Team Autonomy and Organizational Support, Well-Being, and Work Engagement in the Spain Computer Consultancy Industry: The Mediating Effect of Emotional Intelligence
Abstract
1. Introduction
- Research question 1: How does perceived organizational support and team autonomy impact the employees’ well-being?
- Research question 2: How does the employees’ well-being impact their work engagement?
- Research question 3: How does the employees’ emotional intelligence impact their well-being?
- Research question 4: What is the impact of the mediation of emotional intelligence between perceived organizational support and work autonomy and employees’ well-being?
2. Literature Review
2.1. Autonomy at Work, Organizational Support, and Employee Well-Being
2.2. The Mediation Role of Emotional Intelligence
2.3. Workers’ Well-Being and Commitment to Work
3. Materials and Methods
Why the IT Industry in Spain?
4. Results
4.1. Measurement Model
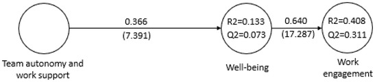
4.2. Structural Model
4.3. Mediation Analysis
5. Discussion
6. Conclusions, Limitations, and Future Lines of Research
Author Contributions
Funding
Institutional Review Board Statement
Informed Consent Statement
Data Availability Statement
Conflicts of Interest
Appendix A
| Construct | Item | Question |
|---|---|---|
| Demographic characteristics | A1 | Age |
| A2 | Gender | |
| A3 | Level of education | |
| A4 | Number of years participants have worked for the company | |
| A5 | Terms of employment | |
| Work engagement | I10(SQ001) | At my work, I feel full of energy |
| I10(SQ002) | I am enthusiastic about my job | |
| I10(SQ003) | Time flies when I am working | |
| Team autonomy/Organizational Support | B10(SQ001) | My organization really cares about my well-being |
| B10(SQ002) | My organization strongly considers my goals and values | |
| B10(SQ003) | Help is available from my organization when I have a problem | |
| C10(SQ001) | My supervisor will meet with me regularly to work on problems I may be having in trying to use this training | |
| C10(SQ002) | My supervisor will meet with me to discuss ways to apply this training on the job | |
| C10(SQ003) | My supervisor will help me set realistic goals for job performance based on my training | |
| G10(SQ001) | The project team was allowed to freely choose tools and technologies | |
| G10(SQ002) | The project team had control over what they were supposed to accomplish | |
| Emotional Intelligence—Self-emotion appraisal | D10(SQ001) | I have a good sense of why I have certain feelings most of the time |
| D10(SQ002) | I have good understanding of my own emotions | |
| D10(SQ003) | I really understand what I feel | |
| D10(SQ004) | I always know whether or not I am happy | |
| Emotional Intelligence—Others’ emotion appraisal | D11(SQ001) | I always know my friends’ emotions from their behavior |
| D11(SQ002) | I am a good observer of others’ emotions | |
| D11(SQ003) | I am sensitive to the feelings and emotions of others | |
| D11(SQ004) | I have good understanding of the emotions of people around me | |
| Emotional Intelligence—Use of emotion | D12(SQ001) | I always set goals for myself and then try my best to achieve them |
| D12(SQ002) | I always tell myself I am a competent person | |
| D12(SQ003) | I am a self-motivated person | |
| D12(SQ004) | I would always encourage myself to try my best | |
| Emotional Intelligence—Regulation of emotion | D13(SQ001) | I am able to control my temper and handle difficulties rationally |
| D13(SQ002) | I am quite capable of controlling my own emotions | |
| D13(SQ003) | I can always calm down quickly when I am very angry | |
| D13(SQ004) | I have good control of my own emotions | |
| Well-being | G11(SQ001) | I have felt cheerful and in good spirits |
| G11(SQ002) | I have felt calm and relaxed | |
| G11(SQ003) | I have felt active and vigorous | |
| G11(SQ004) | I woke up feeling fresh and rested | |
| G11(SQ005) | My daily life has been filled with things that interest me |
References
- Abeykoon, A. M. R. K., and A. Perera. 2019. Impact of work life balance on employee job satisfaction of executive level employees. Management Issues 4: 55–65. [Google Scholar]
- Agius, Raymond. 2020. COVID-19 and health at work. Occupational Medicine 70: 349–51. [Google Scholar] [CrossRef] [PubMed]
- Asociación Española de empresas de consultoría. 2018. 2017, la consultoría española. El sector en cifras. Madrid: AEEC. [Google Scholar]
- Austin, Elizabeth J., Donald H. Saklofske, and Vincent Egan. 2005. Personality, well-being and health correlates of trait emotional intelligence. Personality and Individual Differences 38: 547–58. [Google Scholar] [CrossRef]
- Aydogdu, Sinem, and Baris Asikgil. 2011. An empirical study of the relationship among job satisfaction, organisational commitment and turnover intention. International Review of Management and Marketing 1: 43–53. [Google Scholar]
- Bakker, Arnold, Wilmar B. Schaufeli, Michael P. Leiter, and Toon W. Taris. 2008. Work engagement: An emerging concept in occupational health psychology. Work Stress 22: 187–200. [Google Scholar] [CrossRef]
- Barclay, Donald W., C. Higgins, and Ron Thompson. 1995. The partial least squares (PLS) approach to causal modelling: Personal computer adoption and use as illustration. Technology Studies 2: 285–309. [Google Scholar]
- Bar-On, Reuven. 2005. The impact of emotional intelligence on subjective well-being. Perspectives in Education 23: 41–62. Available online: https://hdl.handle.net/10520/EJC87316 (accessed on 30 April 2021).
