Fungicides in English Rivers: Widening the Understanding of the Presence, Co-Occurrence and Implications for Risk Assessment
Abstract
1. Introduction
1.1. Sources and Pathways
1.2. Detection in Aquatic Systems
1.3. Effects on Freshwater Biota
1.4. Mixture Toxicity and Synergism
1.5. Human Health and Antifungal Resistance
1.6. Purpose of the Paper
2. Methods—Data Sources and Analysis
2.1. LC-MS and GC-MS Databases
2.2. Water Quality Archive (WQA)
2.3. UKWIR Chemical Investigations Programme
2.4. Data Processing and Statistics
3. Results
3.1. LC-MS and GC-MS
3.2. Co-Occurrence of Fungicides by Site and Sample
3.3. Environmental Persistence of a Banned Fungicide—Epoxiconazole
3.4. Monthly Variability
3.5. WQA—Evaluation of Fully Quantitative Data Against Standards
3.6. Comparison Between LC-MS and WQA Data
3.7. Multi-Data Comparison
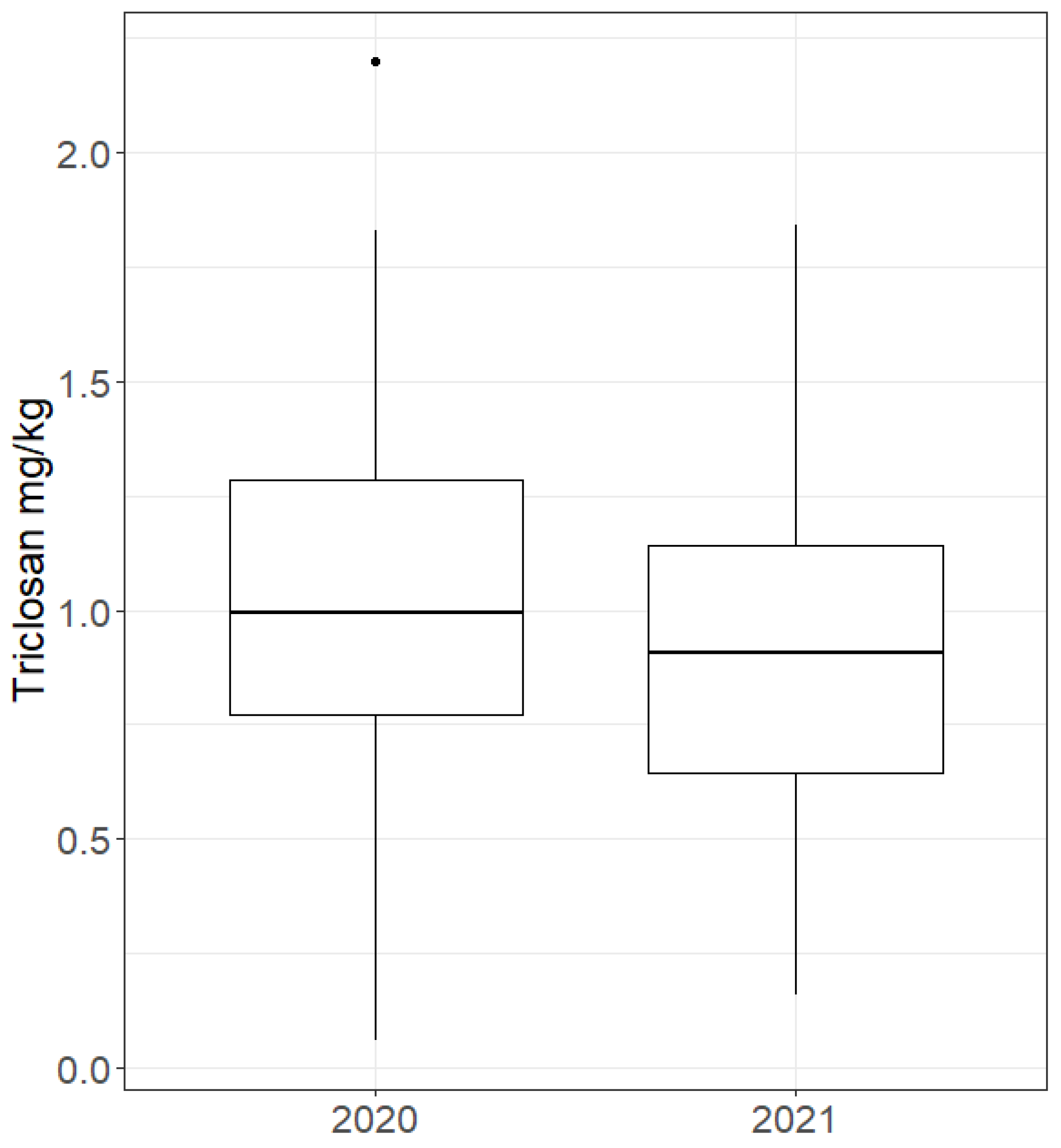
3.8. Triclosan in Sewage Sludge Applied to Land
4. Discussion
5. Conclusions
Supplementary Materials
Author Contributions
Funding
Data Availability Statement
Conflicts of Interest
References
- Lucas, J.A.; Hawkins, N.J.; Fraaije, B.A. The evolution of fungicide resistance. Adv. Appl. Microbiol. 2015, 90, 29–92. [Google Scholar] [CrossRef] [PubMed]
- Chen, M.; Brun, F.; Raynal, M.; Makowski, D. Delaying the first grapevine fungicide application reduces exposure on operators by half. Sci. Rep. 2020, 10, 6404. [Google Scholar] [CrossRef] [PubMed]
- Haith, D.A.; Duffany, M.W. Pesticide runoff loads from lawns and golf courses. J. Environ. Eng. 2007, 133, 435–446. [Google Scholar] [CrossRef]
- Aamlid, T.S.; Almvik, M.; Pettersen, T.; Bolli, R. Leaching and surface runoff after fall application of fungicides on putting greens. Agron. J. 2020, 113, 3743–3763. [Google Scholar] [CrossRef]
- Chen, Z.-F.; Ying, G.-G. Occurrence, fate and ecological risk of five typical azole fungicides as therapeutic and personal care products in the environment: A review. Environ. Int. 2015, 84, 142–153. [Google Scholar] [CrossRef] [PubMed]
- Bollmann, U.E.; Tang, C.; Eriksson, E.; Jönsson, K.; Vollertsen, J.; Bester, K. Biocides in urban wastewater treatment plant influent at dry and wet weather: Concentrations, mass flows and possible sources. Water Res. 2014, 60, 64–74. [Google Scholar] [CrossRef] [PubMed]
- Stensvold, C.R.; Jørgensen, L.N.; Arendrup, M.C. Azole-Resistant Invasive Aspergillosis: Relationship to Agriculture. Curr. Fungal Infect. Rep. 2012, 6, 178–191. [Google Scholar] [CrossRef]
- Cooper, E.M.; Rushing, R.; Hoffman, K.; Phillips, A.L.; Hammel, S.C.; Zylka, M.J.; Stapleton, H.M. Strobilurin fungicides in house dust: Is wallboard a source? J. Expo. Sci. Environ. Epidemiol. 2020, 30, 247–252. [Google Scholar] [CrossRef] [PubMed] [PubMed Central]
