model as a whole, and not only the relationships between separate variables (Schumacker and Lomax 2010). Regarding the normality of the variables, Skewness and Kurtosis values of composite observed variables were examined using SPSS 22, and overall, based on the results, no large discrepancies from normal data were observed.
We would like to note that structural equation models, especially maximum likelihood estimations, are relatively robust about modest departures from a normal distribution (Diamantopoulos and Siguaw 2000). Since Likert scales were used in the survey, it is reasonable to accept that a continuous variable underlies each measurement scale. Most of the hypothesized relationships in SEM are tested through linear relationships. Therefore, it makes sense that there is a linearity assumption regarding the variables used in this study, because there is no evidence to suggest otherwise.
Attributable to the complexity of the relationships represented by the hypotheses, SEM assessments of the relationships are conducted in two phases. First, we test our proposed research model hypotheses. Then, we examine the mediation effects. An assessment of the model is conducted and presented in Figure 2 and Table 7.
Figure 2.
SEM path analysis results.
Table 7.
Hypotheses testing results.
With the exception of H1, the other four hypotheses, H2, H3, H4 and H5, are strongly supported. H1 has a p-value of 0.172, which is not acceptable. H2, H3, H4 and H5 are strongly supported, with a p-value < 0.01. These results indicate that institutional pressures may not have a negative influence on strategic intent and may entail other secondary effects that moderate this relationship. Such effects may be the individual motivation that may persist despite institutional pressures. However, results show that S.F. is affected by I.P. (negatively) and S.I. (positively). In conjunction with H1, we may interpret these results, as S.I. does not mediate the influence of I.P. on S.F., despite direct influences. What is interesting to note is that the relationship coefficient of H2 and H3 is very close in strength but opposite in direction, which begs the question of whether the effects of I.P. on S.I. are equally and inversely proportional, and in which way? It seems that there are underlying complex (maybe behavioral, psychological, etc.) mechanisms describing the relationship between I.P. and S.I. which are not captured in our model.
The model fit indices are scrutinized. The criterion of the Chi-square test for acceptance varies across researchers, ranging from less than 2.00 (Ullman 2001) to less than 5.00 (Schumacker and Lomax 2004). In the Chi-square (χ2) test of S.M., the ratio is over three, but it is on the edge of the acceptable range (<5.00). All fit indices showed that the model fitting the data is acceptable. Since standardized RMR is within an acceptable threshold, that compensates RMSEA. Therefore, we determine that the research model fit indices are acceptable, suggesting that this model is suitable for further hypothesis testing and model development.
The paths were assessed through standardized estimates and associated p-values. Given that all of the hypothesized relationships in the model were one-directional, all critical p-values are shown significance, except that the relation between SM1F and SM3F showed an insignificant effect. The probability of getting a critical ratio as large as 2.237 in absolute value is 0.025. In other words, the regression weight for SM1F in the prediction of SM3F is significantly different from zero at the 0.05 level (two tailed), while all others in absolute value are less than 0.001, which means significantly different from zero at the 0.001 level (two tailed). We summarize the hypotheses’ results below.
Hypothesis H1 (I.P. negatively influences S.I.).
Not Supported.
The influence is negative, but not significant. This means that the institutional pressures that the Secretariat is facing have not negatively influenced its strategic intents. Considering strategic intentions are more stable and have not been easily changed, institutional pressures may not influence much strategic intent.
Hypothesis H2 (I.P. negatively influences S.F.).
Supported.
Based on various IGO reports and observations from member states, political and power influence play a major role in the IGO strategic management process, which also influences the strategic formulation phase. The relationship is to test how significant the effect is. From the results of this independent model, it shows that the relationship does significantly exist in the IGO context.
Hypothesis H3 (S.I. positively influences S.F.).
Supported.
In the literature, it is commonly agreed that strategic management comprises three management components, namely strategic intent, strategic formulation and strategic implementation. The results from this independent model confirm that the strategic intent factor significantly influences strategic formulation in the IGO context as well.
Hypothesis H4 (S.I. positively influences S.C.).
Supported.
Strategic intent sets up the direction for strategic change and will positively impact the possibility of strategic change. The results from this independent model show that the relationship is significant.
Hypothesis H5 (S.F. positively influences S.C.).
Supported.