- Baron, Reuben M., and David A. Kenny. 1986. The moderator-mediator variable distinction in social psychological research: Conceptual, strategic, and statistical considerations. Journal of Personality and Social Psychology 51: 1173–82. [Google Scholar] [CrossRef]
- Behson, Scott J. 2005. The relative contribution of formal and informal organizational work–family support. Journal of Vocational Behavior 66: 487–500. [Google Scholar] [CrossRef]
- Berthelsen, Hanne, Karin Hjalmers, and Björn Söderfeldt. 2008. Perceived social support in relation to work among Danish general dental practitioners in private practices. European Journal of Oral Sciences 116: 157–63. [Google Scholar] [CrossRef]
- Brough, Paula, and Rachael Frame. 2004. Predicting police job satisfaction and turnover intentions: The role of social support and police organisational variables. New Zealand Journal of Psychology 33: 8–16. [Google Scholar]
- Cassel, Claes, Peter Hackl, and Anders H. Westlund. 1999. Robustness of partial least-squares method for estimating latent variable quality structures. Journal of Applied Statistics 26: 435–46. [Google Scholar] [CrossRef]
- Chen, Yiwei, Yisheng Peng, and Ping Fang. 2016. Emotional intelligence mediates the relationship between age and subjective well-being. The International Journal of Aging and Human Development 83: 91–107. [Google Scholar] [CrossRef] [PubMed]
- Chin, Wynne W. 1998. The partial least squares approach to structural equation modeling. Modern Methods for Business Research 295: 295–336. [Google Scholar]
- Chin, Wynne W., Barbara L. Marcolin, and Peter R. Newsted. 2003. A partial least squares latent variable modeling approach for measuring interaction effects: Results from a Monte Carlo simulation study and an electronic-mail emotion/adoption study. Information Systems Research 14: 189–217. [Google Scholar] [CrossRef]
- Ciarrochi, Joseph, and Greg Scott. 2006. The link between emotional competence and well-being: A longitudinal study. British Journal of Guidance and Counselling 34: 231–43. [Google Scholar] [CrossRef]
- Cohen, Aaron. 2003. Multiple Commitments in the Workplace: An Integrative Approach. Mahwah: Lawrence Erlbaum Associates. [Google Scholar]
- Coté, Stéphane, and Christopher T. H. Miners. 2006. Emotional intelligence, cognitive intelligence, and job performance. Administrative Science Quarterly 51: 1–28. [Google Scholar] [CrossRef]
- Das, Bidisha Lahkar, and Mukulesh Baruah. 2013. Employee retention: A review of literature. Journal of Business and Management 14: 8–16. [Google Scholar] [CrossRef]
- Di Fabio, Annamaria, and Maureen E. Kenny. 2016. Promoting well-being: The contribution of emotional intelligence. Frontiers in Psychology 7: 1182. [Google Scholar] [CrossRef]
- Edmondson, Amy C., and Stacy E. McManus. 2007. Methodological fit in management field research. Academy of Management Review 32: 1246–64. [Google Scholar] [CrossRef]
- Eisenberger, Robert, Robin Huntington, and Debora Sava. 1986. Perceived organizational support. Journal of Applied Psychology 71: 500–7. [Google Scholar] [CrossRef]
- Eisenberger, Robert, Jim Cummings, Stephen Armeli, and Patrick Lynch. 1997. Perceived organizational support, discretionary treatment, and job satisfaction. Journal of Applied Psychology 82: 812–20. [Google Scholar] [CrossRef] [PubMed]
- Fornell, Claes, and Fred L. Bookstein. 1982. Two structural equation models: LISREL and PLS applied to consumer exit-voice theory. Journal of Marketing Research 19: 440–52. [Google Scholar] [CrossRef]
- Gallagher, Emma N., and Dianne A. Vella-Brodrick. 2008. Social support and emotional intelligence as predictors of subjective well-being. Personality and Individual Differences 44: 1551–61. [Google Scholar] [CrossRef]
- Gallardo-Vázquez, Dolores, Luis Enrique Valdez-Juárez, and José Luis Lizcano-Álvarez. 2019. Corporate social responsibility and intellectual capital: Sources of competitiveness and legitimacy in organizations’ management practices. Sustainability 11: 5843. [Google Scholar] [CrossRef]
- Garcia-Prieto, Sol Patricia, Véronique Tran, and Susan Schneider. 2007. The Role of Emotion in Strategic Issue Interpretation: The Case of Diversity. Working Papers, Centre Emile Bernheim. Brussels: ULB-Universite Libre de Bruxelles. [Google Scholar]
