Abstract
Agricultural soil fertility is a key determinant of crop productivity and long-term sustainability. However, intensive farming practices often require repeated passes of heavy machinery, which can lead to soil compaction. This study examines the interplay between tractor traffic, tire inflation pressure, and their effects on soil physical properties and fertility indicators. Tire pressure management emerges as a crucial mitigation strategy: high inflation pressures concentrate the load and exacerbate subsoil compaction, whereas reduced pressures (within safe limits) enlarge the tire–soil contact area, distributing the vehicle’s weight more evenly. This in turn improves traction, lowers ground pressure, and reduces energy losses. As a result, both the depth and severity of soil compaction are reduced. Further advances may be achieved through innovative tires manufactured with eco-sustainable materials and tread patterns specifically designed to enhance traction and minimize slippage-related energy loss. In this context, CREA conducted comparative field tests on two tractor tire models from the same manufacturer: a conventional design and an evolved version featuring an innovative tread and larger footprint. The trials assessed the impact of each tire on soil compaction, traction performance, and energy efficiency. Tests were performed on a silty-clay agricultural soil naturally settled for a year, using a dynamometric vehicle to apply different controlled traction force levels, combined with two inflation pressure settings. To highlight performance differences between the two models, the tractor was rear-ballasted, and the study focused on the rear axle, which carried most of the traction stress. Results indicated that, under the specific test conditions, at high inflation pressure both tires performed similarly (with the innovative model slightly reducing fuel use and the conventional yielding marginally higher maximum tractive force), whereas at low pressure the innovative tire clearly outperformed the traditional model in traction efficiency and caused less soil compaction. The extent of the benefits associated with using the innovative tire model across various soil conditions, moisture levels, and in the absence of rear ballasting will be evaluated in further tests based on traction force control using the proposed testing system.
1. Introduction
Intensive farming practices often involve the repeated passage of heavy and powerful machinery, leading to increased compaction not only on the surface but also in deeper layers of soil. This also leads to a reduction in soil fertility, a critical determinant of crop productivity and sustainability [1,2]. Such machinery is equipped with bigger tires with large footprint in order to exert higher traction forces, especially in cohesive soils, and to limit soil compaction, which represents a major threat to soil structure and quality [3,4,5]. Soil compaction is defined as the reduction in pore space with a consequent increase in bulk density, which reduce water and air flow and increase the resistance to penetration of the soil, consequently reducing root biomass [6,7,8]. Mechanical intervention is often necessary for recovering deep compacted layers (subsoiling), requiring high-power equipment and high energy demands [9,10,11,12,13].
Tractive forces generate normal and shear stresses in the soil. The former depends on the combination of the tractor’s weight and the tire’s footprint, while the latter is determined by the soil’s shear strength and determines the longitudinal deformation of the soil, which is the main factor contributing to tractor slippage (speed reduction), which in turn is responsible for the traction power losses [14].
The aforementioned drawbacks are mainly due to the use of agricultural tractors as a power source for multiple operations. In order to limit negative effects on the soil, tractors have been progressively equipped with devices aimed to convert chemical energy (fuel) into mechanical work (drawbar pull) with minimal loss. This process is governed by two main stages: the transmission efficiency (internal) and the tractive efficiency (external).
As for the transmission efficiency, the architecture of the drivetrain determines how power reaches the wheels or tracks. The most important transmission systems introduced in modern tractors to increase the tractive efficiency are the Continuously Variable Transmissions (CVTs) and the Full Powershift (FPS). CVTs, by combining hydraulic and mechanical paths, allow the engine to stay in its most efficient RPM range regardless of ground speed [15]. Research shows that fuel efficiency in CVTs improves as velocity and drawbar load increase [16]. While robust, FPS systems can suffer from higher energy losses due to friction and hydraulic drag, especially in higher gears [17], Strapasson et al., (2022) [18] found that mechanical Powershift transmissions can be more efficient in pure traction tasks. However, modern electronic control systems (e.g., Vario Drive) compensate the gap by managing torque distribution between axles to prevent loss of grip.
Once power reaches the final drive, the interaction between soil and propulsion organs (tires or tracks) determines how much of that power becomes “useful work” versus “lost energy” (slip). The slippage can be decreased by increasing tractor mass, which hoever causes greater soil compaction, or by increasing the contact area between the soil and tire [19,20]. Regarding the rubber tracks, Cutini et al. (2015) [21] highlighted that they provide a vastly superior “net traction ratio” compared to wheels, especially on soft soils. This is because tracks distribute weight over a larger area, reducing the depth of the “rut” and the energy required to climb out of it (rolling resistance).
In this regard, many solutions have been proposed by manufacturers, including the use of low pressure tires with larger diameters, that provide higher traction performance [22,23]. Lowering pressure to 0.6–0.8 bar increases the contact patch, mimicking some benefits of a track system by reducing slip and protecting soil structure [24]. The adoption of this solution is significantly simplified by the integration of Central Tyre Inflation Systems (CTIS), which enable the optimization of the net traction ratio by dynamically adapting the contact patch to varying soil cohesion conditions. This leads to a significant reduction in wheel slip which translates into measurable energy savings of up to 10% in specific fuel consumption [25]. The use of ballast is a primary method for increasing tractor traction capacity. Commonly, ballasting is applied to the front axle to counteract the weight transfer that occurs during towing, which tends to lighten the front end [26]. The tractor’s mass can be increased through liquid ballasting (filling tires with water) [27] or by attaching cast-iron weights to the wheel hubs. While these systems enhance traction performance by reducing energy losses due to wheel slip [28], they also add significant mass. In contexts other than field operations, such as road transport or light duty tasks—which are frequent in areas with high farm fragmentation—this additional weight requires more energy to be moved. To address this, quick-release ballasting systems have become essential. Usually mounted on the front hitch, these allow the operator to quickly attach or detach weights according to the specific task. This modularity ensures the tractor remains heavy enough for high-draft field work to maximize efficiency, yet light enough for road travel to minimize fuel consumption and tire wear. The recent evolution of ballasting focused on optimizing the center of gravity and the weight-to-power ratio. Various studies [29,30] demonstrated that the position of the ballast is as crucial as its weight. Mobile or extendable ballasting allows for real-time adjustments to maximize tractive efficiency and minimize soil damage.
The performance of agricultural tires involves the effects on soil compaction, the properties of traction performance, slip, and rolling resistance [31,32,33,34,35]. They can be determined at a fixed point, utilizing devices capable of adjusting the load conditions and simulating the contact with several tractive surfaces, directly mounting the tires on a tractor, or on a mobile test bench made up of a dynamometric single axle trailer pulled by a tractor [36,37,38,39,40,41,42,43]. Such a device can be used both in rolling resistance tests (driven wheels) and in traction performance tests (driving wheels) and allows to avoid the interaction of factors not directly connected with the tires to test [44,45,46].
This study investigates the complex interplay between agricultural vehicle traffic, tire inflation pressure, and subsequent effects on soil physical properties and fertility indicators. The role of tire pressure management is crucial as a compaction primary mitigation strategy, also from a tractor driver health perspective [47,48]. High tire inflation pressure significantly determines the tractor traction capacity but concentrates the load, increasing subsoil compaction and reducing porosity, which negatively impacts water infiltration, aeration, and root growth, depending on soil load-bearing capacity. In contrast, operating with reduced tire pressure (within safe limits) demonstrably increases the tire’s contact area, leading to a wider distribution of the vehicle’s weight and, crucially, a decrease in ground pressure [49]. This practice is shown to significantly lessen compaction depth and severity. Experimental results confirm that soils subjected to lower tire pressure maintain better structural integrity, exhibit improved bulk density and porosity values, and consequently support greater microbial activity and nutrient cycling [50]. These findings underscore the economic and environmental benefits of adopting low-pressure tire technology and Controlled Traffic Farming (CTF) principles to enhance long-term soil resilience and agronomic performance [51,52,53]. This suggests that precision tire pressure management is an essential component of sustainable agriculture aimed at preserving and improving soil health [24,54]. In addition to inflation pressure, the interaction between the tire and the ground can be improved by designing the tread to increase both the contact surface with the ground and the traction capacity, resulting in a further reduction of the specific load on the soil and less slippage during operations, with a lower impact on the structure of the most superficial layer of soil.
In this context, CREA conducted experimental comparison tests between two models of agricultural tractor tires produced by the same manufacturer. The first was a traditional model, while the second was an evolution of the first, featuring an innovative tread and large footprint. The tests aimed at comparing the effects of the two tires’ passage on soil compaction, their traction capabilities, and the effects of the latter in terms of energy saving. For each tire, a series of passes was conducted on silty-clay agricultural soil that had naturally settled for one year. These tests were performed at various draft force levels—controlled via a dynamometric vehicle—and at two distinct inflation pressures. To accentuate performance differences between the models, the tractor was equipped with rear ballast, thereby focusing the analysis on the rear tires which bore the highest tractive stress. In summary, under the specific experimental conditions, the innovative tire demonstrated superior tractive efficiency and a reduction in soil compaction compared to the conventional model (Details in Section 3).
2. Materials and Methods
The tests were carried out in June 2024 at the experimental farm of CREA in Monterotondo (Rome, Italy; 42°5′51.26″ N, 12°37′3.52″ E; 24 m a.s.l.). The objective was to comparatively evaluate the tractive performance of two tractor tire models of identical size, their respective energy requirements, and the different effects of their passage on soil compaction. For this purpose, the two tire models, mounted on a tractor, were subjected to drawbar pull tests on agricultural soil, with traction force values set using a dynamometric vehicle. Both the tractor and the vehicle were fully instrumented as components of a mobile laboratory, which is described in detail below.