- Stamatis, N.; Hela, D.; Konstantinou, I. Occurrence and removal of fungicides in municipal sewage treatment plant. J. Hazard. Mater. 2010, 175, 829–835. [Google Scholar] [CrossRef]
- Zubrod, J.P.; Bundschuh, M.; Arts, G.; Brühl, C.A.; Imfeld, G.; Knäbel, A.; Payraudeau, S.; Rasmussen, J.J.; Rohr, J.; Scharmüller, A.; et al. Fungicides: An Overlooked Pesticide Class? Environ. Sci. Technol. 2019, 53, 3347–3365. [Google Scholar] [CrossRef] [PubMed] [PubMed Central]
- Masoner, J.R.; Kolpin, D.W.; Cozzarelli, I.M.; Barber, L.B.; Burden, D.S.; Foreman, W.T.; Forshay, K.J.; Furlong, E.T.; Groves, J.F.; Hladik, M.L.; et al. Urban Stormwater: An Overlooked Pathway of Extensive Mixed Contaminants to Surface and Groundwaters in the United States. Environ. Sci. Technol. 2019, 53, 10070–10081. [Google Scholar] [CrossRef] [PubMed] [PubMed Central]
- Edwards, P.G.; Murphy, T.M.; Lydy, M.J. Fate and transport of agriculturally applied fungicidal compounds, azoxystrobin and propiconazole. Chemosphere 2016, 146, 450–457. [Google Scholar] [CrossRef] [PubMed]
- Robinson, R.F.A.; Mills, G.A.; Gravell, A.; Schumacher, M.; Fones, G.R. Occurrence of organic pollutants in the River Itchen and River Test—Two chalk streams in Southern England, UK. Environ. Sci. Pollut. Res. 2022, 30, 17965–17983. [Google Scholar] [CrossRef] [PubMed]
- Taylor, A.C.; Mills, G.A.; Gravell, A.; Kerwick, M.; Fones, G.R. Passive sampling with suspect screening of polar pesticides and multivariate analysis in river catchments: Informing environmental risk assessments and designing future monitoring pro-grammes. Sci. Total Environ. 2021, 787, 147519. [Google Scholar] [CrossRef] [PubMed]
- Wattanayon, R.; Proctor, K.; Jagadeesan, K.; Barden, R.; Kasprzyk-Hordern, B. An integrated One Health framework for holistic evaluation of risks from antifungal agents in a large-scale multi-city study. Sci. Total Environ. 2023, 900, 165752. [Google Scholar] [CrossRef]
- Szöcs, E.; Brinke, M.; Karaoglan, B.; Schäfer, R.B. Large Scale Risks from Agricultural Pesticides in Small Streams. Environ. Sci. Technol. 2017, 51, 7378–7385. [Google Scholar] [CrossRef]
- Maltby, L.; Brock, T.C.M.; Brink, P.J.v.D. Fungicide risk Assessment for aquatic ecosystems: Importance of interspecific variation, toxic mode of action, and exposure regime. Environ. Sci. Technol. 2009, 43, 7556–7563. [Google Scholar] [CrossRef]
- Bhagat, J.; Singh, N.; Nishimura, N.; Shimada, Y. A comprehensive review on environmental toxicity of azole compounds to fish. Chemosphere 2020, 262, 128335. [Google Scholar] [CrossRef]
- Elskus, A.A. Toxicity, Sublethal Effects, and Potential Modes of Action of Select Fungicides on Freshwater Fish and Invertebrates; U.S. Geological Survey: Reston, VA, USA, 2012. Available online: https://pubs.usgs.gov/publication/ofr20121213 (accessed on 28 March 2024).
