Performance of Colilert-18 and qPCR for Monitoring E. coli Contamination at Freshwater Beaches in Michigan
Abstract
1. Introduction
- The relative merits of Colilert-18 and qPCR as the basis for beach notification decisions, viewing decisions based on Colilert-18 estimates of E. coli concentrations for the day of sampling as the benchmark;
- The relative merits of Colilert-18 and qPCR estimates of E. coli contamination for rigorous statistical assessment of differences in levels of contamination at different beaches or groups of beaches;
- The relative levels of E. coli contamination at Michigan’s inland-lake and coastal beaches during 2019 and 2020, as judged by Colilert-18 and qPCR.
2. Materials and Methods
2.1. Sampling Locations
2.2. Participating Laboratories
2.3. Sample Collection and Preparation
2.4. Methods of E. coli Quantification
2.5. Michigan’s Recreational Water Quality Standards
2.6. Assessing the Performance of Michigan’s Proposed qTV
2.7. Statistical Comparison of Concentration Distributions
3. Results
3.1. Beach Notification Decisions Based on qPCR vs. Colilert-18
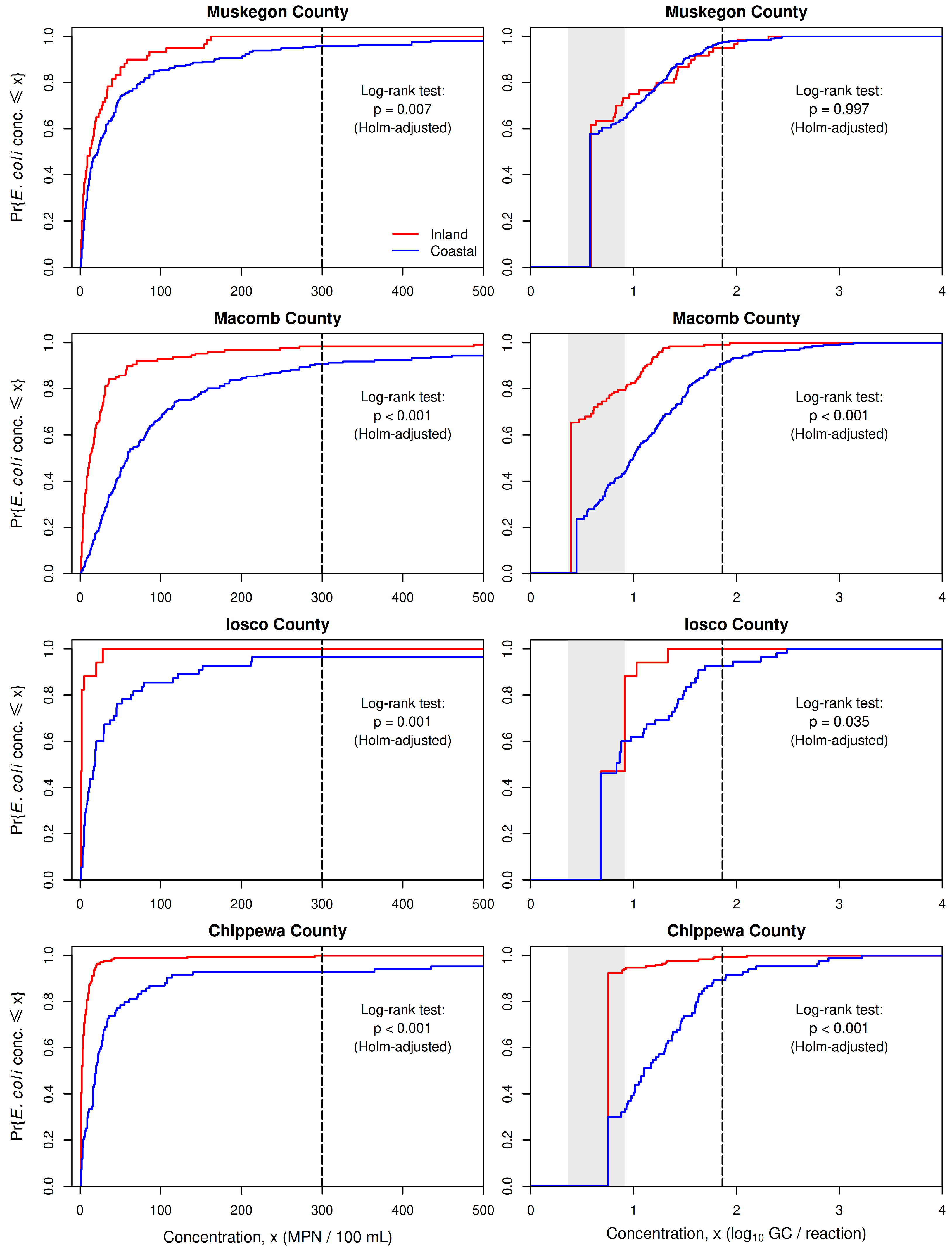
3.2. Detecting Differences in E. coli Contamination Between Inland-Lake and Coastal Beaches
4. Discussion
5. Conclusions
- The levels of E. coli contamination at Michigan’s freshwater beaches during 2019 and 2020 tended to be higher at coastal (Great Lakes) beaches than at inland-lake beaches. This surprising pattern held for the combined state-wide data as well as for four individual counties across the state that had both coastal and inland-lake beaches.