2.1. Tires Under Test
Both sets of tires under test belong to the TM 700 series, manufactured by Trelleborg TWS (currently part of Yokohama TWS, Tivoli, Italy). Both models are radial-type and suitable for medium-power tractors. The first set (hereinafter Tire Set A), the TM 700 PT “Blue Tire” (where PT stands for Progressive Traction), is an innovative type, designed according to the Blue Tire technology with the aim of increasing efficiency. The second set (Tire Set B) consists of the base version TM 700. The main characteristics of the tires are reported in Table 1. While the tractor was alternately fitted with two full sets of tires, the research primarily examined the performance of the rear tires, given that they withstand the highest loads during field work.
Table 1.
Main characteristics of the two tested tire models.
According to the manufacturer, the “Blue Technology” combines enhanced environmental sustainability with improved performance, focusing on several key aspects:
- Respect for the soil: Blue tires feature a wider footprint and a flexible carcass for optimal tractor weight distribution. This is expected to reduce soil compaction, thereby preserving soil structure and organic life, which can positively impact crop yields;
- Increased productivity and cost reduction: This is achieved through superior traction and lower rolling resistance, leading to significant fuel savings and a reduction in emissions. The improved efficiency is intended to allow tasks to be completed in less time;
- Eco-friendly materials and production processes: The “Blue” approach also incorporates the use of more sustainable materials and low-impact manufacturing processes, such as the utilization of eco-friendly oils;
- Enhanced comfort: Comfort is increased by reducing vibration levels through a specialized tread design and greater carcass flexibility.
Based on these factors, the TM 700 PT “Blue Tire” represents an advanced and optimized version of the TM 700, integrating the principles of “Blue Technology” to promote a more sustainable and productive agricultural system. Both the standard Trelleborg TM 700 and the TM 700 “Blue” (often referenced as the TM 700 PT, where PT denotes Progressive Traction, a component of “Blue Technology”) remain commercially available.
2.2. Mobile Laboratory
The tests were performed using a mobile laboratory specifically developed at CREA for the study of the in-field performance of tractors and operating machinery [55,56]. In this instance, the laboratory comprised three units (Figure 1): an instrumented tractor (on which the two tire models were alternately mounted), an active dynamometric vehicle capable of generating the desired drawbar pull values, and a field-side van housing a data acquisition system that receives, displays in real-time, and processes the test data. The three units were interconnected via radio-modem, exchanging data to monitor the correct progress of the test in real time [57].
Figure 1.
The three radio-connected units that make up the mobile laboratory. From left: (1) The field-side support unit, whose PC receives sensor data. (2) Ballasted truck used as an active dynamometric vehicle. (3) Sensorized tractor equipped with the tires being tested and the 1800 kg additional ballast visible at the three-point linkage.
2.2.1. Tractor
The two pairs of tires were tested using a Landini Legend 145 (Reggiolo, Italy), a four-wheel-drive tractor with a rated power of 103 kW. The vehicle’s total mass was 6230 kg, which included 200 kg of front-mounted ballast secured to a dedicated support frame. As previously stated, because the study focused on the rear tires, the tractor was ballasted with 1637 kg on the three-point hitch to increase both the load acting on them and their tractive capability. Consequently, the total mass acting on the tires amounted to 7867 kg, distributed under static conditions as 2037 kg on the front axle and 5830 kg on the rear axle. As the field unit of the mobile laboratory, the tractor was equipped with the following instrumentation:
- Volumetric fuel consumption meter (developed at CREA) integrated into the fuel supply circuit (Figure 2a);
Figure 2. Sensors installed on the tractor. (a) Volumetric fuel consumption meter; (b) digital encoder on the tractor’s rear wheel hub; (c) load cell-equipped drawbar; (d) one of the two photocell barriers that delimit the test area and signal the start/stop of data acquisition. - Incremental encoder (Tekel TK510, Turin, Italy) mounted on the rear axle to measure wheel peripheral speed (Figure 2b);
- Instrumented drawbar with a load cell rated for 100,000 N (AEP Transducers TC4, Modena, Italy) (Figure 2c).
All sensors were connected to an onboard data acquisition system consisting of a PC equipped with a PCI card featuring eight digital and eight analog channels, operating at a frequency of 5 Hz. An in-cab monitor allows the operator to monitor all measured parameters in real time. As previously noted, this system communicated via radio frequency with the field-side van PC and the dynamometric vehicle, to which it transmitted the collected data.
2.2.2. Dynamometric Vehicle
It is a military truck, a Fiat 6605 N from 1970, six-wheel drive, converted into a dynamometric vehicle in 2013 [58]. This solution for conducting tractive test has also been adopted by other researchers [59]. The vehicle is equipped with a 14,000 cm3 diesel engine delivering 165 kW at 1900 min−1; a mechanical gearbox with a reduction gear, providing eight forward gears (four standard and four reduced) and two reverse gears (standard and reduced); a drum braking system with pneumatic control; and radial tires sized 14.00 R20. The total vehicle mass is 11,800 kg, with a payload capacity of 5000 kg on the load platform. For traction tests with non-sensorized tractors, an acquisition system identical to that of the instrumented tractor is installed in the cabin, connected via radio to the field-side van and, in this case, also to the tractor. A monitor enables the driver to check all test parameters in real time. The vehicle operates as a dynamometric unit by being towed by the tractor using the sensorized drawbar shown in Figure 2c. To increase towing resistance in this study, an additional 5000 kg (equal to the payload capacity) was loaded onto the platform, resulting in a total mass of 16,800 kg towed by the tractor. Similar to the tractor operator, the driver of the dynamometer vehicle can monitor all test parameters in real time via an on-board display. Furthermore, the two operators communicate via two-way radios. This coordination allows them to adjust the system’s forward speed and tractive force by modulating the tractor’s accelerator and the dynamometer vehicle’s throttle, gears, and brakes, respectively. Once the target values are achieved, they are maintained for the duration of the run. This adjustment phase is completed before the vehicles enter the designated test area.
2.2.3. Field-Side Support Unit
It consists of a standard van whose load compartment has been modified to accommodate a monitoring station for test supervision and data processing. A PC installed inside the van communicates with the computers of the field units (tractor and dynamometric vehicle). The van is also equipped with a generator set and a range of instruments and devices for field surveys, essential for evaluating the quality of work performed during tests on agricultural machinery for operations such as tillage and sowing.
2.3. Characteristics of the Test Ground
The test site, situated near the Tiber River, is characterized by flat fluvio-alluvial terrain (<1% slope) (Figure 3) normally used for the rotation of autumn and spring-sown crops.
Figure 3.
Test site localization based on the Soil Map of the Lazio Region [60].
Therefore, this is agricultural land whose nature requires conventional tillage with deep plowing and periodic subsoiling using a mole plow down to 80 cm to facilitate water drainage into the surrounding ditch system. Its profile, recorded in previous studies and summarized in Table 2, is characterized by a surface horizon (0) rich in organic debris at various stages of decomposition, followed by the Ap horizon. This latter corresponds to the layer tilled by plowing (up to approximately 50 cm), containing humified organic matter and subject to leaching. Below a depth of 50 cm, the Bt horizon begins; this is the accumulation zone for mainly clay particles from the upper layer and is characterized by the presence of a plow pan, with maximum compaction between 60 and 70 cm. At a depth of 120 cm, a transition horizon begins, Btg/Cg, influenced by seasonal water table fluctuations and showing signs of oxygen deficiency.
Table 2.
Soil profile of the test field.
Table 3 presents the characterization of the soil structure and its behavior in relation to water content (Atterberg limits). The reported values reflect the previous observations regarding its profile; based on these, the soil is classified as silty clay according to the USDA soil classification system [61] and has a plastic limit of PL = 40.30%.
Table 3.
Texture and Atterberg limits of the soil.
Approximately one year prior to the tests, the experimental field underwent deep plowing followed by harrowing and was then left to settle naturally. Here, a series of 50-m test strips were established. Each strip was delimited by two electronic barriers that, upon the tractor’s passage, triggered the start and end of data acquisition via a radio signal sent to the tractor’s acquisition system. Table 4 presents the measured soil characteristics.
Table 4.
Soil characteristics measured before and after the trials, including standard methods, references, and instruments used.
Eight replicates were performed for all measurements, and the resulting values were used to characterize the overall experimental field. Soil moisture, consistency index, dry bulk density, and void ratio were recorded at two depths: 0–100 mm and 100–200 mm. These parameters were also analyzed separately for the two plots designated for the TA and TB trials to identify any differences in baseline soil conditions that should be considered when comparing the two tire models. Penetration resistance was measured to a depth of 80 cm (the instrument’s limit) at a constant penetration rate of 3 cm s−1. The cone index (CI) profiles for the entire explored depth were plotted in diagrams, while the datasets were summarized in tables and structured for statistical analysis to assess the significance of differences with pre-traffic measurement and between TA and TB.
2.4. Test Method
The tests involved towing the dynamometric vehicle with the tractor (with the differential locked), fitted with the tires under examination, across firm, level agricultural land, using the sensorized drawbar (Figure 2c). Table 5 presents the variables defining the comparisons or treatments, together with the abbreviations adopted hereafter, as well as the inflation pressure and traction force values applied during the trials. The use of the dynamometric vehicle ensured the acquisition of repeatable mean traction force values, thereby enabling a reliable comparison of the performance of the two tire models.
Table 5.
Summary of the test conditions and abbreviations adopted.
All runs were conducted on a 50-m test track, delimited by photoelectric barriers (Figure 2d). These barriers signaled the start and end of the track to the acquisition system, thereby enabling precise identification of the dataset relevant for evaluation. With reference to the 50-m test track, Table 6 presents the parameters directly measured by the instrumentation during the tests, as well as those derived from them.
Table 6.
Measured and derivative parameters considered in drawbar pull tests referred to the 50-m base.