6. Discussion and Conclusions
This study proposed a conceptual model that integrated DiMaggio’s institutional pressures framework and Bailey et al.’s (2000) multidimensional strategy model to examine critical factors influencing the effectiveness and efficiency of strategic management in IGO organizations. First, we examined six dimensions of an organization management model, including external and internal forces as they relate to an IGO context, in which command, political, organizational, cultural and enforced choice elements in Barley’s model are associated with institutional coercive, normative and mimetic pressures. Planning elements refer to strategic intent and strategic formulation, and incremental dimension refers to strategic change. The conceptual model posited six hypotheses, which we analyzed using EFA, CFA and SEM. Through a factor reduction process, the strategic management model instrument was optimized by around 50%. This new model promises an efficient and effective explanation of factors and influences on strategic organizational management.
6.1. Synthesis of Findings
The study examined the results by comparing the findings, e.g., institutional pressures, strategic intent, strategic formulation and strategic change, to the principles in Bailey et al.’s (2000) management model to understand to what extent the model shared common propositions from a theoretic perspective. The findings show that institutional pressures have a significant negative influence on strategic formulation, and strategic intent positively influences strategic formulation. Strategic intent positively influences strategic change. This study also confirms that strategic formulation has a partial mediation effect on strategic intent and strategic change.
We also found that institutional pressures do not have a significant influence on strategic intent. However, they do significantly drive IGOs’ strategic formulation process, and, at the same time, lead the IGO to become more rigid, in terms of barriers, beliefs, and assumptions, in its management and bureaucracy.
Although the literature on strategic management mostly emphasizes the integrated management model, the external as well as internal forces and the integrating effects with other management components, such as change management, corporate performance management and project portfolio management, should not be overlooked, especially in IGO organizations. Lastly, it was found that strategic formulation partially mediates the relationship between strategic intent and strategic change.
6.2. Implications for Practitioners
Implications for practitioners mostly involve the context of the IGOs, whereby strategic management should be a core training program for all managers. From the literature review and the models discussed, there is no doubt that pressures, drivers and assumptions behind institutional pressures and change management are numerous and varied, making them very difficult for a practitioner to make sense and intelligibly act upon. Moreover, the reform requirements setting very high-performance expectations position managers to be reactive and distracted from systematically engaging in strategic development, implementation and change management. Our research herein provides some critical suggestions for practitioners:
- Upper management should mitigate institutional pressures by setting up boundaries between council functions and the Secretariat, agreeing on the form and function of interactions between the two. Based on our model results, we see that institutional pressures have significant negative effects on strategic intent and strategic formulation. These negative effects need to be reduced and turned around by finding ways in which institutional pressures can inspire the spirit of entrepreneurial creativity and innovation.
- Avoid enforcing any part of strategic plan and manage it through active participation and ‘buy-in’ of all stakeholders.
- Communicate and continue to educate all managers and employees about the strategic plan, intention and formulation, while at the same time continuing to seek ways to manage small incremental changes towards your strategic goals. Managers need to pay attention to synchronizing and harmonizing movement towards strategic goals and the rate at which change occurs. Successful adaptation to new environments is achieved in small increments and a level of tolerated disruption or accepted comfort. That increment of change is to be determined by managers in real time.
- Make change management a part of your organizational culture.
Overall, our model provides all the elements for IGO practitioners to develop their own customized framework for their strategic plan and its management. They can break down their strategic framework into four components, representing the four constructs in our model, and then detail each of the components with the following information: current state, pressures, goals, schema, communication plan, stakeholder management, risks and their mitigation and key progress indicators. The survey questions in our study can then be adapted to represent the specific IGO and then used regularly (i.e., every 6 months) to measure how the strategy is being managed. The model can then be run using the structural equation modeling approach, and insights into the current state of strategic management affairs can be obtained and acted on. Other data analytics, such as cognitive mapping simulations, can be performed to help direct managers where to intervene to achieve continuous improvement to the strategic process.
6.3. Limitations
The limitations of our study represent the characteristics associated with the methodological elements of the paper, potentially influencing the interpretation of the results and findings. This includes any constraints that prevent us from generalizing the results and producing insights for practitioners and future research.
Due to the complexity of the nature of NGOs, it is difficult to infer cause–effect relationships, because influencing variables may even vary within the sub-areas or specialization of different types of NGOs. For example, some NGOs are technically oriented, while others are humanitarian and service oriented, and institutional pressures can be significantly different.