- Gefen, David, and Detmar Straub. 2005. A practical guide to factorial validity using PLS-Graph: Tutorial and annotated example. Communications of the Association for Information Systems 16: 5. [Google Scholar] [CrossRef]
- Gerwin, Donald, and Linda Moffat. 1997. Withdrawal of team autonomy during concurrent engineering. Management Science 43: 1275–87. [Google Scholar] [CrossRef]
- Gimeno-Arias, Fernando, José Manuel Santos-Jaén, Mercedes Palacios-Manzano, and Héctor Horacio Garza-Sánchez. 2021. Using PLS-SEM to analyze the effect of CSR on corporate performance: The mediating role of human resources management and customer satisfaction. An empirical study in the Spanish food and beverage manufacturing sector. Mathematics 9: 2973. [Google Scholar] [CrossRef]
- Godderis, Lode, and Jeroen Luyten. 2020. Challenges and opportunities for occupational health and safety after the COVID-19 lockdowns. Occupational and Environmental Medicine 77: 511–12. [Google Scholar] [CrossRef]
- Goodman, Paul S., Rukmini Devadas, and Terri L. Griffith Hughson. 1988. Groups and productivity: Analyzing the effectiveness of self-managing teams. In Productivity in Organizations. Edited by John P. Campbell and Richard J. Campbell. San Francisco: Jossey-Bass, pp. 295–325. [Google Scholar]
- Gunsel, Ayşe, and Atif Açikgöz. 2013. The effects of team flexibility and emotional intelligence on software development performance. Group Decision and Negotiation 22: 359–77. [Google Scholar] [CrossRef]
- Guzzo, Richard A., and Marcus W. Dickson. 1996. Teams in organizations: Recent research on performance and effectiveness. Annual Review of Psychology 47: 307–38. [Google Scholar] [CrossRef] [PubMed]
- Haenlein, Michael, and Andreas M. Kaplan. 2004. A beginner’s guide to partial least squares analysis. Understanding Statistics 3: 283–97. [Google Scholar] [CrossRef]
- Hair, Joe F., Marko Sarstedt, Christian M. Ringle, and Jeannette A. Mena. 2012. An assessment of the use of partial least squares structural equation modeling in marketing research. Journal of the Academy of Marketing Science 40: 414–33. [Google Scholar] [CrossRef]
- Hair, Joseph F., Christian M. Ringle, and Marko Sarstedt. 2013. Partial least squares structural equation modeling: Rigorous applications, better results and higher acceptance. Long Range Planning 46: 1–12. Available online: https://ssrn.com/abstract=2233795 (accessed on 30 April 2021). [CrossRef]
- Hair, Joseph F., G. Tomas M. Hult, Christian M. Ringle, and Marko Sarstedt. 2014. A Primer on Partial Least Square Structural Equation Modeling (PLS-SEM). Thousand Oaks: Sage. [Google Scholar]
- Hair, Joseph F., G. Tomas M. Hult, Christian M. Ringle, Marko Sarstedt, Julen Castillo Apraiz, Gabriel Cepeda Carrión, and Jose Luis Roldán. 2019a. Manual de Partial Least Squares Structural Equation Modeling (PLS-SEM). Terrassa: OmniaScience Scholar. [Google Scholar]
- Hair, Joseph F., Jeffrey J. Risher, Marko Sarstedt, and Christian M. Ringle. 2019b. When to use and how to report the results of PLS-SEM. European Business Review 31: 2–24. [Google Scholar] [CrossRef]
- Hajiali, Ismail, Andi Muhammad Fara Kessi, B. Budiandriani, Etik Prihatin, and Muhammad Mukhlis Sufri. 2022. Determination of Work Motivation, Leadership Style, Employee Competence on Job Satisfaction and Employee Performance. Golden Ratio of Human Resource Management 2: 57–69. [Google Scholar] [CrossRef]
- Hayes, Andrew F., Kristopher J. Preacher, and Teresa A. Myers. 2011. Mediation and the estimation of indirect effects in political communication research. In The Sourcebook for Political Communication Research: Methods, Measures and Analytical Techniques. Edited by Erik P. Bucy and R. Lance Holbert. New York: Routledge, pp. 434–65. [Google Scholar]
- Henseler, Jörg, Christian M. Ringle, and Rudolf R. Sinkovics. 2009. The use of partial least squares path modeling in international marketing. Advances in International Marketing 20: 277–320. [Google Scholar] [CrossRef]
- Holton, Elwood F., III. 1996. The flawed four-level evaluation model. Human Resource Development Quarterly 7: 5–21. [Google Scholar] [CrossRef]