- Reis, C.G.; Bastos, L.M.; Chitolina, R.; Gallas-Lopes, M.; Zanona, Q.K.; Becker, S.Z.; Herrmann, A.P.; Piato, A. Neurobehavioral effects of fungicides in zebrafish: A systematic review and meta-analysis. Sci. Rep. 2023, 13, 18142. [Google Scholar] [CrossRef]
- Wang, X.; Li, X.; Wang, Y.; Qin, Y.; Yan, B.; Martyniuk, C.J. A comprehensive review of strobilurin fungicide toxicity in aquatic species: Emphasis on mode of action from the zebrafish model. Environ. Pollut. 2021, 275, 116671. [Google Scholar] [CrossRef] [PubMed]
- Ittner, L.D.; Junghans, M.; Werner, I. Aquatic Fungi: A Disregarded Trophic Level in Ecological Risk Assessment of Organic Fungicides. Front. Environ. Sci. 2018, 6, 105. [Google Scholar] [CrossRef]
- Ortiz-Cañavate, B.K.; Wolinska, J.; Agha, R. Fungicides at environmentally relevant concentrations can promote the proliferation of toxic bloom-forming cyanobacteria by inhibiting natural fungal parasite epidemics. Chemosphere 2019, 229, 18–21. [Google Scholar] [CrossRef] [PubMed]
- Christen, V.; Crettaz, P.; Fent, K. Additive and synergistic antiandrogenic activities of mixtures of azol fungicides and vinclozolin. Toxicol. Appl. Pharmacol. 2014, 279, 455–466. [Google Scholar] [CrossRef] [PubMed]
- Cedergreen, N. Quantifying synergy: A systematic review of mixture toxicity studies within environmental toxicology. PLoS ONE 2014, 9, e96580. [Google Scholar] [CrossRef]
- Gomez Cortes, L.; Marinov, D.; Sanseverino, I.; Navarro Cuenca, A.; Niegowska, M.; Porcel Rodriguez, E.; Lettieri, T. Selection of Substances for the 3rd Watch List Under the Water Framework Directive, EUR 30297 EN; JRC121346; Publications Office of the European Union: Luxembourg, 2020; ISBN 978-92-76-19425-5. [Google Scholar] [CrossRef]
- Huang, F.; Liu, M.; Qin, L.; Mo, L.; Liang, Y.; Zeng, H.; Deng, Z. Toxicity interactions of azole fungicide mixtures on Chlorella pyrenoidosa. Environ. Toxicol. 2023, 38, 1509–1519. [Google Scholar] [CrossRef]
- De Castro-Català, N.; Muñoz, I.; Riera, J.; Ford, A. Evidence of low dose effects of the antidepressant fluoxetine and the fungicide prochloraz on the behavior of the keystone freshwater invertebrate Gammarus pulex. Environ. Pollut. 2017, 231, 406–414. [Google Scholar] [CrossRef]
- Wu, S.; Lei, L.; Liu, M.; Song, Y.; Lu, S.; Li, D.; Shi, H.; Raley-Susman, K.M.; He, D. Single and mixture toxicity of strobilurin and SDHI fungicides to Xenopus tropicalis embryos. Ecotoxicol. Environ. Saf. 2018, 153, 8–15. [Google Scholar] [CrossRef]
- Rosenbom, A.E.; Karan, S.; Badawi, N.; Gudmundsson, L.; Hansen, C.H.; Nielsen, C.B.; Plauborg, F.; Olsen, P. The Danish Pesticide Leaching Assessment Programme: Monitoring results May 1999–June 2019; Geological Survey of Denmark and Greenland: Copenhagen, Denmark, 2021; Available online: http://pesticidvarsling.dk/wp-content/uploads/2021/01/The-Danish-Pesticide-Leaching-Assessment-Programme-2019-.pdf (accessed on 26 March 2024).