Another limitation to our study entails the data set, which may be considered small despite the strong goodness-of-fit of the final conceptual strategic model. Due to this limitation, we were not able to split the data across different types of IGO specializations and different management positions. In the same vein, generalization of the results should be handled with caution.
6.4. Recommendation for Future Research
As mentioned earlier, publications (especially empirical) in the area of strategic management in the NGO sector are relatively scarce, and many opportunities for future research exist. These opportunities lie along two axes. The first axis includes strategic management studies of different types of organizations in the public sector, such as the UN and its agencies, municipalities, academic institutions and international NGOs, to understand commonalities and differences, while at the same time formulating factors for successful and sustainable strategic development. The second axis entails the continued empirical testing and validation of strategic management models (originally designed for the private sector) to public sector institutions. As we have seen in the methodology of this study, our approach presents opportunities to adopt and reformulate the private sector models into a usable framework for public sector institutions. Reusable and interoperable strategic management models have many advantages that merit further research.
More specifically, and in relation to our final strategic management model for NGOs, we view our results to open the door for more in-depth analysis regarding the constructs and the relationships between them. Firstly, the business of NGOs is complex, and our research indicates that institutional pressure is a subject matter of great importance, especially since practitioners always struggle with how to manage strategy within the boundaries of power dynamics. This area of research is weak, and a Google search produces 17 articles, only 3 of which are related to public institutions. The rest are within different contexts, such as small- and medium-size enterprises, social responsibility, internationalization and innovation.
Another very important research area is the extension of our study to better understand the mediating versus moderating effects of strategic intent and strategic formulation on the relationship between institutional pressures and change. Ultimately, research in this area should result in guidance for practitioners regarding the continuous improvement of IGO efficiencies and effectiveness, especially since they operate on voluntary funds from member states and donors. This can only be achieved through proper strategic change management.
Moreover, recent innovation in strategic management modeling follows primarily quantitative (i.e., game theory), system (i.e., holism and synergy) and situational approaches, and presents opportunities to explore their application within IGOs and even public institutions in general. Some of these new concepts include a systems approach to strategic management, the application of chaos theory to strategic management and the blue ocean strategy management. At the same time, future research, in light of our rationale herein and our findings, needs to incorporate dynamics into how we think of strategy in the public sector.
It is worth noting that the data in our study come from a specific sector, the IGOs area, in which institutional norms loom particularly large. Although legitimacy concerns or the value of being perceived as leaders or regulators may not be as great in less-regulated industries, other research has suggested that gains from market or customer approval may also be found in different industries. However, more research is needed to establish the industry’s role in setting boundary conditions for an effective strategic management process.
Last but not least, although the results show a good fit model for the data sample, it is important to validate the results with a larger data set.
Author Contributions
Conceptualization, J.W. and R.S.; methodology, J.W. and R.S.; validation, L.W., H.G. and H.L.; formal analysis, J.W. and L.W.; investigation, J.W., L.W. and R.S.; data curation, L.W. and R.S.; writing—original draft preparation, J.W. and R.S.; writing—review and editing, R.S., H.L. and H.G.; supervision, R.S.; project administration, H.L. and H.G. All authors have read and agreed to the published version of the manuscript.
Funding
This research received no external funding.
Institutional Review Board Statement
Not applicable.
Informed Consent Statement
Informed consent to participate and publish was obtained from all subjects involved in the study.
Data Availability Statement
The survey instrument and data presented in this study are available on request from the corresponding author.
Conflicts of Interest
The authors declare no conflict of interest.