- Huang, Jiatao, Hongbo Shi, and Wei Liu. 2018. Emotional intelligence and subjective well-being: Altruistic behavior as a mediator. Social Behavior and Personality: An International Journal 46: 749–58. [Google Scholar] [CrossRef]
- Hussain, T., and S. Asif. 2012. Is employees’ turnover intention driven by organizational committment and perceived organizational support? Journal of Quality and Technology Management 8: 1–10. [Google Scholar]
- Huy, Quy Nguyen. 1999. Emotional capability, emotional intelligence, and radical change. Academy of Management 24: 325–45. [Google Scholar] [CrossRef]
- Jeffery, J. Jeffery, Hannah M. Hollandsworth, Francesca J. Torriani, Randy Taplitz, Shira Abeles, Ming Tai-Seale, Marlene Millen, Brian J. Clay, and Christopher A. Longhurst. 2020. Rapid response to COVID-19: Health informatics support for outbreak management in an academic health system. Journal of the American Medical Informatics Association 27: 853–59. [Google Scholar] [CrossRef]
- Jonge, Jan, Hans Bosma, Richard Peter, and Johannes Siegrist. 2000. Job strain, effort-reward imbalance and employee well-being: A large-scale cross-sectional study. Social Science and Medicine 50: 1317–27. [Google Scholar] [CrossRef]
- Jordan, Peter J., and Ashlea C. Troth. 2004. Managing emotions during team problem solving: Emotional intelligence and conflict resolution. Human Performance 17: 195–218. [Google Scholar] [CrossRef]
- Kaminski, June. 2020. Informatics in the time of COVID-19. Canadian Journal of Nursing Informatics 15: 1. [Google Scholar]
- Kang, Su-Mi, and Sun Hyoung Ba. 2015. The mediating effect of emotional intelligence on the relationship between emotional labor and psychological well-being of clinical nurses. Journal of Muscle and Joint Health 22: 185–94. [Google Scholar] [CrossRef][Green Version]
- Kanste, Outi. 2011. Work engagement, work commitment and their association with well-being in health care. Scandinavian Journal of Caring Sciences 25: 754–61. [Google Scholar] [CrossRef]
- Karasek, Robert. 1998. Demand/Control model: A social, emotional, and physiological approach to stress risk and active behavior development. In Encyclopedia of Occupational Health and Safety. Edited by Jeanne Mager Stellman, Michael McCann, Leon Warshaw and Carole Dufresne. Geneva: International Labor Office, vol. 34, pp. 6–14. [Google Scholar]
- Kompier, Michiel. 2003. Job design and well-being. In The Handbook of Work and Health Psychology. Edited by Marc Schabracq, Jacques Winnubst and Cary Cooper. Chichester: Wiley, pp. 429–54. [Google Scholar]
- Koydemir, Selda, and Astrid Schütz. 2012. Emotional intelligence predicts components of subjective well-being beyond personality: A two-country study using self- and informant reports. The Journal of Positive Psychology 7: 107–18. [Google Scholar] [CrossRef]
- Langfred, Claus W. 2000. The paradox of self-management: Individual and group autonomy in work groups. Journal of Organizational Behavior 21: 563–85. [Google Scholar] [CrossRef]
- Leach, Desmond, Toby D.Wall, Steven G. Rogelberg, and Paul R. Jackson. 2005. Team autonomy, performance, and member job strain: Uncovering the teamwork KSA link. Applied Psychology: An International Review 54: 1–24. [Google Scholar] [CrossRef]
- Lee, Gwanhoo, and Weidong Xia. 2007. Relationships between software team flexibility, autonomy, diversity, and project performance. In The 67th Academy of Management Best 3 Paper Proceedings. Philadelphia: OCIS First Runner-up Best Paper Award. [Google Scholar] [CrossRef]
- Lei, Pui-Wa, and Qiong Wu. 2007. Introduction to structural equation modeling: Issues and practical considerations. Educational Measurement: Issues and Practices 26: 33–43. [Google Scholar] [CrossRef]
- Li, Xu, and Xue Zheng. 2014. Adult attachment orientations and subjective well-being: Emotional intelligence and self-esteem as moderators. Social Behavior and Personality: An International Journal 42: 1257–65. [Google Scholar] [CrossRef]
- Lin, Dana T., Cara A. Liebert, Jennifer Tran, James N. Lau, and Arghavan Salles. 2016. Emotional intelligence as a predictor of resident well-being. Journal of the American College of Surgeons 223: 352–58. [Google Scholar] [CrossRef]