With the exception of speed, slip, power, and energy, the remaining derived parameters reported in Table 6 are expressed per unit of surface area (ha) hypothetically worked. This reference was considered more reliable for comparing the performance of different tire/inflation pressure combinations. The approach required defining the working width of the hypothetical implement, with the length corresponding to the 50-m distance covered by the tractor during each pass. In this study, a working width of 2 m was adopted, corresponding to a wide range of agricultural machines driven by a medium-power tractor, resulting in a worked surface of 100 m2 per pass. Based on these data, parameters such as fuel consumption, traction energy demand, and energy dissipated due to slip were normalized to 1 ha.
For each test condition (defined by tire model and inflation pressure), four runs were performed, always on undisturbed soil, by applying to the tractor-dynamometric vehicle system the traction force values reported in Table 5, up to a maximum of 4900 daN, while recording the corresponding slip. Each traction force/slip curve was defined by at least six points. Four repetitions were performed for each point of this curve. Power and slip data were then used to estimate differences in energy requirements and losses associated with the two tire models.
Finally, measurements of soil moisture and penetrometric surveys were conducted to highlight differences in soil compaction related to tire model and/or inflation pressure [73,74]. For this purpose, additional tractor’s runs were executed. Measurements were first taken on undisturbed soil and then, after a single tractor pass, within the tire tracks left by the tire (specifically at the bottom imprinted by the lug). Each measurement provided penetration resistance values (MPa) across the 0–80 cm soil profile, recorded at 1 cm intervals. Measurements were repeated four times for each test condition, i.e., the four-tire model-inflation pressure combinations. The resulting diagrams were compared with those obtained from undisturbed soil prior to testing.
2.5. Data Analysis
Statistical descriptors were calculated for all results obtained from the traction tests and measurements of soil characteristics. The average values of the most significant parameters were used to plot the following diagrams: tractive force vs. slip, fuel consumption per unit area vs. tractive force, energy dissipated by slip per unit area vs. tractive force and overall energy required per unit area vs. tractive force. Regression curves were fitted to the resulting data, including the equations and their respective R2 values. Statistical descriptors and diagrams were also obtained for the penetrometric measurement dataset. Additionally, these data were analyzed using multifactorial ANOVA, followed by Tukey’s pairwise test, to assess the significance of differences among the various test conditions. Differences were considered statistically significant at p ≤ 0.05. All statistical analyses were performed using R software, version 4.3.3.
3. Results and Discussion
3.1. Measurements Prior to the Tests on Undisturbed Soil (U.S.)
The main statistic indicators of the measurements on undisturbed soil (u.s.) are reported in Table 7. In general, the soil appeared quite uniform across all measured parameters, with only moderate variations between the two plots. The site was characterized by an average vegetation cover of 28% and a low surface roughness (28.5 mm). Soil moisture was 21.4% in the 0–100 mm layer, increasing to 22.8% in the 100–200 mm layer; this trend was reflected in the dry bulk density values, which were higher in the deeper layer. The consistency index (Ci), calculated from the measured water content and Atterberg limits (Table 3), decreased with depth. However, Ci values remained significantly above 1.0 [63] indicating a very stiff soil consistency.
Table 7.
Results of measurements carried out on undisturbed soil.
Figure 4 shows the average cone index profiles us_mean_TA and us_mean_TB, (each resulting from eight measurements) observed, respectively, in the plots designated to host the TA and TB tests and the overall profile of the test field (us_mean) defined by the average of us_mean_TA and us_mean_TB. Although the trend of the three profiles is similar, it can be noted that us_mean_TA follows a higher trajectory than us_mean_TB, particularly in the depth layers of 0–25 cm and >50 cm. This trend is consistent with the minor differences observed in the average cone index and void ratio values measured across the TA and TB plots, as reported in Table 7.
Figure 4.
Average cone index profiles versus depth before the transit of the tires under test: u.s._TA_mean refers to the plot where TA was tested; u.s._TB_mean refers to the plot where TB was tested; u.s._mean is the average profile of the test field. The penetration rate adopted was 3 cm s−1.
3.2. Traction Tests
Regarding the measured and derived parameters reported in Table 6, Table 8 presents only the statistical descriptors (mean, standard deviation, and coefficient of variation, CV) of the parameters most significant for the comparative evaluation of tire performance. With the exclusion of traction force, the other parameters were calculated by means of the relations reported in Table 6 and their values were obtained by applying the traction force values reported in Table 5. Actual traction force values deviated from the targets due to coarse regulation of the dynamometric vehicle. Most deviations remained low—between 0.088% and 6.08%, though a maximum deviation of 18.52% was recorded for TAP2/1200daN. Nevertheless, the very low standard deviations and CVs observed indicate high repeatability among the four test replicates under each condition. These indications can be extended to all other parameters, for which generally low standard deviation and CV values are observed. Only consumption per unit area shows relatively greater variability, likely linked to the sensitivity of the instrument. However, average consumption values can be considered reliable, given the increasing energy demands driven by the rise in tractive force. As to the speed, it progressively decreases from the value of 1.7 m·s−1 set in self-displacement as a consequence of the increase of the traction force and slip. Based on the data in Table 8, curves were first plotted for the four combinations TA-P1, TA-P2, TB-P1, and TB-P2 resulting from the two tire models (TA and TB) and the two inflation pressures (P1 and P2). In addition to the dashed lines connecting the experimental points, the trend curves and their corresponding regression functions are also reported. From the options available in Microsoft Excel, the function type that best described the real trend within the experimental range, yielding the highest R2 value, was selected for each case and subsequently used to compare the performance of the two tire models. This approach allows for an easier comparison between the trends of the curves being compared. The diagrams in Figure 5 and Figure 6 show the cross-comparison between the four combinations. In all cases, the traction force/slip curves follow similar regular trends and are well-fitted by the regression functions reported within the diagrams. The latter can therefore be used to compare performance across various combinations at the same slip or traction force, effectively neutralizing the aforementioned deviations between actual traction force and target values.
Table 8.
Statistical descriptors of the main parameters considered for evaluating the traction performance of the TA and TB tires at the two inflation pressures.
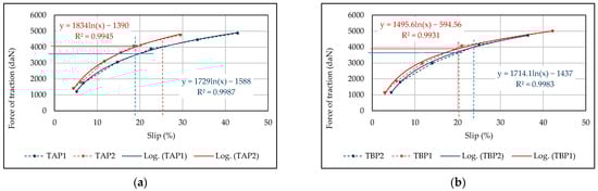
Figure 5.
Variations of tractive force as a function of slip: (a) comparison between TA and TB at P1; (b) comparison between TA and TB at P2. Solid horizontal lines indicate the tractive force corresponding to 20% slip. Dashed vertical lines indicate the values of slip corresponding to 4000 daN tractive force.
Figure 6.
Variations of tractive force as a function of slip: (a) comparison between the behaviors of TA at P1 and P2; (b) comparison between the behaviors of TB at P1 and P2. Solid horizontal lines indicate the tractive force corresponding to 20% slip. Dashed vertical lines indicate the values of slip corresponding to 4000 daN tractive force.
Figure 5a and Figure 5b show the comparison between TA-P1/TB-P1 and TA-P2/TB-P2, respectively. The performance of the two tires at P1 (1.2 bar) follows similar trajectories, with a slightly better behavior for TB, which shows higher tractive force at the same slip (s). In this case, the logarithmic regression functions reported in the diagrams were used to interpolate the experimental data, consistently yielding high R2 values. Based on these models, it can be observed, for instance, that at a slip of s = 20%, the tractive force (Ft) is 3590 daN for TA-P1 and 3697 daN for TB-P1. Conversely, for the same traction force, the slip is greater for TA than for TB. For example, for Ft = 4000 daN, s = 23.85% for TB and s = 25.4% for TA. Decreasing the inflation pressure to P2 (1 bar), the behavior is inverted, and the performance of TA-P2 is increasingly superior as the traction force increases.
Reverting to the two previous examples, for s = 20%, Ft is 4104 daN for TA-P2 and 3885 daN for TB-P2, while for Ft = 4000 daN, s = 18.9% is obtained for TA-P2 and s = 21.6% for TB-P2. Corresponding to the maximum measured Ft value for TA-P2, (Ft = 4816 daN) with s = 29.50%, TB-P2 would yield s = 39%, approximately a 10% higher slip, which would mean extreme working conditions for TB. The comparisons TA-P1/TA-P2 and TB-P1/TB-P2, respectively, in Figure 6a,b, show that the reduction in inflation pressure leads to a more pronounced improvement in the performance of TA compared to TB, as expected, considering that the TA-P1 performance was lower than TB-P1. Furthermore, the differences between TB-P1 and TB-P2 decrease at increasing Ft and slip values.
The criteria presented in the preceding examples (specifically: values of Ft calculated at 20% slip and slip values calculated for Ft = 4000 daN by means of the regression functions) were applied to all the tire-pressure combinations of Figure 5 and Figure 6. Table 9 shows the results of calculations together with the variations in traction force and slip were related to TB-P1 considered as the standard combination. Adopting the lower inflation pressure (P2) improved the traction performance of tires TB and TA by 5.1% and 11%, respectively, under the same 20% slip condition. Furthermore, at a constant 4000 daN traction force, the reduction in slip was 6.8% for TB and 20.4% for TA. Given that the 20% slip and the 4000 daN traction force are conditions frequently encountered in agricultural operations, these results suggest that utilizing lower inflation pressures can lead to significant reductions in energy losses. This action effectively extends the tire’s operational range, allowing higher traction forces while maintaining slip within economically acceptable limits. Regarding the specific comparison between TA and TB, the diagrams in Figure 5 and Figure 6 and the data in Table 9 show, as previously mentioned, that at the higher pressure (P1), the innovative tire TA performs worse than TB. However, at the lower pressure (P2), this trend is inverted, and TA becomes significantly more performant than TB.