- Liu, J.; Xia, W.; Wan, Y.; Xu, S. Azole and strobilurin fungicides in source, treated, and tap water from Wuhan, central China: Assessment of human exposure potential. Sci. Total Environ. 2021, 801, 149733. [Google Scholar] [CrossRef] [PubMed]
- Anses. Campagne Nationale de Mesure de L’occurrence de Composés Émergents Dans les Eaux Destinées à la Consom-mation Humaine. Pesticides et Métabolites de Pesticides—Résidus D’explosifs—1,4-Dioxane Campagne 2020–2022. Campagne 2020–2022. 2022. Available online: https://www.anses.fr/fr/system/files/LABORATOIRE2022AST0255Ra.pdf (accessed on 18 March 2024).
- Jørgensen, L.N.; Heick, T.M. Azole Use in Agriculture, Horticulture, and Wood Preservation—Is It Indispensable? Front. Cell. Infect. Microbiol. 2021, 11, 730297. [Google Scholar] [CrossRef] [PubMed] [PubMed Central]
- Jeanvoine, A.; Rocchi, S.; Bellanger, A.; Reboux, G.; Millon, L. Azole-resistant Aspergillus fumigatus: A global phenomenon originating in the environment? Med. Mal. Infect. 2019, 50, 389–395. [Google Scholar] [CrossRef]
- Bowyer, P.; Denning, D.W. Environmental fungicides and triazole resistance in Aspergillus. Pest Manag. Sci. 2013, 70, 173–178. [Google Scholar] [CrossRef] [PubMed]
- Environment Agency. Scoping Review into Environmental Selection for Antifungal Resistance and Testing Methodology. 2022. Available online: https://www.gov.uk/government/publications/scoping-review-into-environmental-selection-for-antifungal-resistance-and-testing-methodology (accessed on 12 March 2024).
- European Commission. Water Framework Directive. 2023. Available online: https://environment.ec.europa.eu/topics/water/water-framework-directive_en (accessed on 12 April 2024).
- Food and Agriculture Organization of the United Nations. 2024—With Major Processing by Our World in Data. “Total Pesti-cide Use—FAO” [Dataset]. Available online: https://ourworldindata.org/grapher/pesticide-use-tonnes (accessed on 8 March 2024).
- Environment Agency. Water Quality Monitoring Data GC-MS and LC-MS Semi-Quantitative Screen. 2024. Available online: https://data.gov.uk (accessed on 24 February 2024).
- Sims, K. Chemicals of Concern: A Prioritisation and Early Warning System for England; Environmental Chemistry Group—Bulletin; Royal Society of Chemistry: London, UK, 2022; Available online: https://www.rsc.org/globalassets/03-membership-community/connect-with-others/through-interests/interest-groups/environmental/bulletins/july-2022-bulletin-ecg.pdf (accessed on 19 February 2024).
- Health and Safety Executive. Biocidal Products Regulation for Great Britain and Northern Ireland. 2024. Available online: https://www.hse.gov.uk/biocides/uk-list-active-substances.htm (accessed on 6 March 2024).
- Department for Environment and Rural Affairs. Water Quality Archive. 2024. Available online: https://environment.data.gov.uk/water-quality/view/landing (accessed on 4 March 2024).
- European Commission. Proposal for a DIRECTIVE OF THE EUROPEAN PARLIAMENT AND OF THE COUNCIL amending Directive 2000/60/EC Establishing a Framework for Community Action in the Field of Water Policy, Directive 2006/118/EC on the Protection of Groundwater against Pollution and Deterioration and Directive 2008/105/EC on Environmental Quality Standards in the Field of Water Policy. 2022. Available online: https://eur-lex.europa.eu/legal-content/EN/TXT/?uri=CELEX%3A52022PC0540 (accessed on 16 April 2024).