- Liu, Shujie, and Anthony J. Onwuegbuzie. 2012. Chinese teachers’ work stress and their turnover intention. International Journal of Educational Research 53: 160–70. [Google Scholar] [CrossRef]
- Lu, Luo. 1999. Work motivation, job stress and employees’ well-being. Journal of Applied Management Studies 8: 61–72. [Google Scholar]
- Lu, Lu, Allan Cheng Chieh Lu, Dogan Gursoy, and Nathan Robert Neale. 2016. Work engagement, job satisfaction, and turnover intentions: A comparison between supervisors and line-level employees. International Journal of Contemporary Hospitality Management 28: 737–61. [Google Scholar] [CrossRef]
- Mathieu, John E., and Scott R. Taylor. 2006. Clarifying conditions and decision points for mediational type inferences in organisational behavior. Journal of Organisational Behavior 27: 1031–56. [Google Scholar] [CrossRef]
- Mayer, John D., and Peter Salovey. 1995. Emotional intelligence and the construction and regulation of feelings. Applied and Preventive Psychology 4: 197–208. [Google Scholar] [CrossRef]
- Mayer, John D., Donna M. Perkins, David R. Caruso, and Peter Salovey. 2000. Emotional intelligence and giftedness. Roeper Review 23: 131–37. [Google Scholar] [CrossRef]
- Morrow, Paula C. 1993. The Theory and Measurement of Work Commitment. Greenwich: Jai Press Inc. [Google Scholar]
- Nauman, Shazia, Usman Raja, Inam Ul Haq, and Waqas Bilal. 2019. Job demand and employee well-being: A moderated mediation model of emotional intelligence and surface acting. Personnel Review 48: 1150–68. [Google Scholar] [CrossRef]
- Nunnally, Jim C., and Ira H. Bernstein. 1994. Psychometric Theory, 3rd ed. New York: McGraw-Hill. [Google Scholar]
- Panaccio, Alexandra, and Christian Vandenberghe. 2009. Perceived organizational support, organizational commitment and psychological well-being: A longitudinal study. Journal of Vocational Behavior 75: 224–36. [Google Scholar] [CrossRef]
- Parasuraman, Saroj. 1982. Predicting turnover intentions and turnover behavior: A multivariate analisis. Journal of Vocational Behavior 21: 111–21. [Google Scholar] [CrossRef]
- Radic, Aleksandar, Juan M. Arjona-Fuentes, Antonio Ariza-Montes, Heesup Han, and Rob Law. 2020. Job demands–job resources (JD-R) model, work engagement, and well-being of cruise ship employees. International Journal of Hospitality Management 88: 102518. [Google Scholar] [CrossRef]
- Randall, Donna M., and Joseph A. Cote. 1991. Interrelationships of work commitment constructs. Work and Occupation 18: 194–211. [Google Scholar] [CrossRef]
- Reinartz, Werner, Michael Haenlein, and Jörg Henseler. 2009. An empirical comparison of the efficacy of covariance-based and variance-based SEM. International Journal of Research in Marketing 26: 332–44. [Google Scholar] [CrossRef]
- Rhoades, Linda, and Robert Eisenberger. 2002. Perceived organizational support: A review of the literature. Journal of Applied Psychology 87: 698–714. [Google Scholar] [CrossRef]
- Roy, Subhadip. 2008. Measuring formative constructs in management research: Definitions, distinctions and measurement. The Icfaian Journal of Management Research 7: 18–34. [Google Scholar]
- Sala, Fabio. 2005. Making the business case: Emotional intelligence competencies and important business outcomes. In Linking Emotional Intelligence and Performance at Work: Current Research Evidence. Edited by V. Druskat, F. Sala and G. Mount. San Francisco: Jossey-Bass. [Google Scholar]
- Salovey, Peter, Brian T. Bedell, Jerusha B. Detweiler, and John D. Mayer. 1999. Coping intelligently: Emotional intelligence and the coping process. In Coping: The Psychology of What Works. Edited by C. Snyder. New York: Oxford Psychology Press, pp. 141–64. [Google Scholar]
- Sánchez-Álvarez, Nicolás, Natalio Extremera, and Pablo Fernández-Berroca. 2016. The relation between emotional intelligence and subjective well-being: A meta-analytic investigation. The Journal of Positive Psychology 11: 276–85. [Google Scholar] [CrossRef]