Based on what was just observed regarding the traction force vs. slip relationship, among the derivative parameters reported in Table 8, the specific fuel consumption, the specific energy (for traction), and the specific energy losses (due to slip) were selected to provide further insights into the use of TA and TB tires at the two pressures, P1 and P2. As already explained in point 2.4, for these parameters, the adjective “specific” indicates that they are referred to the unit of surface area (ha). Each selected parameter was then plotted in diagrams against the traction force that determined it, in order to obtain a comprehensive assessment of the trend it followed in the four combinations TA-P1, TB-P1, TA-P2, and TB-P2. For the comparison among the combinations, following the same scheme as in Figure 5 and Figure 6, we have:
- Figure 7 and Figure 8: Curves and exponential regression functions of the specific fuel consumption per hectare of area, Csha, as a function of the traction force;
Figure 7. Fuel consumption per hectare of surface (Csha) as a function of tractive force. (a) Comparison between TA and TB at P1; (b) comparison between TA and TB at P2.
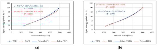
Figure 8. Fuel consumption per hectare of surface (Csha) as a function of tractive force. (a) Comparison between TA at P1 and at P2; (b) comparison between TB at P1 and at P2. - Figure 9 and Figure 10: Curves and fifth-degree polynomial regression functions of the specific energy per hectare of area dissipated due to slip, Esha, as a function of the traction force;
Figure 9. Specific energy losses for slip per hectare of surface (Esha) as a function of the tractive force. (a) Comparison between TA and TB at P1; (b) comparison between TA and TB at P2.
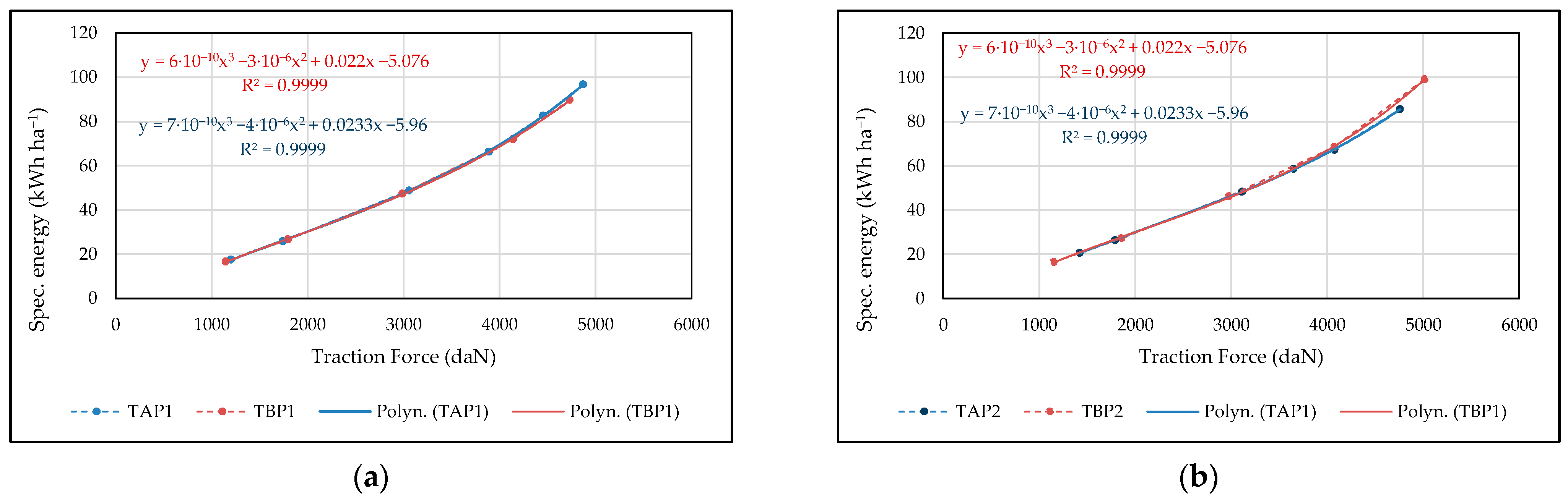
Figure 10. Specific energy losses for slip per hectare of surface (Esha) as a function of the tractive force. (a) Comparison between TA at P1 and at P2; (b) comparison between TB at P1 and at P2. - Figure 11 and Figure 12: Curves and third-degree polynomial regression function of the overall specific energy (required by traction + slip) per hectare of area, Etha, as a function of the traction force.
Figure 11. Overall specific energy (traction + slip losses, Etha) per hectare of surface against tractive force. (a) Comparison between TA and TB at P1; (b) comparison between TA and TB at P2.
Figure 12. Overall specific energy (traction + slip losses, Etha) per hectare of surface against tractive force. (a) Comparison between TA at P1 and at P2. (b) Comparison between TB at P1 and at P2.
For all three parameters, a trend is observed that is strictly linked to that of the traction force in Figure 5 and Figure 6, which also confirms the ranking of merit for the four combinations, where:
- TA-P1 and TB-P1, for the same traction force, consistently exhibit a very similar trend. However, while Csha (Figure 7a) is initially slightly better for TB-P1 than TA-P1, with differences narrowing as the traction force increases, a slightly better performance for TB-P1 is observed for Esha and Etha (Figure 9a and Figure 11a). The counter-trend behavior of Csha could be the result of a more efficient interaction between the surface of the innovative tire and the soil;
- TA-P2 is always better than TB-P1 (Figure 8b, Figure 10b and Figure 12b) and all the other combinations. This indicates that the pressure reduction from P1 to P2 enhances the tractive characteristics of TA, making it highly performant both compared to itself at P1 and compared to TB at both pressures.
Just as was done with Table 9 for the traction force as a function of slip, an elaboration was also performed for Csha, Esha, and Etha. Starting from the operational hypothesis of a traction force Ft = 4000 daN and a working width L = 2 m, the values of the aforementioned parameters for the different tire-pressure combinations were calculated using the regression functions reported in their respective diagrams (Figure 7, Figure 8, Figure 9, Figure 10, Figure 11 and Figure 12). In addition to these values, Table 10 also reports the differences, calculated in absolute and percentage terms, between each combination and TB-P1, which is taken as the reference. The data reflect the previous comments on the performance of the four combinations and provide an order of magnitude of the effects resulting from the use of both TA and TB, and the adoption of P1 and P2. As previously stated, under the hypothesized working conditions, the following is observed:
Table 10.
Values of specific fuel consumption, Cha, specific energy losses, Esha, and specific overall energy, Etha, at constant traction of 4000 daN, calculated for all tire-pressure combinations using the regression functions reported in Figure 7, Figure 8, Figure 9, Figure 10, Figure 11 and Figure 12. For each parameter the differences with the values of reference combination (TB-P1, underlined) are also reported.
- Comparison TA vs. TB. At the higher pressure (P1): The differences found between the two models are minor. A slight reduction in consumption (Csha) is observed for TA (−0.4 kg ha−1, equal to −1.4%) compared to TB, and, concurrently, a slight increase in the total energy (Etha) is noted 0.79 kWh ha−1, equal to + 1.15%. At the lower pressure (P2) TA performs better than TB, resulting in a fuel saving of 12.99% compared to the 2.24% saving of TB relative to the reference TB-P1. Similarly, for the energy dissipated due to slip (Esha) and the total energy (Etha), the reduction relative to TB-P1 is respectively 21.98% and 4.21% for TA, compared to 13.37% and 2.48% for TB; the adoption of the lower pressure (P2) leads to an improvement in traction performance for both tire models, with a reduction in fuel consumption and energy losses dissipated due to slip. This improvement is particularly evident for TA and can be quantified using the data in Table 10. Taking TA-P1 as the reference condition, adopting the lower pressure resulted in reductions of 11.65%, 26.45%, and 5.29% in fuel consumption per hectare, energy loss due to slip per hectare, and total energy requirements per hectare, respectively, while the slip decreases approximately by 25% (from 25.5% to 18.8%, Figure 5a,b). The performance improvement is less evident for TB, where adopting P2 induces a 9.8% lower slip than at P1 and proportionally lower reduction with slip reduction in fuel consumption per hectare, energy loss due to slip per hectare, and total energy requirements per hectare. These findings represent an encouraging result within the context of the tire development activity focused on energy efficiency.
While based on specific operating assumptions, and notwithstanding the rear ballast loading the rear axle (which probably emphasized the observed differences), the results in Table 10 highlight the advantages of advanced tire technology and the benefits of using lower pressures where appropriate. It would, however, be possible to repeat the simulation by adopting a theoretically infinite series of operational hypotheses based on traction force and working width values. Considering the very regular trend of both the data reported in the diagrams and their regression functions, as well as the high R2 values of the latter, a series of values lying on the respective regression curve would be obtained for each parameter. Therefore, the overall hierarchy of merit among the various combinations remains unchanged relative to the assessments reported above. The curves shown in Figure 7, Figure 8, Figure 9, Figure 10, Figure 11 and Figure 12 are valid exclusively for the conditions of the present study. Altering even a single factor (tractor, ballasting, soil type, or soil conditions) would yield different curves, and the magnitude of the performance gaps between the two tire models might vary; nonetheless, it is reasonable to expect that the aforementioned hierarchy of merit would be confirmed.