- Backhaus, T. Commentary on the EU Commission’s proposal for amending the Water Framework Directive, the Groundwater Directive, and the Directive on Environmental Quality Standards. Environ. Sci. Eur. 2023, 35, 22. [Google Scholar] [CrossRef]
- Gomez Cortes, L.; Marinov, D.; Sanseverino, I.; Navarro Cuenca, A.; Niegowska Conforti, M.; Porcel Rodriguez, E.; Stefanelli, F.; Lettieri, T. Selection of Substances for the 4th Watch List Under the Water Framework Directive; JRC130252; Publications Office of the European Union: Luxembourg, 2022. [Google Scholar] [CrossRef]
- Gardner, M.; Comber, S.; Ellor, B. Summary of data from the UKWIR chemical investigations programme and a comparison of data from the past ten years’ monitoring of effluent quality. Sci. Total Environ. 2022, 832, 155041. [Google Scholar] [CrossRef] [PubMed]
- UKWIR. Chemical Investigations Programme—Data Access Portal. 2024. Available online: https://chemicalinvestigations.ukwir.org/sign-up-and-access-the-chemical-investigations-programme-data-access-portal (accessed on 12 March 2024).
- R Core Team. R: A Language and Environment for Statistical Computing; R Foundation for Statistical Computing: Vienna, Austria, 2023; Available online: https://www.R-project.org/ (accessed on 11 December 2023).
- He, P.; Aga, D.S. Comparison of GC-MS/MS and LC-MS/MS for the analysis of hormones and pesticides in surface waters: Advantages and pitfalls. Anal. Methods 2019, 11, 1436–1448. [Google Scholar] [CrossRef]
- Spurgeon, D.; Wilkinson, H.; Civil, W.; Hutt, L.; Armenise, E.; Kieboom, N.; Sims, K.; Besien, T. Proportional contributions to organic chemical mixture effects in groundwater and surface water. Water Res. 2022, 220, 118641. [Google Scholar] [CrossRef]
- Centre for Ecology & Hydrology; Spurgeon, D.; Hesketh, H.; Lahive, E.; Svendsen, C.; Baas, J.; Robinson, A.; Horton, A.; Heard, M. Chronic oral lethal and sub-lethal toxicities of different binary mixtures of pesticides and contaminants in bees (Apis mellifera, Osmia bicornis and Bombus terrestris). EFSA Support. Publ. 2016, 13, 1076E. [Google Scholar] [CrossRef][Green Version]
- Bart, S.; Short, S.; Jager, T.; Eagles, E.J.; Robinson, A.; Badder, C.; Lahive, E.; Spurgeon, D.J.; Ashauer, R. How to analyse and account for interactions in mixture toxicity with toxicokinetic-toxicodynamic models. Sci. Total Environ. 2022, 843, 157048. [Google Scholar] [CrossRef]
- Thompson, H.M.; Fryday, S.L.; Harkin, S.; Milner, S. Potential impacts of synergism in honeybees (Apis mellifera) of exposure to neonicotinoids and sprayed fungicides in crops. Apidologie 2014, 45, 545–553. [Google Scholar] [CrossRef]
- Lewis, K.A.; Tzilivakis, J.; Warner, D.J.; Green, A. An international database for pesticide risk assessments and management. Hum. Ecol. Risk Assess. Int. J. 2016, 22, 1050–1064. [Google Scholar] [CrossRef]
- Brandhorst, T.T.; Klein, B.S. Uncertainty surrounding the mechanism and safety of the post-harvest fungicide fludioxonil. Food Chem. Toxicol. 2018, 123, 561–565. [Google Scholar] [CrossRef]
- Rhodes, L.A.; McCarl, B.A. An Analysis of Climate Impacts on Herbicide, Insecticide, and Fungicide Expenditures. Agronomy 2020, 10, 745. [Google Scholar] [CrossRef]
- Cabrera, L.C.; Di Piazza, G.; Dujardin, B.; Pastor, P.M. The 2021 European Union report on pesticide residues in food. EFSA J. 2023, 21, e07939. [Google Scholar] [CrossRef]
- Chalew, T.E.A.; Halden, R.U. Environmental Exposure of Aquatic and Terrestrial Biota to Triclosan and Triclocarban. J. Am. Water Resour. Assoc. 2009, 45, 4–13. [Google Scholar] [CrossRef] [PubMed] [PubMed Central]
- Amorim, M.J.; Oliveira, E.; Soares, A.M.; Scott-Fordsmand, J.J. Predicted No Effect Concentration (PNEC) for triclosan to terrestrial species (invertebrates and plants). Environ. Int. 2010, 36, 338–343. [Google Scholar] [CrossRef]
- ECHA. Triclosan Ecotoxicological Summary. 2023. Available online: https://echa.europa.eu/registration-dossier/-/registered-dossier/12675/6/1 (accessed on 23 May 2024).