References
- Anderson, James C., and David W. Gerbing. 1988. Structural Equation Modeling in Practice: A Review and Recommended Two-Step Approach. Psychological Bulletin 103: 411–23. [Google Scholar] [CrossRef]
- Andrews, Rhys, and Steven Van de Walle. 2013. New public management and citizens’ perceptions of local service efficiency, responsiveness, equity and effectiveness. Public Management Review 15: 762–83. [Google Scholar] [CrossRef]
- Andrews, Rhys, George A. Boyne, and Gareth Enticott. 2006. Performance failure in the public sector: Misfortune or mismanagement? Public Management Review 8: 273–96. [Google Scholar] [CrossRef]
- Ansoff, H. Igor. 1965. Corporate Strategy. New York: McGraw-Hill. [Google Scholar]
- Armstrong, J. Scott, and Terry S. Overton. 1977. Estimating Nonresponse Bias in Mail Surveys. Journal of Marketing Research 14: 396–402. [Google Scholar] [CrossRef] [Green Version]
- Bailey, Andy, and Gerry Johnson. 1996. Patterns of Strategy Development. Bedford: Cranfield School of Management. [Google Scholar]
- Bailey, Andy, Gerry Johnson, and Kevin Daniels. 2000. Validation of a Multidimensional Measure of Strategy Development Processes. British Journal of Management 11: 151–62. [Google Scholar] [CrossRef]
- Barney, Jay B. 1986. Strategic factor markets: Expectations, luck, and business strategy. Management Science 32: 1231–41. [Google Scholar] [CrossRef]
- Barringer, Bruce R., and Allen C. Bluedorn. 1999. The Relationship between Corporate Entrepreneurship and Strategic Management. Strategic Management Journal 20: 421–44. [Google Scholar] [CrossRef]
- Begkos, Christos, Sue Llewellyn, and Kieran Walshe. 2020. How do medical managers strategize? A strategy-as-practice perspective. Public Money and Management 40: 265–75. [Google Scholar] [CrossRef]
- Birkinshaw, Julian, Neil Hood, and Stefan Jonsson. 1998. Building firm-specific advantages in multinational corporations: The role of subsidiary initiative. Strategic Management Journal 19: 221–42. [Google Scholar] [CrossRef] [Green Version]
- Boon, Corine, Jaap Paauwe, Paul Boselie, and Deanne Den Hartog. 2009. Institutional pressures and HRM: Developing institutional fit. Personnel Review 38: 492–509. [Google Scholar] [CrossRef]
- Bourgeois, L. Jay, and David R. Brodwin. 1984. Strategic Implementation: Five Approaches to an Elusive Phenomenon. Strategic Management Journal 5: 241–64. [Google Scholar] [CrossRef]
- Boyd, Brian. 1991. Strategic planning and financial performance: A meta-analytic review. The Journal of Management Studies 28: 353–74. [Google Scholar] [CrossRef]
- Boyne, George A., and Richard M. Walker. 2010. Strategic management and public service performance: The way ahead. Public Administration Review 70: s185–s192. [Google Scholar] [CrossRef]
- Brews, Peter J., and Michelle R. Hunt. 1999. Learning to plan and planning to learn: Resolving the planning school/learning school debate. Strategic Management Journal 20: 889–914. [Google Scholar]
- Brown, Trevor L. 2010. The evolution of public sector strategy. Public Administration Review 70: S212–S214. [Google Scholar] [CrossRef]
- Bryson, John M. 2018. Strategic Planning for Public and Nonprofit Organizations: A Guide to Strengthening and Sustaining Organizational Achievement. Hoboken: John Wiley & Sons. [Google Scholar]
- Bryson, John, and Bert George. 2020. Strategic Management in Public Administration. In Oxford Research Encyclopedia of Politics. Oxford: Oxford University Press. [Google Scholar]
- Bryson, John M., Frances S. Berry, and Kaifeng Yang. 2010. The state of public strategic management research: A selective literature review and set of future directions. The American Review of Public Administration 40: 495–521. [Google Scholar] [CrossRef] [Green Version]
- Bryson, John, Alessandro Sancino, John Benington, and Eva Sørensen. 2017. Towards a multi-actor theory of public value co-creation. Public Management Review 19: 640–54. [Google Scholar] [CrossRef]
- Bryson, John M., Lauren Hamilton Edwards, and David M. Van Slyke. 2018. Getting strategic about strategic planning research. Public Management Review 20: 317–39. [Google Scholar] [CrossRef] [Green Version]