3.3. Effects of Tire Passes on Soil Compaction
Penetrometric surveys were carried out on undisturbed soil (u.s.) after the passage of the tractor, equipped sequentially with TA and TB tires at inflation pressures P1 (high) and P2 (low). The passes of TA and TB were carried out in their respective test plots where the preliminary measurements reported in Figure 4 were performed. This made it possible to compare the soil compaction conditions before and after the pass on each plot. For each tire model–pressure combination, four measurements of penetration resistance were carried out in the 0–80 cm depth profile. Furthermore, the measurement data were grouped according to five depth intervals: 0 to 15 cm (d0–15); 15 to 30 cm (d15–30); 30 to 45 cm (d30–45); 45 to 60 cm (d45–60); >60 cm (d>60), calculating the statistical descriptors for each interval and for the entire profile (d0–80). The results are summarized in Table 11, which also reports the data for the undisturbed soil. The average cone index values on undisturbed soil (u.s.) are generally lower than for all four tire-pressure combinations, limited to the first two layers (d0–15 and d15–30), while no macroscopic differences are observed in the lower layers. However, the high CV values indicate a considerable variability of the cone index in all cases.
Table 11.
Soil resistance to penetration in the test field: average cone index in the test plots in six ground layers before (undisturbed soil, u.s.) and after the passes of TA and TB inflated at P1 and P2, according to Table 2.
To visualize the trend of the cone index (CI) as a function of depth, profile diagrams resulting from the average of the four measurements carried out for each combination and for undisturbed soil were plotted. Specifically, Figure 13a shows the TA-P1/TB-P1 comparison, presenting the curves before and after the passage of TA and TB at P1. Similarly, in Figure 13b, we observe the comparison between TA-P2 and TB-P2. Notably, the TA test plot exhibited a higher baseline CI in the deeper layers (Figure 4 and Figure 13). This partially accounts for the post-test CI of TA-P1 remaining slightly higher than that of TB-P1, both within the top 20 cm and below 50 cm, despite the reduced tractor’s influence at the latter depth. Disregarding the deeper layers, which are hardly affected by the passage of machinery on the surface [75], the curve related to TA at the higher pressure, P1, is slightly higher than that of TB (Figure 13a), probably due to the greater compaction in the first 20 cm of the relative plot. Conversely, at lower pressure, P2 (Figure 13b), the TA curve follows a lower trajectory, despite the greater compaction of the undisturbed soil.
Figure 13.
Trend of the cone index as a function of depth measured on the plots designated to the test of TA and TB, on undisturbed soil, us_mean(TA) and us_mean(TB) respectively, and after their passage. (a) Comparison between TA and TB at P1; (b) comparison between TA and TB at P2.
From the comparison between the cone index curves for TA at P1 and P2 (Figure 14a), the compaction at the lower pressure is clearly lower, particularly in the 0–20 cm layer, while below that depth, the two curves are very similar. Conversely, in the case of TB, no evident differences appear between the curves at the two pressures (Figure 14b).
Figure 14.
Trend of the cone index as a function of depth, measured on the plots designated to the test of TA and TB, on undisturbed soil, us_mean(TA) and us_mean(TB) respectively, and after their passage. (a) Comparison between TA at P1 and at P2; (b) comparison between TB at P1 and at P2.
The entire dataset, formed by the four repetitions from which all the mean values reported in Table 11 were calculated, was subjected to a multifactorial ANOVA, considering the five depth layers (Depth), the two tire models (Tire), and the inflation pressure (Press.) as factors of variability. For the pressure, in addition to P1 and P2, the undisturbed soil condition (u.s.), that is before the pass, was also considered. The results of the ANOVA are reported in Table 12. The Pr values indicate that the most significant differences relating to the factors of variability are, in descending order, those due to depth, press, and tire. Among the interactions, the most significant, also in descending order, are Depth:Press and Depth:Tire.
Table 12.
Results of multifactorial ANOVA carried out on the whole dataset.
The cases in which significant differences were detected, relating to the parameters and the interactions between parameters, were subjected to the Tukey’s test to identify the significant differences in the pairwise comparison. The most important results are reported in Table 13.
Table 13.
Some results of the Tukey’s test carried related to the ANOVA of Table 12.
The very high significance of the differences in soil compaction due to depth reported in Table 12 is confirmed in Table 13 by the results of the post hoc test, according to which the pairwise differences are always highly significant except for one case, confirming the initial indications provided by the examination of Table 11. Regarding the differences between the pressures (P1, P2, and u.s.), which were also highly significant in the ANOVA, the Tukey’s test indicates that the significance only concerns the comparisons between P1 and u.s. and between P2 and u.s., while the difference between P1 and P2 is not significant. This is because, as previously noted, it is highly improbable that a machine pass would alter the soil condition below a depth of 20 cm, particularly in the case of a single pass on settled, stiff ground, such as that encountered in this study. Indeed, the dataset is mostly formed by values corresponding to the deeper layers (below the Ap horizon), where the compaction trend exhibits significant variation among the different measurements on undisturbed soil and following the passage of the tractor with the four tire-inflation pressure combinations. Conversely, the differences between P1 and u.s. and between P2 and u.s. are significant because the cone index values on undisturbed soil (u.s.), in the two most superficial layers (approximately 0.7 MPa and 0.75 MPa for d0–15 and d15–30, respectively), are much lower than those observed after the pass, at both P1 and P2 (approximately 1.5 MPa and 0.9 MPa for d0–15 and d15–30, respectively) (Table 11). Table 13 also shows the results of the Tukey’s test on the tires. The TB-TA comparison yields significant differences with a negative sign, which indicates that the soil over which TA moves is generally more compact. This outcome, rather than being solely due to the effect of the tires, stems from the composition of the dataset. Indeed, this includes the soil cone index of both undisturbed soil and deeper layers after the tire passage, which always resulted higher for TA than for TB across the entire profile (Figure 13).
Regarding the analysis of the interactions between factors, some results are summarized in Table 14. It can be observed that the significance always involves Depth, which was found to be the major source of variability. With respect to the Depth:Tire interaction, out of the 45 possible pairwise combinations, 31 (68.9%) were found to be significant. Of these, 15 involve the TB-TA comparison. The Depth:Press. interaction produced 105 pairwise combinations, of which 65 (61.9%) are significant, and among these, 31 (63.8%) concern the u.s. (undisturbed soil) condition.
Table 14.
Some results of the Tukey’s test relating to the interactions reported in the ANOVA of Table 12.
Therefore, according to the results of the post hoc test, the significance of the differences in the CI associated with the tire model and the inflation pressure resulting from the ANOVA on the entire dataset seems to indicate negative effects regarding the use of the innovative tire model, while regarding the effects of P1 and P2, the only significant variations in the CI refer to the undisturbed soil. Based on the preceding considerations, a more suitable dataset was identified to compare the effects on the soil of using the two tire models at the two inflation pressures. To circumscribe the field of investigation by excluding external effects, only the CI values referring to the first 20 cm of soil were considered, i.e., the most important layer for the germination and development of most herbaceous crops. In this way, the great variability of the CI in the deeper layers, which are little or not at all affected by the machine passage on the surface, was excluded. Furthermore, considering the different trend of the CI on undisturbed soil in the two plots dedicated to the TA and TB tests (Figure 3), the variation in the CI, Δci., caused by the passage of the tractor with the combinations TA-P1, TA-P2, TB-P1, and TB-P2, on undisturbed soil, in the respective plots, was chosen as the reference parameter. For the four repetitions of each combination, the variation was calculated by subtracting the corresponding series resulting from the average of the four repetitions on undisturbed soil from the series of penetration resistance values, between 0 and 20 cm, after each passage. For each repetition, Δci. represents the mean value. Table 15 reports the statistical descriptors of the set of Δci values referring to the 0–20 cm soil layer.
Table 15.
Statistical descriptors of Δci (MPa) and soil moisture, θ, (%) in the layer 0–20 cm after tractor passes.
The mean values in Table 15 indicate that the passage of TA resulted in a smaller cone index increase compared to TB at both pressures. The adoption of P2 had a similar effect with both tire models. TA-P2 resulted in the best combination overall with Δc.i. = 0.55 MPa, followed by TA-P1 (Δci = 0.83 MPa), TB-P2 (Δci = 0.86 MPa), and TB-P1 (Δci = 0.98 MPa). However, the high values of standard deviation and coefficient of variation still indicate the presence of significant general variability linked to the specific soil conditions. In this case too, the dataset was subjected to ANOVA, the results of which, reported in Table 16, indicate that both the choice of the tire model and the choice of the inflation pressure cause significantly different variations in the cone index.
Table 16.
Results of the ANOVA carried out on the dataset relating to the layer 0–20 cm.
Table 17 reports the results of the Tukey test. In particular, the values and the signs of the significant differences indicate that both TA and P2 determine a smaller Δci than TB and P1, respectively. Regarding the interaction, the greatest difference is determined by the TA-P2/TB-P1 comparison, which is also the most significant one.
Table 17.
Results of the Tukey’s test carried out on the results of the ANOVA reported in Table 16.
The findings from the previous results imply that the tire model–inflation pressure combinations have varying effects on other soil characteristics. The close relationship between the cone index and parameters such as bulk density and soil moisture has been highlighted in numerous studies [76,77,78,79,80,81], which have proposed empirical formulas and models to describe it. The measurement results reported in Table 15 were used to estimate the dry bulk density (ρw) in the 0–200 mm layer, using the empirical formula proposed by Busscher (1990) [77]:
where ρw is the bulk density (g·cm−3), θ is the soil moisture (expressed as cm3·cm−3), and a, b, c are coefficients empirically defined based on soil texture. To align the model with local field observations, the scaling factor a was adjusted while maintaining the exponent values (b and c) proposed by Vaz et al. (2011) [78]. This approach preserves the physical sensitivity of the original model to soil moisture and density while correcting for the specific resistance magnitude of the studied site. Therefore, the following values were adopted: a = 0.0025, b = 6.15, c = −2.28. Basing on the moisture values of Table 15 expressed in cm3·cm−3, the estimated bulk density, ρw, were calculated using the inverse of relation (1):
CI = a·ρwb·θc
ρw = (CI/(a·θc))1/b
The ρw values obtained in this way were used to calculate the porosity, Φ, using the following formula:
where Gs = 2.70 g·m−3 is the soil particle density, assumed to be 2.70 g cm−3 for the soil under study (Table 4). Table 18, in addition to the results of these calculations and the data upon which they are based, also reports the pre- and post-traffic values of the void ratio (e) and the estimated percentage change in dry bulk density (Δρw), void ratio (Δe), and porosity (ΔΦ).