- Fuchsman, P.; Lyndall, J.; Bock, M.; Lauren, D.; Barber, T.; Leigh, K.; Perruchon, E.; Capdevielle, M. Terrestrial ecological risk evaluation for triclosan in land-applied biosolids. Integr. Environ. Assess. Manag. 2010, 6, 405–418. [Google Scholar] [CrossRef]
- Reiss, R.; Lewis, G.; Griffin, J. An ecological risk assessment for triclosan in the terrestrial environment. Environ. Toxicol. Chem. 2009, 28, 1546–1556. [Google Scholar] [CrossRef]
- Reilly, T.J.; Smalling, K.L.; Orlando, J.L.; Kuivila, K.M. Occurrence of boscalid and other selected fungicides in surface water and groundwater in three targeted use areas in the United States. Chemosphere 2012, 89, 228–234. [Google Scholar] [CrossRef]
- Bengtsson-Palme, J.; Larsson, D.J. Concentrations of antibiotics predicted to select for resistant bacteria: Proposed limits for environmental regulation. Environ. Int. 2016, 86, 140–149. [Google Scholar] [CrossRef]
- Assress, H.A.; Nyoni, H.; Mamba, B.B.; Msagati, T.A. Occurrence and risk assessment of azole antifungal drugs in water and wastewater. Ecotoxicol. Environ. Saf. 2020, 187, 109868. [Google Scholar] [CrossRef]
- FIDRA. PFAS Active Substances in UK Pesticides. 2024. Available online: https://www.fidra.org.uk/download/pfas-in-uk-pesticides/#:~:text=Key%20findings%3A,the%20arable%20sector%20in%202022 (accessed on 23 May 2024).
- Kirchner, J.W.; Feng, X.; Neal, C.; Robson, A.J. The fine structure of water-quality dynamics: The (high-frequency) wave of the future. Hydrol. Process. 2004, 18, 1353–1359. [Google Scholar] [CrossRef]
- Rasmussen, J.J.; Wiberg-Larsen, P.; Baattrup-Pedersen, A.; Cedergreen, N.; McKnight, U.S.; Kreuger, J.; Jacobsen, D.; Kris-tensen, E.A.; Friberg, N. The legacy of pesticide pollution: An overlooked factor in current risk assessments of fresh-water systems. Water Res. 2015, 84, 25–32. [Google Scholar] [CrossRef] [PubMed]
- Rasche, L. Estimating Pesticide Inputs and Yield Outputs of Conventional and Organic Agricultural Systems in Europe under Climate Change. Agronomy 2021, 11, 1300. [Google Scholar] [CrossRef]
- Ridley, L.; Mace, A.; Stroda, E.; Parrish, G.; Rainford, J.; MacArthur, R.; Garthwaite, D. Pesticide Usage Survey Report 295. Arable Crops in the United Kingdom 2020. Available online: https://pusstats.fera.co.uk/upload/fERxvRulVrwRsvVQVIgL3nDvXfW3oxvLeiISwzGA.pdf (accessed on 16 May 2024).