- Capon, Noel, Jone U. Farley, and James M. Hulbert. 1994. Strategic planning and financial performance: More evidence. Journal of Management Studies 31: 105–10. [Google Scholar] [CrossRef]
- Cornwall, Jeffrey R., and Baron Perlman. 1992. Organizational Entrepreneurship. Homewood: Irwin. [Google Scholar]
- Courtney, Roger. 2013. Strategic Management in the Third Sector. London: Palgrave. [Google Scholar]
- Covin, Jeffrey G., and Dennis P. Slevin. 1991. A conceptual model of entrepreneurship as firm behavior. Entrepreneurship Theory and Practice 16: 7–25. [Google Scholar] [CrossRef]
- Cuganesan, Suresh, Richard Dunford, and Ian Palmer. 2012. Strategic management accounting and strategy practices within a public sector agency. Management Accounting Research 23: 245–60. [Google Scholar] [CrossRef]
- David, Fred R., and R. David Forest. 2017. Strategic Management Concepts and Cases A Competitive Approach. Singapore: Pearson Education South Asia Pte Limited. [Google Scholar]
- David, Parthiban, Matt Bloom, and Amy J. Hillman. 2007. Investor activism, managerial responsiveness, and corporate social performance. Strategic Management Journal 28: 91–100. [Google Scholar] [CrossRef]
- Derkinderen, Frans G.J., and Roy L. Crum. 1988. The development and empirical validation of strategic decision models. International Studies of Management and Organization 18: 29–55. [Google Scholar] [CrossRef]
- Deshpande, Rohit, and Frederick E. Webster. 1989. Organizational Culture and Marketing: Defining the Research Agenda. Journal of Marketing 53: 3–15. [Google Scholar] [CrossRef] [Green Version]
- Dess, Gregory G., George T. Lumpkin, and Jeffrey G. Covin. 1997. Entrepreneurial strategy making and firm performance: Tests of contingency and configurational models. Strategic Management Journal 18: 677–95. [Google Scholar] [CrossRef]
- Diamantopoulos, Adamantios, and Judy A. Siguaw. 2000. Introducing Lisrel. London: Sage Publications. [Google Scholar]
- DiMaggio, Paul J., and Walter W. Powell. 1983. The iron cage revisited: Institutional isomorphism and collective rationality in organizational fields. American Sociological Review 48: 147–60. [Google Scholar] [CrossRef] [Green Version]
- Drucker, Peter. 1970. Technology, Management, and Society. New York: Harper & Row. [Google Scholar]
- Eisenhardt, Kathleen M. 1989. Making fast strategic decisions in high-velocity environments. Academy of Management Journal 32: 543–76. [Google Scholar]
- Eisenhardt, Kathleen M., and Mark J. Zbaracki. 1992. Strategic decision making. Strategic Management Journal 13: 17–37. [Google Scholar] [CrossRef] [Green Version]
- Elbanna, Said, Rhys Andrews, and Raili Pollanen. 2016. Strategic planning and implementation success in public service organizations: Evidence from Canada. Public Management Review 18: 1017–42. [Google Scholar] [CrossRef]
- Ferlie, Ewan, and Edoardo Ongaro. 2015. Strategic Management in Public Services Organizations: Concepts, Schools and Contemporary Issues. London: Routledge. [Google Scholar]
- Fredrickson, James W., and Anthony L. Iaquinto. 1989. Inertia and creeping rationality in strategic decision processes. Academy of Management Journal 32: 543–76. [Google Scholar]
- Galacgac, Jessica, and Amarjit Singh. 2016. Implications of chaos theory in management science. Chaotic Modeling and Simulation (CMSIM) 4: 515–27. [Google Scholar]
- Garud, Raghu, Cynthia Hardy, and Steve Maguire. 2007. Institutional entrepreneurship as embedded agency: An introduction to the special issue. Organization Studies 28: 957–69. [Google Scholar] [CrossRef]
- George, Bert. 2017. Does strategic planning ‘work’ in public organizations? Insights from Flemish municipalities. Public Money and Management 37: 527–30. [Google Scholar] [CrossRef] [Green Version]
- George, Bert, and Sebastian Desmidt. 2018. Strategic-decision quality in public organizations: An information processing perspective. Administration and Society 50: 131–56. [Google Scholar] [CrossRef] [Green Version]
- George, Bert, Sebastian Desmidt, and Julie De Moyer. 2016. Strategic decision quality in Flemish municipalities. Public Money and Management 36: 317–24. [Google Scholar] [CrossRef] [Green Version]
- George, Bert, Sebastian Desmidt, Poul A. Nielsen, and Martin Baekgaard. 2017. Rational planning and politicians’ preferences for spending and reform: Replication and extension of a survey experiment. Public Management Review 19: 1251–71. [Google Scholar] [CrossRef]