Φ = 1 − (ρw/Gs)
Table 18.
Variations in bulk density (ρw), porosity (Φ) in the 0–200 mm layer, estimated based on changes in cone index (CI) and moisture (θ), and void ratio (e) following tractor passes across different tire model–inflation pressure combinations, compared to values measured in undisturbed soil.
Observation of Table 18 reveals that a single tractor pass, without traction, caused a substantial increase in cone index (CI) values across all tire model–inflation pressure combinations compared to pre-traffic conditions. These effects resulted in equally significant increases in dry bulk density (ranging from 13.7% to 22.5%) and corresponding decreases in void ratio (ranging from 24.6% to 37.3%) and porosity (ranging from 14.52% to 23.07%). These impacts are primarily attributable to the experimental setup, which included a 1630 kg ballast on the three-point hitch. This addition overloaded the rear axle to 5830 kg, compared to approximately 4100 kg without ballast. Consequently, the estimated ground pressure ranged between 1.4 and 1.9 kg·cm−2, depending on tire model and inflation pressure. Such pressure levels were sufficient to provoke severe structural degradation, eliminating most of the macropore network and likely resulting in critical limitations for aeration and hydraulic conductivity. While these conditions are exceptional, they are compatible with heavy machinery traffic during specific operations (e.g., transport, harvesting) and necessitate restorative tillage to recover favorable conditions for root development and plant growth.
Returning to the primary objective of this study—the comparison between the two tire models—the values for Δρw, Δe, and ΔΦ varied significantly depending on the tire model–inflation pressure combination. The lowest impacts were recorded for the TAP2 configuration (13.7%, −24.6%, and −14.52%, respectively), followed in order by TBP2, TAP1, and TBP1. These findings confirm that the combination of the innovative tire model and low inflation pressure provides superior performance, effectively mitigating soil damage even under the extreme loading conditions previously described. In particular, the use of low inflation pressure appears to enhance the capacity of the TA model to maximize its contact patch, even under high vertical loads. This is due to its high-flexion design, which allows for a more uniform distribution of ground pressure. By minimizing peak pressures at the center of the footprint, the TA model reduces the stress transmitted to the 0–200 mm layer, thereby partially preserving the soil’s structural integrity compared to the TBP2, TBP1, and TAP1 configurations.
4. Conclusions
A study was conducted to comparatively evaluate the performance of an innovative agricultural tire model (characterized by advanced materials, tread design, and a wide ground footprint) against a conventional model. The comparison focused on traction performance and soil compaction effects. Both tire models, produced by the same manufacturer, were alternately mounted on a medium-power tractor (equipped with a 1637 kg additional ballast at the three point linkage to emphasize the performance of rear tires) and tested under two inflation pressure conditions: high (rear tires at 1.6 bar, front tires at 1.2 bar) and low (front and rear tires at 1 bar). Tests were performed on naturally settled silty-clay soil, left uncultivated for over a year, with a moisture content of approximately 22%. Controlled traction forces were applied using a dynamometric vehicle, ensuring repeatability of the test conditions. During the traction tests, applied force, slip, and fuel consumption were measured. From these data, energy demand, slip-related energy losses, and fuel consumption per hectare were calculated. At higher inflation pressures, both tire models performed similarly, with minor differences: slightly lower fuel consumption for the innovative model and marginally greater traction for the conventional model. At lower pressures, both models improved traction performance at the same slip, or reduced slip at the same traction force, compared to high pressure. Using the conventional tire at high pressure as the reference condition, and assuming an operation at a speed of 1.7 m s−1, requiring a draft force of 4000 daN over a 2-m working width (Table 6), the innovative tire showed markedly superior performance. Specifically, it reduced slip losses by 21.98%, fuel consumption per hectare by 12.89%, and total energy demand per hectare (traction + slip) by 4.21%. In contrast, the conventional tire at low pressure achieved reductions of 13.37%, 2.24%, and 2.48%, respectively. These findings refer to a specific experimental configuration (characterized by ballast significantly overloading the rear axle); however, the calculation example indicates the high potential of the innovative tire’s tread design which, thanks to its larger footprint and material elasticity, could contribute to enhancing the well-known benefits of working with reduced inflation pressure. It is reasonable to assume that, despite its superior performance was probably emphasized by the specific test conditions of this study (mainly the tractor rear ballast), the innovative tire will continue to outperform others in real-world conditions as well. The extent of this advantage will naturally vary depending on factors such as tractive load, soil and operation type, and moisture content. Further studies will deepen the understanding of performance across different conditions. The proposed method for conducting tests under controlled conditions and for assessing dynamic–energetic parameters constitutes a contribution to this type of assessment.
Soil compaction data, based on cone index (C.I.) variations after a single pass, were consistent with the traction results. Penetrometric measurements (0–80 cm depth) revealed considerable variability, largely attributable to differences in lower-layer settlement beyond the influence of a single tractor pass. CI vs. depth profiles for undisturbed soil indicated higher compaction in plots subsequently tested with the innovative tire, across both surface and deeper layers. When analysis was confined to the top 200 mm (the layer where macroscopic CI increases (Δci) relative to undisturbed soil were observed after a single tractor pass), significant differences emerged between tire models and inflation pressures (Table 15). The innovative tire consistently caused the lowest CI increases (only +0.55 MPa at low pressure, +0.83 MPa at high pressure), whereas the conventional tire produced significantly higher values (+0.86 MPa and +0.98 MPa, respectively).
The estimated increase in dry bulk density and the corresponding decrease in porosity—derived from post-traffic CI and moisture measurements—were notably high due to the tractor’s ballast. However, these values were significantly lower with the innovative tire at low inflation pressure (13.7% and −14.52%, respectively). Compared to all other configurations, this combination offers the soil a superior degree of protection against compaction, even under extreme ground pressure conditions (estimated between 1.4 and 1.9 kg cm−2). These results confirm that improving tire characteristics can enhance energy efficiency during operations while protecting soil agronomic properties. The 0–200 mm layer affected by cone index variation is critical for crop germination and early development, benefiting from improved soil structure, aeration, and water storage capacity. Given the compact nature of the test soil, it is hypothesized that on soil prepared for sowing, tractor passes could affect depths beyond 200 mm, extending the benefits of innovative tires and low inflation pressures. Future studies will explore these operational scenarios. Finally, the optimal inflation pressure depends on the specific operation and is not always easy to adjust. For example, low-pressure field work may be followed by road transport requiring high pressure, yet tractors often lack onboard inflation systems. The practical implementation of this solution is significantly simplified by the introduction of automatic inflation systems [25]. Their adoption allows for the optimization of the net traction ratio by adapting the contact patch to specific soil cohesion conditions, reducing energy losses due to slippage in the field and rolling resistance during road travel
Author Contributions
Conceptualization, R.F. and D.P.; methodology, D.P.; software, D.P. and D.S.; validation, R.F. and D.P.; formal analysis, L.F.; investigation, R.G. and L.F.; resources, S.B.; data curation, L.F. and D.S.; writing—original draft preparation, R.F. and D.P.; writing—review and editing, D.S. and D.P.; visualization, R.G. and S.B.; supervision, R.G.; funding acquisition, D.P. All authors have read and agreed to the published version of the manuscript.
Funding
This research received no external funding.
Data Availability Statement
The data presented in this study are available upon request from the corresponding author. The data are not publicly available due to privacy restrictions.
Conflicts of Interest
The authors declare no conflicts of interest.