- Kahle, M.; Buerge, I.J.; Hauser, A.; Müller, M.D.; Poiger, T. Azole Fungicides: Occurrence and Fate in Wastewater and Surface Waters. Environ. Sci. Technol. 2008, 42, 7193–7200. [Google Scholar] [CrossRef] [PubMed]
- Smalling, K.L.; Reilly, T.J.; Sandstrom, M.W.; Kuivila, K.M. Occurrence and persistence of fungicides in bed sediments and suspended solids from three targeted use areas in the United States. Sci. Total Environ. 2013, 447, 179–185. [Google Scholar] [CrossRef]







| Chemical Name | Approval Status | Fungicide Class | PEWS Surface Water Risk | 
|---|---|---|---|
| Azoxystrobin | Approved | Strobilurin | Priority 4 | 
| Captan | Approved | Dicarboximide | Priority 2 | 
| Dimoxystrobin | Approved | Strobilurin | Priority 1 | 
| Epoxiconazole | No longer approved | Azole | Priority 1 | 
| Fludioxonil | Approved | Phenylpyrrole | Priority 2 | 
| Fluoxastrobin | Approved | Strobilurin | Priority 2 | 
| Fluquinconazole | Approved | Azole | Priority 2 | 
| Imazalil | Approved | Azole | Priority 4 | 
| Ipconazole | Approved | Azole | Priority 4 | 
| Mancozeb | Withdrawal due 2025 | Carbamate | Priority 2 | 
| Metalaxyl-M | Approved | Acylalanine | Priority 4 | 
| Metconazole | Approved | Azole | Priority 1 | 
| Penconazole | Approved | Azole | Priority 1 | 
| Penthiopyrad | Approved | Pyrazole carboxamide | Priority 2 | 
| Prochloraz | Approved | Azole | Priority 4 | 
| Propiconazole | No longer approved | Azole | Priority 1 | 
| Proquinazid | Approved | Quinazolinone | Priority 4 | 
| Tebuconazole | Approved | Azole | Priority 1 | 
| Triclosan | Banned in some products | Chlorinated aromatic | Priority 1 | 
| Compound | Detections | Detection a (%) | Detection b (%) | Concentration (µg L−1) | |||
|---|---|---|---|---|---|---|---|
| Median | Mean | Min | Max | ||||
| Azoxystrobin | 1303 | 82 | 90 | 0.0061 | 0.0208 | 0.0011 | 2.2 | 
| Dimoxystrobin | 7 | 0.4 | 0.5 | 0.013 | 0.0126 | 0.0037 | 0.02 | 
| Epoxiconazole | 730 | 46 | 50 | 0.0029 | 0.00481 | 0.0011 | 0.05 | 
| Fludioxonil | 430 | 27 | 30 | 0.0016 | 0.00393 | 0.0011 | 0.22 | 
| Fluoxastrobin | 516 | 32 | 36 | 0.002 | 0.00287 | 0.0011 | 0.026 | 
| Fluquinconazole | 0 | 0 | 0 | - | - | - | - | 
| Imazalil | 30 | 1.9 | 2.1 | 0.00135 | 0.00167 | 0.0011 | 0.0034 | 
| Ipconazole | 0 | 0 | 0 | - | - | - | - | 
| Metconazole | 4 | 0.3 | 0.3 | 0.0031 | 0.00615 | 0.0014 | 0.017 | 
| Metalaxyl * | 10 | 0.6 | 0.7 | 0.00825 | 0.0152 | 0.0012 | 0.045 | 
| Penconazole | 2 | 0.1 | 0.1 | 0.00145 | 0.00145 | 0.0014 | 0.0015 | 
| Penthiopyrad | 21 | 1.3 | 1.5 | 0.0015 | 0.00168 | 0.0011 | 0.0035 | 
| Prochloraz | 9 | 0.6 | 0.6 | 0.0032 | 0.00904 | 0.0011 | 0.049 | 
| Propiconazole | 807 | 51 | 56 | 0.0029 | 0.0155 | 0.0011 | 9 | 
| Proquinazid | 0 | 0 | 0 | - | - | - | - | 
| Tebuconazole | 813 | 51 | 56 | 0.0082 | 0.0183 | 0.0011 | 1.1 | 
| Triclosan | 857 | 54 | 59 | 0.0052 | 0.0672 | 0.0011 | 5 | 
| Compound | Detections | Detection a (%) | Detection b (%) | Concentration (µg L−1) | |||
|---|---|---|---|---|---|---|---|
| Median | Mean | Min | Max | ||||
| Azoxystrobin | 31 | 0.48 | 17 | 0.052 | 0.187 | 0.019 | 1.7 | 
| Captan | 1 | 0.02 | 0.6 | 0.47 | 0.47 | 0.47 | 0.47 | 
| Dimoxystrobin | 4 | 0.06 | 2.2 | 0.046 | 0.063 | 0.029 | 0.131 | 
| Epoxiconazole | 17 | 0.26 | 9.4 | 0.043 | 0.051 | 0.018 | 0.163 | 
| Fludioxonil | 21 | 0.33 | 12 | 0.03 | 0.048 | 0.011 | 0.208 | 
| Fluoxastrobin | 1 | 0.02 | 0.6 | 9.8 | 9.8 | 9.8 | 9.8 | 
| Fluquinconazole | 2 | 0.03 | 1.1 | 0.0645 | 0.065 | 0.048 | 0.081 | 
| Imazalil | 0 | 0 | 0 | - | - | - | - | 