- Santos-Jaén, José Manuel, Antonia Madrid-Guijarro, and Domingo García-Pérez-de-Lema. 2021. The impact of corporate social responsibility on innovation in small and medium-sized enterprises: The mediating role of debt terms and human capital. Corporate Social Responsibility and Environmental Management 28: 1200–15. [Google Scholar] [CrossRef]
- Sarstedt, Marko, Christian M. Ringle, and Joseph F. Hair. 2017. Partial Least Squares Structural Equation Modeling. In Handbook of Market Research. Kuala Lumpur: Pearson, pp. 1–40. [Google Scholar]
- Schaufeli, W., and A. Bakker. 2003. UWES—Work Engagement Scale. In Preliminary Manual. Utrecht: Utrecht University: Occupational Health Psychology Unit. [Google Scholar]
- Schaufeli, Wilmar B., Arnold B. Bakker, and Marisa Salanova. 2006. The measurement of work engagement with a short questionnaire: A cross-national study. Educational and Psychology Measurement 66: 701–16. [Google Scholar] [CrossRef]
- Schutte, Nicola S., and John M. Malouff. 2011. Emotional intelligence mediates the relationship between mindfulness and subjective well-being. Personality and Individual Differences 50: 1116–19. [Google Scholar] [CrossRef]
- Sethi, Rajesh. 2000. New product quality and product development teams. Journal of Marketing 64: 1–14. [Google Scholar] [CrossRef]
- Sharma, Pratyush Nidhi, Galit Shmueli, Marko Sarstedt, Nicholas Danks, and Soumya Ray. 2019. Prediction-oriented model selection in partial least squares path modeling. Decision Sciences 52: 567–607. [Google Scholar] [CrossRef]
- Shimazu, Akihito, Wilmar B. Schaufeli, Kimika Kamiyama, and Norito Kawakami. 2015. Workaholism vs. work engagement: The two different predictors of future well-being and performance. International Journal of Behavioral Medicine 22: 18–23. [Google Scholar] [CrossRef]
- Shook, Christopher L., David J. Ketchen, Jr., Cynthia S. Cycyota, and Dilene Crockett. 2003. Data analytic trends in strategic management research. Strategic Management Journal 24: 1231–37. [Google Scholar] [CrossRef]
- Shore, Lynn McFarlane, and Harry J. Martin. 1989. Job satisfaction and organisational commitment in relation to work, performance and turnover intentions. Human Relations 42: 625–38. [Google Scholar] [CrossRef]
- Sonnentag, Sabine. 1996. Work group factors and individual well-being. In Handbook of Work Group Psychology. Edited by Michael A. West. New York: Wiley, pp. 345–67. [Google Scholar]
- Suárez-Albanchez, Julio, Juan Jose Blazquez-Resino, Santiago Gutierrez-Broncano, and Pedro Jimenez-Estevez. 2021. Occupational health and safety, organisational commitment, and turnover intention in the Spanish IT consultancy sector. International Journal of Environmental Research and Public Health 18: 5658. [Google Scholar] [CrossRef]
- Suárez-Albanchez, Julio, Santiago Gutierrez-Broncano, Pedro Jimenez-Estevez, and Juan Jose Blazquez-Resino. 2022. Organizational support and turnover intention in the Spanish IT consultancy sector: Role of organizational commitment. Cogent Social Sciences 8: 2051790. [Google Scholar] [CrossRef]
- Sundstrom, Eric, Kenneth P. De Meuse, and David Futrell. 1990. Work teams: Applications and effectiveness. American Psychologist 45: 120–33. [Google Scholar] [CrossRef]
- Suto, Megumi, and Hitoshi Takehara. 2022. Employee-oriented corporate social responsibility, innovation, and firm value. Corporate Social Responsibility and Environmental Management 29: 765–78. [Google Scholar] [CrossRef]
- Taudien, S. 2019. La rotación laboral en España: Causas, datos e inconvenientes para las empresas. RRHHDigital. Available online: http://www.rrhhdigital.com/secciones/mercado-laboral/135288/La-rotacion-laboral-en-Espana-causas-datos-e-inconvenientes-para-las-empresas?target=_self (accessed on 30 April 2021).
- Timms, Carolyn, Paula Brough, Michael O’Driscoll, Thomas Kalliath, Oi Ling Siu, Cindy Sit, and Danny Lo. 2015. Flexible work arrangements, work engagement, turnover intentions and psychological health. Asia Pacific Journal of Human Resources 53: 83–103. [Google Scholar] [CrossRef]
- Urbach, Nils, and Frederik Ahlemann. 2010. Structural equation modeling in information systems research using partial least squares. Journal of Information Technology Theory and Application 11: 5–40. Available online: https://aisel.aisnet.org/jitta/vol11/iss2/2 (accessed on 30 April 2021).