- George, Bert, Sebastian Desmidt, Eva Cools, and Anita Prinzie. 2018. Cognitive styles, user acceptance and commitment to strategic plans in public organizations: An empirical analysis. Public Management Review 20: 340–59. [Google Scholar] [CrossRef] [Green Version]
- George, Bert, Richard M. Walker, and Joost Monster. 2019. Does strategic planning improve organizational performance? A meta-analysis. Public Administration Review 79: 810–19. [Google Scholar] [CrossRef]
- Ghemawat, Pankaj. 1997. Games Businesses Play: Cases and Models. Cambridge: MIT Press. [Google Scholar]
- Ghemawat, Pankaj, and Bruno Cassiman. 2007. Introduction to the special issue on strategic dynamics. Management Science 53: 529–36. [Google Scholar] [CrossRef]
- Giblin, Matthew J., and Jeffrey S. Nowacki. 2018. Organizational decline and fiscal distress in municipal police agencies. Police Quarterly 21: 171–95. [Google Scholar] [CrossRef]
- Golsorkhi, Damon, Linda Rouleau, David Seidl, and Eero Vaara, eds. 2010. Cambridge Handbook of Strategy as Practice. Cambridge: Cambridge University Press. [Google Scholar]
- Goodstein, Jerry D. 1994. Institutional pressures and strategic responsiveness: Employer involvement in work-family issues. Academy of Management Journal 37: 350–82. [Google Scholar]
- Grant, Richard L. 1995. Political and economic reform in China. The World Today 51: 37–40. [Google Scholar]
- Greenwood, Royston, Mia Raynard, Farah Kodeih, Evelyn R. Micelotta, and Michael Lounsbury. 2011. Institutional complexity and organizational responses. The Academy of Management Annals 5: 317–71. [Google Scholar] [CrossRef]
- Hair, Joseph F., William C. Black, Barry J. Babin, and Rolph E. Anderson. 2010. Multivariate Data Analysis, 7th ed. Upper Saddle River: Prentice Hall. [Google Scholar]
- Hamel, Gary, and C. K. Prahalad. 1989. Strategic intent. Harvard Business Review 67: 63–76. [Google Scholar] [PubMed]
- Hannan, Michael T., and John H. Freeman. 1989. Organizational Ecology. Boston: Harvard University Press. [Google Scholar]
- Hart, Stuart L. 1992. An Integrative Framework for Strategy-Making Processes. Academy of Management. The Academy of Management Review 17: 327. [Google Scholar] [CrossRef]
- Hart, Stuart, and Catherine Banbury. 1994. How strategy-making processes can make a difference. Strategic Management Journal 15: 251–70. [Google Scholar] [CrossRef]
- Hax, Arnoldo C., and Dean L. Wilde. 2002. The Delta Model—Toward a Unified Framework of Strategy. Cambridge: MIT Press. [Google Scholar]
- Höglund, Linda, and Fredrik Svärdsten. 2018. Strategy work in the public sector—A balancing act of competing discourses. Scandinavian Journal of Management 34: 225–32. [Google Scholar] [CrossRef] [Green Version]
- Höglund, Linda, Mikael Holmgren Caicedo, Maria Mårtensson, and Fredrik Svärdsten. 2018. Strategic management in the public sector: How tools enable and constrain strategy making. International Public Management Journal 21: 822–49. [Google Scholar] [CrossRef]
- Höglund, Linda, Maria Mårtensson, and Kerstin Thomson. 2021. Strategic management, management control practices and public value creation: The strategic triangle in the Swedish public sector. Accounting, Auditing & Accountability Journal 34: 1608–34. [Google Scholar]
- Hossain, Delwar. 2022. Globalization, Governance, and New Institutionalism: Exploring a New “Developing World” Framework. In Global-Local Tradeoffs, Order-Disorder Consequences. Singapore: Palgrave Macmillan, pp. 23–59. [Google Scholar]
- Iansiti, Marco, and Kim B. Clark. 1994. Integration and dynamic capability: Evidence from product development in automobiles and mainframe computers. Industrial and Corporate Change 3: 557–605. [Google Scholar] [CrossRef]
- Iaquinto, Anthony L., and James W. Fredrickson. 1997. Top management team agreement about the strategic decision process: A test of some of its determinants and consequences. Strategic Management Journal 18: 63–75. [Google Scholar] [CrossRef]
- Johnsen, Åge. 2016. Strategic planning and management in local government in Norway: Status after three decades. Scandinavian Political Studies 39: 333–65. [Google Scholar] [CrossRef]