| Ipconazole | 0 | 0 | 0 | - | - | - | - | 
| Metalaxyl | 27 | 0.4 | 13 | 0.039 | 0.129 | 0.007 | 0.8 | 
| Propiconazole | 32 | 0.50 | 18 | 0.0805 | 0.148 | 0.013 | 0.995 | 
| Penconazole | 0 | 0 | 0 | - | - | - | - | 
| Penthiopyrad | 0 | 0 | 0 | - | - | - | - | 
| Prochloraz | 0 | 0 | 0 | - | - | - | - | 
| Tebuconazole | 101 | 1.56 | 56 | 0.02 | 0.136 | 0.011 | 9 | 
| Triclosan | 18 | 0.28 | 9.9 | 0.0155 | 0.022 | 0.011 | 0.066 | 
| Number of Samples | % Total Samples | Reference | |
|---|---|---|---|
| Prochloraz + Imidacloprid | 4 | 0.3 | [52] | 
| Propiconazole + Imidacloprid * | 673 | 42 | |
| Propiconazole + Clothianidin | 523 | 32 | [51] | 
| Propiconazole + Thiamethoxam | 82 | 5 | [53] | 
| Tebuconazole + Clothianidin | 681 | 43 | [53] | 
| Tebuconazole + Thiamethoxam | 133 | 8 | [53] | 
| Triclosan | 2019 | 2020 | 2021 | 2022 | 2023 | 
|---|---|---|---|---|---|
| Total sites sampled | 96 | 92 | 97 | 131 | 132 | 
| Total number of samples | 587 | 134 | 878 | 1118 | 308 | 
| Min samples per site | 1 | 1 | 1 | 1 | 1 | 
| Max samples per site | 7 | 3 | 12 | 12 | 4 | 
| Median samples per site | 7 | 1 | 10 | 10 | 3 | 
| Samples > Limit of Detection | 76 | 3 | 34 | 83 | 4 | 
| % Samples > Limit of Detection | 13 | 2 | 4 | 7 | 1 | 
| AA EQS exceedances | 5 | 1 | 0 | 1 | 0 | 
| % of AA EQS exceedances | 5 | 1 | 0 | 1 | 0 | 
| MAC EQS exceedances | 21 | 1 | 3 | 10 | 0 | 
| % of MAC EQS exceedances | 4 | 1 | <1 | 1 | 0 | 
| Azoxystrobin | 2019 | 2020 | 2021 | 2022 | 2023 | 
|---|---|---|---|---|---|
| Total sites sampled | 4 | 3 | 101 | 101 | 208 | 
| Total number of samples | 23 | 8 | 885 | 1001 | 1417 | 
| Min samples per site | 3 | 2 | 1 | 1 | 1 | 
| Max samples per site | 7 | 3 | 12 | 13 | 12 | 
| Median samples per site | 6.5 | 3 | 9 | 11 | 7 | 
| Samples > Limit of Detection | 0 | 0 | 14 | 8 | 50 | 
| % Samples > Limit of Detection | 0 | 0 | 2 | 1 | 4 | 
| PNEC exceedances | 0 | 0 | 1 | 1 | 2 | 
| % of PNEC exceedances | 0 | 0 | <1 | <1 | <1 | 
| Disclaimer/Publisher’s Note: The statements, opinions and data contained in all publications are solely those of the individual author(s) and contributor(s) and not of MDPI and/or the editor(s). MDPI and/or the editor(s) disclaim responsibility for any injury to people or property resulting from any ideas, methods, instructions or products referred to in the content. | 
© 2025 by the authors. Licensee MDPI, Basel, Switzerland. This article is an open access article distributed under the terms and conditions of the Creative Commons Attribution (CC BY) license (https://creativecommons.org/licenses/by/4.0/).
Share and Cite
Porter, N.; Collins, R. Fungicides in English Rivers: Widening the Understanding of the Presence, Co-Occurrence and Implications for Risk Assessment. Environments 2025, 12, 45. https://doi.org/10.3390/environments12020045
Porter N, Collins R. Fungicides in English Rivers: Widening the Understanding of the Presence, Co-Occurrence and Implications for Risk Assessment. Environments. 2025; 12(2):45. https://doi.org/10.3390/environments12020045
Chicago/Turabian StylePorter, Nick, and Rob Collins. 2025. "Fungicides in English Rivers: Widening the Understanding of the Presence, Co-Occurrence and Implications for Risk Assessment" Environments 12, no. 2: 45. https://doi.org/10.3390/environments12020045
APA StylePorter, N., & Collins, R. (2025). Fungicides in English Rivers: Widening the Understanding of the Presence, Co-Occurrence and Implications for Risk Assessment. Environments, 12(2), 45. https://doi.org/10.3390/environments12020045
 
        


 
       