- Van Mierlo, Heleen, C. Rutte, J. Vermunt, M. Kompier, and J. Doorewaard. 2006. Individual autonomy in work teams: The role of team autonomy, self-efficacy, and social support. European Journal of Work and Organizational Psychology 15: 281–99. [Google Scholar] [CrossRef]
- Van Mierlo, Heleen, C. Rutte, J. Vermunt, J. Kompier, and A. Doorewaard. 2007. A multi-level mediation model of the relationships between team autonomy, individual task design and psychological well-being. Journal of Occupational and Organizational Psychology 80: 647–64. [Google Scholar] [CrossRef]
- Vergara, Ana I., Natalia Alonso-Alberca, César San-Juan, Joaquín Aldás, and Laura Vozmediano. 2015. Be water: Direct and indirect relations between perceived emotional intelligence and subjective well-being. Australian Journal of Psychology 67: 47–54. [Google Scholar] [CrossRef]
- Williams, Larry J., Robert J. Vandenberg, and Jeffrey R. Edwards. 2009. Structural equation modeling in management research: A guide for improved analysis. Academy of Management Annals 3: 543–604. [Google Scholar] [CrossRef]
- Wong, Chi-Sum, and Kenneth S. Law. 2002. The effects of leader and follower emotional intelligence on performance and attitude: An exploratory study. The Leadership Quarterly 13: 243–74. [Google Scholar] [CrossRef]
- Yamazakia, Yoshitaka, and Sorasit Petchdee. 2015. Turnover intention, organizational commitment, and specific job satisfaction among production employees in Thailand. Journal of Business and Management 4: 22–38. [Google Scholar] [CrossRef]
- Ye, Jiancheng. 2020. The role of health technology and informatics in a global public health emergency: Practices and implications from the COVID-19 pandemic. JMIR Medical Informatics 8: e19866. [Google Scholar] [CrossRef]
- Zeidner, Moshe, and Dorit Olnick-Shemesh. 2010. Emotional intelligence and subjective well-being revisited. Personality and Individual Differences 48: 431–35. [Google Scholar] [CrossRef]
- Zhang, Hui-Hua, Rui Li, and Nicola S. Schutte. 2020. Friendship network mechanisms linking emotional intelligence and subjective well-being: Beyond a mediation model. The Journal of Social Psychology 160: 428–44. [Google Scholar] [CrossRef] [PubMed]



| Age | |
|---|---|
| 18–29 | 22.06% |
| 30–39 | 32.74% |
| 40–49 | 28.83% |
| 50–59 | 16.01% |
| More than 60 | 0.36% |
| Gender | |
| Men | 58.01% |
| Women | 41.99% |
| Education level | |
| Primary studies | 2.14% |
| Secondary studies | 22.78% |
| University studies | 42.34% |
| Post-graduate studies | 32.74% |
| Terms of employment | |
| Permanent contract | 87.19% |
| Temporary contract | 12.81% |
| Time of current company | |
| Less than 5 years | 54.09% |
| Between 5 and 10 years | 19.93% |
| Between 11 and 15 years | 11.74% |
| More than 15 years | 14.23% |
| Construct | Item | Mean | SD | Factor Loading | Cronbach’s Alpha | CR | AVE |
|---|---|---|---|---|---|---|---|
| Team autonomy/Organizational Support | B10(SQ001) | 3.534 | 1.183 | 0.774 | 0.908 | 0.926 | 0.612 |
| B10(SQ002) | 3.342 | 1.221 | 0.801 | ||||
| B10(SQ003) | 3.548 | 1.221 | 0.766 | ||||
| C10(SQ001) | 3.228 | 1.338 | 0.827 | ||||
| C10(SQ002) | 3.039 | 1.294 | 0.867 | ||||
| C10(SQ003) | 3.036 | 1.322 | 0.866 | ||||
| G10(SQ001) | 3.164 | 1.196 | 0.631 | ||||
| G10(SQ002) | 3.463 | 1.105 | 0.696 | ||||
| Self-emotion appraisal | D10(SQ001) | 4.128 | 0.869 | 0.826 | 0.857 | 0.905 | 0.705 |
| D10(SQ002) | 4.096 | 0.899 | 0.922 | ||||
| D10(SQ003) | 4.089 | 0.939 | 0.886 | ||||
| D10(SQ004) | 4.096 | 0.953 | 0.709 | ||||
| Others’ emotion appraisal | D11(SQ001) | 3.637 | 0.864 | 0.831 | 0.84 | 0.894 | 0.679 |
| D11(SQ002) | 3.940 | 0.914 | 0.876 | ||||
| D11(SQ003) | 4.057 | 0.893 | 0.714 | ||||