References
- Servadio, P. Applications of empirical methods in central Italy for predicting field wheeled and tracked vehicle performance. Soil Tillage Res. 2010, 110, 236–242. [Google Scholar] [CrossRef]
- Keller, T.; Sandin, M.; Colombi, T.; Horn, R.; Or, D. Historical increase in agricultural machinery weights enhanced soil stress levels and adversely affected soil functioning. Soil Tillage Res. 2019, 194, 104293. [Google Scholar] [CrossRef]
- Défossez, P.; Richard, G.; Boizard, H.; O’Sullivan, M.F. Modelling change in soil compaction due to agricultural traffic as function of soil water content. Geoderma 2003, 116, 89–105. [Google Scholar] [CrossRef]
- Augustin, K.; Kuhwald, M.; Brunotte, J.; Duttmann, R. Wheel Load and Wheel Pass Frequency as Indicators for Soil Compaction Risk: A Four-Year Analysis of Traffic Intensity at Field Scale. Geosciences 2020, 10, 292. [Google Scholar] [CrossRef]
- Acquah, K.; Chen, Y. Soil compaction from wheel traffic under three tillage systems. Agriculture 2022, 12, 219. [Google Scholar] [CrossRef]
- Medeiros, J.C.; Figueiredo, G.C.; Mafra, A.L.; Rosa, J.D.; Yoon, S.W. Deep subsoiling of a subsurface-compacted typical hapludult under citrus orchard. Rev. Bras. Cienc. Solo 2013, 37, 911–919. [Google Scholar] [CrossRef]
- Colombi, T.; Braun, S.; Keller, T.; Walter, A. Artificial macropores attract crop roots and enhance plant productivity on compacted soils. Sci. Total Environ. 2017, 574, 1283–1293. [Google Scholar] [CrossRef]
- Alaoui, A.; Rogger, M.; Peth, S.; Blöschl, G. Does soil compaction increase floods? A review. J. Hydrol. 2018, 557, 631–642. [Google Scholar] [CrossRef]
- Bandalan, E.P.; Salokhe, V.M.; Gupta, C.P.; Niyamapa, T. Performance of an oscillating subsoiler in breaking a hardpan. J. Terramechanics 1999, 36, 117–125. [Google Scholar] [CrossRef]
- Sidhu, D.; Duiker, S.W. Soil Compaction in Conservation Tillage: Crop Impacts. Agron. J. 2006, 98, 1257–1264. [Google Scholar] [CrossRef]
- Liu, J.; Wang, X.; Li, H.; He, J.; Wang, Q.; Li, W. Optimization of structural parameters of subsoiler based on soil disturbance and traction resistance. Trans. Chin. Soc. Agric. Mach. 2017, 48, 60–67. [Google Scholar] [CrossRef]
- Liu, K.; Sozzi, M.; Gasparini, F.; Marinello, F.; Sartori, L. Combining simulations and field experiments: Effects of subsoiling angle and tillage depth on soil structure and energy requirements. Comput. Electron. Agric. 2023, 214, 108323. [Google Scholar] [CrossRef]
- Garibaldi-Marquez, F.; Martinez-Reyes, E.; Morales-Morales, C.; Ramos-Cantu, L.; Castro-Bello, M.; Gonzalez-Lorence, A. Subsoiler tool with bio-inspired attack edge for reducing draft force during soil tillage. Agriengineering 2024, 6, 2678–2693. [Google Scholar] [CrossRef]
- Regazzi, N.; Maraldi, M.; Molari, G. A theoretical study of the parameters affecting the power delivery efficiency of an agricultural tractor. Biosyst. Eng. 2019, 186, 214–227. [Google Scholar] [CrossRef]
- Rotella, D.; Cammalleri, M. Power losses in powersplit CVTs: A fast black-box approximate method. Mech. Mach. Theory 2018, 128, 528–543. [Google Scholar] [CrossRef]
- Farias, M.S.; Schlosser, J.F.; Linares, P.; Barbieri, J.P.; Negri, G.M.; Oliveira, L.F.V.; Rüdel, I.Y.P. Fuel consumption efficiency of an agricultural tractor equipped with continuously variable transmission. Cienc. Rural. 2017, 47. [Google Scholar] [CrossRef][Green Version]
- Molari, G.; Sedoni, E. Experimental evaluation of power losses in a power-shift agricultural tractor transmission. Biosyst. Eng. 2008, 100, 177–183. [Google Scholar] [CrossRef]
- Strapasson Neto, L.; Zimmermann, G.G.; Jasper, S.P.; Savi, D.; Sobenko, L.R. Energy efficiency of agricultural tractors equipped with continuous variable and full powershift transmission systems. Eng. Agrícola 2022, 42, e20210052. [Google Scholar] [CrossRef]
- Schjønning, P.; van den Akker, J.J.H.; Keller, T.; Greve, M.H.; Lamandé, M.; Simojoki, A.; Breuning-Madsen, H. Chapter five-driver-pressure-state-impact-response (DPSIR) Analysis and risk assessment for soil compaction—A European perspective. Adv. Agron. 2015, 133, 183–237. [Google Scholar] [CrossRef]
- Battiato, A.; Diserens, E. Influence of tyre inflation pressure and wheel load on the traction performance of a 65 kW MFWD tractor on a cohesive soil. J. Agric. Sci. 2013, 5, 197–215. [Google Scholar] [CrossRef]
- Cutini, M.; Brambilla, M.; Bisaglia, C.; Romano, E. Field performance of an agricultural tractor fitted with rubber tracks on a low trafficable soil. J. Agric. Eng. 2015, 46, 38–44. [Google Scholar] [CrossRef]
- McKyes, E. Agricultural Engineering Soil Mechanics, 1st ed.; Elsevier Science: New York, NY, USA, 2012; pp. 1–291. [Google Scholar]
- Ten Damme, L.; Stettler, M.; Pinet, F.; Vervaet, P.; Keller, T.; Munkholm, L.J.; Lamandé, M. The contribution of tyre evolution to the reduction of soil compaction risks. Soil Tillage Res. 2019, 194, 104283. [Google Scholar] [CrossRef]
- Franceschetti, B.; Filaninno, L.; Piovaccari, G.; Rondelli, V. Influence of ballast and tyre inflation pressure on traction performance of agricultural tractors evaluated in trials on concrete track. AgriEngineering 2025, 7, 109. [Google Scholar] [CrossRef]
- Damanauskas, V.; Janulevičius, A. Influence of extra weight and tire pressure on fuel consumption at normal tractor slippage. J. Agric. Sci. 2015, 7, 55–67. [Google Scholar] [CrossRef]
- Bodria, L.; Pellizzi, G.; Piccarolo, P. Meccanica Agraria. 1: Il Trattore e le Macchine Operatrici; Edagricole: Bologna, Italy, 2006; ISBN 88-506-5131-7. Available online: https://hdl.handle.net/2434/23323 (accessed on 29 January 2026).
- Serrano, J.M.; Peça, J.O.; Silva, J.R.; Márquez, L. The effect of liquid ballast and tyre inflation pressure on tractor performance. Biosyst. Eng. 2009, 102, 51–62. [Google Scholar] [CrossRef]
- Zoz, F.M.; Grisso, R.D. Traction and Tractor Performance. ASAE Distinguished Lecture #27. In Proceedings of the Agricultural Equipment Technology Conference, Louisville, KY, USA, 9–11 February 2003; Available online: https://it.scribd.com/document/471558908/Traction-and-Tractor-Performance-Zoz-Grisso-pdf (accessed on 29 January 2026).
- Varani, M.; Mattetti, M.; Molari, G. Preliminary Study on Traction Efficiency of an Agricultural Tractor Equipped with an Extendable Ballast Holder. Congr. Proc. CIGR AgEng Conf. 2018, 1–4. Available online: https://hdl.handle.net/11585/678230 (accessed on 29 January 2026).
- Zhang, S.; Xie, B.; Wen, C.; Zhao, Y.; Du, Y.; Zhu, Z.; Song, Z.; Li, L. Intelligent ballast control system with active load-transfer for electric tractors. Biosyst. Eng. 2022, 215, 143–155. [Google Scholar] [CrossRef]
- Wang, G.; Kushwaha, R.L.; Zoerb, G.C. Traction performance of a model 4WD tractor. Can. Agric. Eng. 1989, 31, 125–129. [Google Scholar]
- Yu, G.; Kushwaha, R.L. Dynamic load distribution and tractive performance of a model tractor. J. Terramechanics 1994, 31, 21–39. [Google Scholar] [CrossRef]
- Osetinsky, A.; Shmulevich, I. Traction performance simulation of a pushed/pulled driven wheel. Trans. ASAE 2004, 47, 981–994. [Google Scholar] [CrossRef]
- Czarnecki, J.; Brennensthul, M.; Białczyk, W.; Ptak, W.; Gil, Ł. Analysis of traction properties and power of wheels used on various agricultural soils. Agric. Eng. 2019, 23, 13–22. [Google Scholar] [CrossRef]
- Anifantis, A.S.; Cutini, M.; Bietresato, M. An experimental-numerical approach for modelling the mechanical behaviour of a pneumatic tire for agricultural machines. Appl. Sci. 2020, 10, 3481. [Google Scholar] [CrossRef]
- Burt, E.C.; Reaves, C.A.; Bailey, A.C.; Pickering, W.D. A machine for testing tractor tires in soil bins. Trans. ASAE 1980, 23, 546–547. [Google Scholar] [CrossRef]
- Upadhyaya, S.K.; Mehlschau, J.; Wulfsohn, D.; Glancey, J.L. Development of a unique mobile single wheel traction testing machine. Trans. ASAE 1986, 29, 1243–1246. [Google Scholar] [CrossRef]
- Ambruster, K.; Kutzbach, H.D. Development of a single wheel tester for measurement on driven angled wheel. In Proceedings of the 5th European Conference of the International Society for Terrain Vehicle Systems (ISTVS), Wageningen, The Netherlands, 21–23 March 1989. [Google Scholar]
- Guarnieri, A. Un laboratorio mobile per prove di pneumatici. Macch. Mot. Agric. 1993, 3, 92–94. [Google Scholar]
- Sandu, C.; Taylor, B.; Biggans, J.; Ahmadian, M. Building infrastructure for indoor terramechanics studies: The development of a terramechanics rig at Virginia Tech. In Proceedings of the 16th International Conference of the International Society for Terrain Vehicle Systems (ISTVS), Turin, Italy, 25–28 November 2008. [Google Scholar]
- Tiwari, V.K.; Pandey, K.P.; Sharma, A.K. Development of a tire traction testing facility. J. Terramechanics 2009, 46, 293–298. [Google Scholar] [CrossRef]
- Goli, H.; Minaee, S.; Jafari, A.; Keyhani, A.; Borghaee, A.; Hajiahmad, A. An instrumented drive axle to measure tire tractive performance. J. Terramechanics 2012, 49, 309–314. [Google Scholar] [CrossRef]