- Johnson, Gerry. 1987. Strategic Change and the Management Process. Oxford: Basil Blackwell. [Google Scholar]
- Kanter, Rosabeth. 1985. Supporting innovation and venture development in established companies. Journal of Business Venturing 1: 47–60. [Google Scholar] [CrossRef]
- Kools, Marco, and Bert George. 2020. Debate: The learning organization—A key construct linking strategic planning and strategic management. Public Money & Management 40: 262–64. [Google Scholar]
- Lane, Jan-Erik. 2008. Strategic management for public services delivery. International Journal of Leadership in Public Services 4: 15–23. [Google Scholar] [CrossRef]
- Lindblom, Charles E. 1959. The science of ‘muddling through’. Public Administration Review 19: 79–88. [Google Scholar] [CrossRef]
- Madsen, Dag Øivind, and Kåre Slåtten. 2019. Examining the emergence and evolution of Blue Ocean Strategy through the lens of management fashion theory. Social Sciences 8: 28. [Google Scholar] [CrossRef] [Green Version]
- Manos, Matthew, Samir Chatterjee, and Nagla Alnosayan. 2022. Models of Impact: A Methodology and a Toolkit to Generate Sustainable Business Models. In International Conference on Design Science Research in Information Systems and Technology. Cham: Springer, pp. 286–97. [Google Scholar]
- Menon, Anil, Sundar G. Bharadwaj, Phani Tej Adidam, and Steven W. Edison. 1999. Antecedents and consequences of marketing strategy making: A model and a test. Journal of Marketing 63: 18–40. [Google Scholar] [CrossRef]
- Meyer, Jone W., and Brian Rowan. 1977. Institutionalized organizations: Formal structure as myth and ceremony. American Journal of Sociology 83: 340–63. [Google Scholar] [CrossRef] [Green Version]
- Miller, C. Chet, and Laura B. Cardinal. 1994. Strategic planning and firm performance: A synthesis of more than two decades of research. Academy of Management Journal 37: 1649–65. [Google Scholar]
- Miller, Danny, and Peter H. Friesen. 1983. Strategy-making and environment: The third link. Strategic Management Journal 4: 221–35. [Google Scholar] [CrossRef]
- Mintzberg, Henry. 1983. The case for corporate social responsibility. Journal of Business Strategy 4: 3–15. [Google Scholar] [CrossRef]
- Moran, John W., and Baird K. Brightman. 2001. Leading organizational change. Career Development International 6: 111–19. [Google Scholar] [CrossRef]
- Nakrošis, Vitalis, Jurgita Šiugždinienė, and Inga Antanaitė. 2020. New development: Between politics and strategic planning—the management of government priorities in Lithuania. Public Money & Management 40: 299–303. [Google Scholar]
- Naveed, Shabana, Nasira Jabeen, M. R. Farooqi, Snober Javid, and A. Rizwan. 2021. Drivers of public enterprise reforms in Pakistan: The perspective of new institutionalism. Governance and Management Review 6: 1–16. [Google Scholar]
- Nutt, Paul C. 1993. The formulation processes and tactics used in organizational decision making. Organization Science 4: 226–51. [Google Scholar] [CrossRef]
- Oliver, Christine. 1991. Strategic responses to institutional processes. Academy of Management 16: 145–79. [Google Scholar]
- Oliver, Christine. 1997. Sustainable competitive advantage: Combining institutional and resource-based views. Strategic Management Journal 18: 697–713. [Google Scholar] [CrossRef] [Green Version]
- Olivier, Anton Jacobus, and Erwin Schwella. 2018. Closing the strategy execution gap in the public sector. International Journal of Public Leadership 14: 6–32. [Google Scholar] [CrossRef] [Green Version]
- Pache, Anne-Claire, and Santos Filipe. 2010. When worlds collide: The internal dynamics of organizational responses to conflicting institutional demands. Academy of Management Review 35: 455–76. [Google Scholar]
- Peretz, Hedva Vinarski. 2021. A perspective on organizational decline in the public sector: A case study. Public Money & Management 41: 161–71. [Google Scholar]
- Pfeffer, Jeffrey, and Gerald R. Salancik. 1978. The External Control of Organizations: A Resource Dependence Perspective. New York: Harper & Row Publisher. [Google Scholar]
- Pinchot, Gifford III. 1985. Intrapreneuring: Why You Don't Have to Leave the Corporation to Become an Entrepreneur. Urbana: University of Illinois at Urbana-Champaign’s Academy for Entrepreneurial Leadership Historical Research Reference in Entrepreneurship. [Google Scholar]