| D11(SQ004) | 3.786 | 0.818 | 0.864 | ||||
| Use of emotion | D12(SQ001) | 4.050 | 0.805 | 0.758 | 0.835 | 0.89 | 0.669 |
| D12(SQ002) | 3.911 | 0.920 | 0.790 | ||||
| D12(SQ003) | 4.046 | 0.957 | 0.870 | ||||
| D12(SQ004) | 4.181 | 0.801 | 0.849 | ||||
| Regulation of emotion | D13(SQ001) | 3.822 | 0.947 | 0.868 | 0.911 | 0.938 | 0.791 |
| D13(SQ002) | 3.808 | 0.906 | 0.927 | ||||
| D13(SQ003) | 3.452 | 1.072 | 0.837 | ||||
| D13(SQ004) | 3.758 | 0.898 | 0.922 | ||||
| Well-being | G11(SQ001) | 4.082 | 0.791 | 0.821 | 0.825 | 0.876 | 0.587 |
| G11(SQ002) | 3.801 | 0.904 | 0.764 | ||||
| G11(SQ003) | 3.833 | 0.835 | 0.740 | ||||
| G11(SQ004) | 3.263 | 1.008 | 0.720 | ||||
| G11(SQ005) | 3.712 | 1.003 | 0.783 | ||||
| Work engagement | I10(SQ001) | 3.633 | 0.905 | 0.909 | 0.868 | 0.919 | 0.790 |
| I10(SQ002) | 3.833 | 0.936 | 0.916 | ||||
| I10(SQ003) | 3.890 | 1.034 | 0.840 |
| Others’ Emotion Appraisal | Regulation of Emotion | Self-Emotion Appraisal | Team Autonomy/Organizational Support | Use of Emotion | Well-Being | Work Engagement | |
|---|---|---|---|---|---|---|---|
| Others’ emotion appraisal | 0.824 | ||||||
| Regulation of emotion | 0.359 | 0.889 | |||||
| Self-emotion appraisal | 0.349 | 0.418 | 0.840 | ||||
| Team autonomy/Organizational support | 0.219 | 0.274 | 0.196 | 0.782 | |||
| Use of emotion | 0.338 | 0.380 | 0.388 | 0.156 | 0.818 | ||
| Well-being | 0.377 | 0.492 | 0.454 | 0.365 | 0.503 | 0.766 | |
| Work engagement | 0.306 | 0.370 | 0.371 | 0.493 | 0.379 | 0.637 | 0.889 |
| Direct Effect | 95% Confidence Interval for Direct Effect | t Value | VAF | f2 | Significance (p < 0.05) | |
|---|---|---|---|---|---|---|
| Team autonomy and work support → Well-being | 0.196 | |0.093, 0.286| | 4.000 | 0.062 | Si | |
| Indirect Effect | 95% Confidence Interval for Indirect Effect | t Value | Significance (p < 0.05) | |||
| Team autonomy and work support → Emotional Intelligence → Well-being | 0.168 | |0.099, 0.234| | 4.905 | 0.462 | 0.528 | Si |
Publisher’s Note: MDPI stays neutral with regard to jurisdictional claims in published maps and institutional affiliations. |
© 2022 by the authors. Licensee MDPI, Basel, Switzerland. This article is an open access article distributed under the terms and conditions of the Creative Commons Attribution (CC BY) license (https://creativecommons.org/licenses/by/4.0/).
Share and Cite
Suárez-Albanchez, J.; Jimenez-Estevez, P.; Blazquez-Resino, J.J.; Gutierrez-Broncano, S. Team Autonomy and Organizational Support, Well-Being, and Work Engagement in the Spain Computer Consultancy Industry: The Mediating Effect of Emotional Intelligence. Adm. Sci. 2022, 12, 85. https://doi.org/10.3390/admsci12030085
Suárez-Albanchez J, Jimenez-Estevez P, Blazquez-Resino JJ, Gutierrez-Broncano S. Team Autonomy and Organizational Support, Well-Being, and Work Engagement in the Spain Computer Consultancy Industry: The Mediating Effect of Emotional Intelligence. Administrative Sciences. 2022; 12(3):85. https://doi.org/10.3390/admsci12030085
Chicago/Turabian StyleSuárez-Albanchez, Julio, Pedro Jimenez-Estevez, Juan Jose Blazquez-Resino, and Santiago Gutierrez-Broncano. 2022. "Team Autonomy and Organizational Support, Well-Being, and Work Engagement in the Spain Computer Consultancy Industry: The Mediating Effect of Emotional Intelligence" Administrative Sciences 12, no. 3: 85. https://doi.org/10.3390/admsci12030085
APA StyleSuárez-Albanchez, J., Jimenez-Estevez, P., Blazquez-Resino, J. J., & Gutierrez-Broncano, S. (2022). Team Autonomy and Organizational Support, Well-Being, and Work Engagement in the Spain Computer Consultancy Industry: The Mediating Effect of Emotional Intelligence. Administrative Sciences, 12(3), 85. https://doi.org/10.3390/admsci12030085