- Rajesh, Y.; Hifjur, R. Estimation of tyre deflection and contact area of tubeless tyre on firm surface for traction studies. J. Inst. Eng. India Ser. A 2024, 105, 281–293. [Google Scholar] [CrossRef]
- Fanigliulo, R.; Biocca, M.; Grilli, R.; Fornaciari, L.; Gallo, P.; Benigni, S.; Mattei, P.; Pochi, D. Assessment of the performance of agricultural tires using a mobile test bench. Agriculture 2023, 13, 87. [Google Scholar] [CrossRef]
- Kumari, A.; Raheman, H. Development of a novel draft sensing device with lower hitch attachments for tractor-drawn implements. J. Biosyst. Eng. 2024, 49, 20–28. [Google Scholar] [CrossRef]
- Kim, H.-G.; Lee, J.-W.; Kim, S.-C.; Oh, J.; Shim, S.-B. Development of a modified method for measuring the actual draft force using a tractor-attached dynamometer. Agriculture 2024, 14, 544. [Google Scholar] [CrossRef]
- Raper, R.L.; Bailey, A.C.; Burt, E.C.; Way, T.R.; Liberati, P. The effects of reduced inflation pressure on soil-tire interface stresses and soil strength. J. Terramechanics 1995, 32, 43–51. [Google Scholar] [CrossRef]
- Fornaciari, L.; Vassalini, G.; Pochi, D.; Grilli, R.; Benigni, S.; Fanigliulo, R. Evaluation of the Acceleration Transmitted to the Tractor Driver’s Whole-Body During Agricultural Operations at Different Tire Inflation Pressures. In Lecture Notes in Civil Engineering, 1st ed.; Sartori, L., Tarolli, P., Guerrini, L., Zuecco, G., Pezzuolo, A., Eds.; Springer Nature: Cham, Switzerland, 2025; Volume 586, pp. 362–369. [Google Scholar] [CrossRef]
- Kim, W.-S.; Kim, Y.-J.; Lee, N.-G.; Baek, S.-M.; Baek, S.-Y.; Kim, Y.-S. Influence of tire contact area on the traction performance of a 67-kW agricultural tractor in a paddy field. J. ASABE 2022, 65, 1421–1432. [Google Scholar] [CrossRef]
- Botta, G.F.; Jorajuria, D.; Draghi, L.M. Influence of the axle load, tyre size and configuration on the compaction of a freshly tilled clayey soil. J. Terramechanics 2002, 39, 47–54. [Google Scholar] [CrossRef]
- Raveendrakumaran, B.; Grafton, M.; Jeyakumar, P.; Bishop, P.; Davies, C. Assessing controlled traffic farming as a precision agriculture strategy for minimising N2O losses. Nitrogen 2025, 6, 63. [Google Scholar] [CrossRef]
- Sturm, N.; Wilson, K.R.; Neely, H.L.; Esser, A.; Waters, T.; Noland, R.; Clark, J.; Paris, N.; Kampa, J.; Arriaga, F.; et al. Informing soil compaction research priorities with farmer focus groups in the United States. Soil Secur. 2025, 20, 100200. [Google Scholar] [CrossRef]
- Jensen, T.A.; Antille, D.L.; Tullberg, J.N. Improving on-farm energy use efficiency by optimizing machinery operations and management: A review. Agric. Res. 2025, 14, 15–33. [Google Scholar] [CrossRef]
- Alkhalifa, N.; Tekeste, M.Z.; Jjagwe, P.; Way, T.R. Effects of vertical load and inflation pressure on tire-soil interaction on artificial soil. J. Terramechanics 2024, 112, 19–34. [Google Scholar] [CrossRef]
- Al-Suhaibani, S.A.; Al-Janobi, A.A.; Al-Majhadi, Y.N. Development and evaluation of tractors and tillage implements instrumentation system. Am. J. Eng. Appl. Sci. 2010, 3, 363–371. [Google Scholar] [CrossRef]
- Chouriya, A.; Kumar, P.; Tewari, V.K.; Singh, N. Development of a low-cost telemetry system for draft measurement of agriculture implements. J. Biosyst. Eng. 2024, 49, 368–381. [Google Scholar] [CrossRef]
- Fanigliulo, R.; Biocca, M.; Pochi, D. Effects of six primary tillage implements on energy inputs and residue cover in Central Italy. J. Agric. Eng. 2016, 47, 177–180. [Google Scholar] [CrossRef]
- Pochi, D.; Fanigliulo, R.; Pagano, M.; Grilli, R.; Fedrizzi, M.; Fornaciari, L. Dynamic-energetic balance of agricultural tractors: Active system for the measurement of the power requirements in static test and under field conditions. J. Agric. Eng. 2013, 44, 415–420. [Google Scholar] [CrossRef]
- Szalay, K.; Souček, J.; Bércesi, G.; Bablena, A.; László, K.; Nukeshev, S.O.; Kukharets, S.; Kravchuk, V.; Golub, G.; Machálek, A.; et al. Reconstructed military machinery for unique field testing of agricultural machinery capabilities. Res. Agric. Eng. 2024, 70, 53–59. [Google Scholar] [CrossRef]
- Napoli, R.; Paolanti, M.; Rivieccio, R.; Di Ferdinando, S. Carta dei Suoli del Lazio 1:250.000. ARSIAL—Agenzia Regionale per lo Sviluppo e l’Innovazione dell’Agricoltura del Lazio. 2019. Available online: https://www.arsial.it/focus-tematici/territorio/suoli/la-carta-dei-suoli-unopzione-in-piu-per-il-lazio/ (accessed on 4 February 2026).
- Soil Survey Staff. Keys to Soil Taxonomy, 12th ed.; USDA Natural Resources Conservation Service: Washington, DC, USA, 2014. [Google Scholar]
- ISO 21920-3:2021; Geometrical Product Specifications (GPS)—Surface Texture: Profile—Part 3: Specification Operators. International Organization for Standardization: Geneva, Switzerland, 2021.
- ISO 17892-12:2018; Geotechnical Investigation and Testing—Laboratory Testing of Soil—Part 12: Determination of Liquid and Plastic Limits. International Organization for Standardization: Geneva, Switzerland, 2018.
- ISO 11465:2025; Sludge and Solid Environmental Matrices—Determination of Dry Residue or Water Content and. International Organization for Standardization: Geneva, Switzerland, 2025.
- ISO 11272:2017; Soil Quality—Determination of Dry Bulk Density. International Organization for Standardization: Geneva, Switzerland, 2017.
- Grant, C.D.; Dexter, A.R.; Huang, C. Roughness of soil fracture surfaces as a measure of soil microstructure. J. Soil Sci. 1990, 41, 95–110. [Google Scholar] [CrossRef]
- Fanigliulo, R.; Antonucci, F.; Figorilli, S.; Pochi, D.; Pallottino, F.; Fornaciari, L.; Grilli, R.; Costa, C. Light Drone-Based Application to Assess Soil Tillage Quality Parameters. Sensors 2020, 20, 728. [Google Scholar] [CrossRef]
- ASABE 843-844; S313.3 (R2013): Soil Cone Penetrometer. American Society of Agricultural and Biological Engineers: St. Joseph, MI, USA, 1999.
- Janik, D.; Dudzinski, P.A. Soil penetration testers—State of the art—Part 1—The penetrometer approach. Soil Tillage Res. 2024, 244, 106219. [Google Scholar] [CrossRef]
- ISO 17892-3:2015; Geotechnical Investigation and Testing—Laboratory Testing of Soil—Part 3: Determination of Particle Density. International Organization for Standardization: Geneva, Switzerland, 2017.
- Head, K.H. Manual of Soil Laboratory Testing, Volume 1: Soil Classification and Compaction Tests, 3rd ed.; Whittles Publishing: Dunbeath, UK, 2006; pp. 60–65. [Google Scholar]
- Terzaghi, K.; Peck, R.B.; Mesri, G. Soil Mechanics in Engineering Practice, 3rd ed.; Wiley-Interscience: Hoboken, NJ, USA, 1996. [Google Scholar]
- Mojziš, M.; Jobbágy, J.; Rataj, V.; Zsembeli, J. Impact of machinery passages on soil compaction in field conditions. Acta Technol. Agric. 2024, 27, 116–124. [Google Scholar] [CrossRef]
- Forestti Oliveira, C.; Benz Navarrete, M.A.; Breul, P.; Chevalier, B.; Tran, Q.A. Evaluation of different methods for cone resistance assessment from dynamic penetration tests. J. Geotech. Geoenvironmental Eng. 2025, 151, 04024136. [Google Scholar] [CrossRef]
- Pagliai, M.; Marsili, A.; Servadio, P.; Vignozzi, N.; Pellegrini, S. Changes in some physical properties of a clay soil in Central Italy following the passage of rubber tracked and wheeled tractors of medium power. Soil Tillage Res. 2003, 73, 119–129. [Google Scholar] [CrossRef]
- Ayers, P.D.; Perumpral, J.V. Moisture and density effect on cone index. Trans. ASAE 1982, 25, 1169–1172. [Google Scholar] [CrossRef]
- Busscher, W.J. Adjustment of flat-tipped penetrometer resistance data to a common water content. Trans. ASAE 1990, 33, 519–524. [Google Scholar] [CrossRef]
- Vaz, C.M.P.; Manieri, J.M.; de Maria, I.C.; Tuller, M. Modeling and correction of soil penetration resistance for varying soil water content. Geoderma 2011, 166, 92–101. [Google Scholar] [CrossRef]
- Dexter, A.; Czyż, E.; Gaţe, O. A method for prediction of soil penetration resistance. Soil Tillage Res. 2007, 93, 412–419. [Google Scholar] [CrossRef]
- Santos, F.L.; de Jesus, V.A.M.; Valente, D.S.M. Modeling of soil penetration resistance using statistical analyses and artificial neural networks. Acta Sci.—Agron. 2012, 34, 219–224. [Google Scholar] [CrossRef]
- Lin, J.; Sun, P.; Schulze Lammer, P. Evaluating model-based relationship of cone index, soil water content and bulk density using dual-sensor penetrometer data. Soil Tillage Res. 2014, 138, 9–16. [Google Scholar] [CrossRef]
Disclaimer/Publisher’s Note: The statements, opinions and data contained in all publications are solely those of the individual author(s) and contributor(s) and not of MDPI and/or the editor(s). MDPI and/or the editor(s) disclaim responsibility for any injury to people or property resulting from any ideas, methods, instructions or products referred to in the content. |
© 2026 by the authors. Licensee MDPI, Basel, Switzerland. This article is an open access article distributed under the terms and conditions of the Creative Commons Attribution (CC BY) license.