- Poister, Theodore H. 2010. The future of strategic planning in the public sector: Linking strategic management and performance. Public Administration Review 70: s246–s254. [Google Scholar]
- Rosenberg Hansen, Jesper, and Ewan Ferlie. 2016. Applying strategic management theories in public sector organizations: Developing a Typology. Public Management Review 18: 1–19. [Google Scholar] [CrossRef]
- Rowe, Alan J., Richard O. Mason, and Karl Dickel. 1982. Strategic Management and Business Policy: A Methodological Approach. Reading: Addison-Wesley Publishing Co. [Google Scholar]
- Saadatmand, Mohammadsaleh, Maoloud Dabab, and Charles Weber. 2018. Dynamics of competition and strategy: A literature review of strategic management models and frameworks. Papers Presented at the 2018 Portland International Conference on Management of Engineering and Technology (PICMET), Honolulu, HI, USA, August 19–23; pp. 1–14. [Google Scholar]
- Safi, Ahmad Jamshid, and Syed Mohd Jamal Mahmood. 2022. Strategic Management Practices in the Public Sector: A literature review–Descriptive. International Journal of Advanced Multidisciplinary Research 9: 88–104. [Google Scholar] [CrossRef]
- Saviotti, Pier Paolo, and J. Stanley Metcalfe. 2018. Present development and trends in evolutionary economics. In Evolutionary Theories of Economic and Technological Change. Oxfordshire: Routledge, pp. 1–30. [Google Scholar]
- Schmidt, Eduard, Sandra Groeneveld, and Steven Van de Walle. 2017. A change management perspective on public sector cutback management: Towards a framework for analysis. Public Management Review 19: 1538–55. [Google Scholar] [CrossRef]
- Schumacker, Randall E., and Richard G. Lomax. 2004. A Beginner’s Guide to Structural Equation Modeling, 2nd ed. Mahwah: Lawrence Erlbaum. [Google Scholar]
- Schumacker, Randall E., and Richard G. Lomax. 2010. A Beginner’s Guide to Structural Equation Modeling, 3rd ed. New York: Routledge. [Google Scholar]
- Scott, W. Richard. 1995. Institutions and Organizations. Thousand Oaks: Sage. [Google Scholar]
- Spano, Alessandro. 2009. Public value creation and management control systems. International Journal of Public Administration 32: 328–48. [Google Scholar] [CrossRef]
- Teece, David J., Gary Pisano, and Amy Shuen. 1997. Dynamic capabilities and strategic management. Strategic Management Journal 18: 509–33. [Google Scholar] [CrossRef]
- Teo, Hock-Hai, Kwok Kee Wei, and Izak Benbasat. 2003. Predicting intention to adopt inter-organizational linkages: An institutional perspective. MIS Quarterly 27: 19–49. [Google Scholar] [CrossRef] [Green Version]
- Tohidfam, Mohammad, and Ali Touserkani. 2021. An Analysis of Media Policymaking: A Transition from Classical Institutionalism to New Institutionalism. Political Quarterly 51: 81–97. [Google Scholar]
- Ullman, Jodie B. 2001. Structural equation modeling. In Using Multivariate Statistics, 4th ed. Edited by B. G. Tabachnick and L. S. Fidell. London: Pearson, pp. 653–771. [Google Scholar]
- Unsal, Yildiz, and Erkut Altindag. 2021. The effect of chaos modern strategic management techniques on firm performance. Journal of Business Economics and Finance 10: 72–87. [Google Scholar] [CrossRef]
- Winter, Sidney G., and Richard R. Nelson. 1982. An Evolutionary Theory of Economic Change. Champaign: University of Illinois at Urbana-Champaign’s Academy for Entrepreneurial Leadership Historical Research Reference in Entrepreneurship. [Google Scholar]
- Zott, Christoph. 2003. Dynamic capabilities and the emergence of intraindustry differential firm performance: Insights from a simulation study. Strategic Management Journal 24: 97–125. [Google Scholar] [CrossRef]
- Zucker, Lynne G. 1987. Institutional theories of organization. Annual Review of Sociology 13: 443–64. [Google Scholar] [CrossRef]
Publisher’s Note: MDPI stays neutral with regard to jurisdictional claims in published maps and institutional affiliations. |
© 2022 by the authors. Licensee MDPI, Basel, Switzerland. This article is an open access article distributed under the terms and conditions of the Creative Commons Attribution (CC BY) license (https://creativecommons.org/licenses/by/4.0/).