- The main advantage of qPCR analysis for beach monitoring is that results can be available early enough on the day of sampling to prevent most recreators from entering the water if the E. coli level on that day exceeds the state RWQS for full-body contact recreation. By contrast, Colilert-18 results are not available until the day after sampling, by which time the E. coli level is likely to be markedly different.
- The main advantage of Colilert-18 data is the much lower frequency of censored E. coli concentrations. Estimated nonparameteric distribution functions for Colilert-18 typically are relatively smooth across the entire range of observed concentrations, while those for qPCR deteriorate into crude step functions at moderate to low concentrations, where most of the lower limits of quantification for qPCR analysis occur. Partly because of this deterioration in qPCR distribution functions, hypothesis tests for differences between E. coli distributions for coastal and inland lake beaches provided strong evidence for differences at both the state-wide and county levels more often with Colilert-18 data than with qPCR data.
- Overall, we conclude that each of the two analytical methods we compared has strengths and weaknesses that make it a more appropriate tool for certain tasks and a less appropriate tool for others.
Author Contributions
Funding
Data Availability Statement
Acknowledgments
Conflicts of Interest
Abbreviations
| E. coli | Escherichia coli |
| FIB | Fecal indicator bacteria |
| LLOQ | Lower limit of quantification |
| MPN | Most probable number |
| qPCR | Real-time quantitative polymerase chain reaction |
| qTV | qPCR threshold value |
| RWQS | Recreational water quality standard(s) |
| ULOQ | Upper limit of quantification |
| USEPA | United States Environmental Protection Agency |
Appendix A
| Laboratory |
|---|
| Assurance Water Laboratory, Central Michigan District Health Department |
| Shimadzu Core Laboratory, Ferris State University |
| Annis Water Resources Institute, Grand Valley State University |
| Environmental Analysis Laboratory, Lake Superior State University |
| Oakland County Health Division Laboratory |
| HEART Freshwater Field Station Laboratory, Oakland University |
| Department of Chemistry, Saginaw Valley State University |
References
- Bain, R.; Cronk, R.; Hossain, R.; Bonjour, S.; Onda, K.; Wright, J.; Yang, H.; Slaymaker, T.; Hunter, P.; Prüss-Ustün, A.; et al. Global assessment of exposure to faecal contamination through drinking water based on a systematic review. Trop. Med. Int. Health 2014, 19, 917–927. [Google Scholar] [CrossRef] [PubMed]
- USEPA. National Rivers and Streams Assessment 2013–2014: A Collaborative Survey; Technical Report 841-R-19-001; U.S. Environmental Protection Agency: Washington, DC, USA, 2020.
- Dufour, A. A short history of methods used to measure bathing beach water quality. J. Microbiol. Methods 2021, 181, 106134. [Google Scholar] [CrossRef] [PubMed]
- USEPA. Recreational Water Quality Criteria; Technical Report 820-F-12-058; U.S. Environmental Protection Agency: Washington, DC, USA, 2012.
- Stevenson, A.H. Studies of bathing water quality and health. Am. J. Public Health 1953, 43, 529–538. [Google Scholar] [CrossRef]
- Cabelli, V.; Dufour, A.; McCabe, L.; Levin, M. Swimming-associated gastroenteritis and water quality. Am. J. Epidemiol. 1982, 115, 606–616. [Google Scholar] [CrossRef]
- Dufour, A. Health Effects Criteria for Fresh Recreational Waters; Technical Report EPA-600-1-84-004; USEPA: Cincinnati, OH, USA, 1984.
- Wade, T.J.; Calderon, R.L.; Brenner, K.P.; Sams, E.; Beach, M.; Haugland, R.; Wymer, L.; Dufour, A.P. High sensitivity of children to swimming-associated gastrointestinal illness: Results using a rapid assay of recreational water quality. Epidemiology 2008, 19, 375–383. [Google Scholar] [CrossRef]
- Colford, J.M., Jr.; Schiff, K.C.; Griffith, J.F.; Yau, V.; Arnold, B.F.; Wright, C.C.; Gruber, J.S.; Wade, T.J.; Burns, S.; Hayes, J.; et al. Using rapid indicators for Enterococcus to assess the risk of illness after exposure to urban runoff contaminated marine water. Water Res. 2012, 46, 2176–2186. [Google Scholar] [CrossRef]
- Baird, R.; Rice, E.; Eaton, A. Standard Methods for the Examination of Water and Wastewaters; American Public Health Association: Washington, DC, USA, 2017. [Google Scholar]
- Haugland, R.; Oshima, K.; Sivaganesan, M.; Dufour, A.; Varma, M.; Siefring, S.; Nappier, S.; Schnitker, B.; Briggs, S. Large-scale comparison of E. coli levels determined by culture and a qPCR method (EPA Draft Method C) in Michigan towards the implementation of rapid, multi-site beach testing. J. Microbiol. Methods 2021, 184, 106186. [Google Scholar] [CrossRef]
- McNair, J.N.; Lane, M.J.; Hart, J.J.; Porter, A.M.; Briggs, S.; Southwell, B.; Sivy, T.; Szlag, D.C.; Scull, B.T.; Pike, S.; et al. Validity assessment of Michigan’s proposed qPCR threshold value for rapid water-quality monitoring of E. coli contamination. Water Res. 2022, 226, 119235. [Google Scholar] [CrossRef]
- Haugland, R.A.; Siefring, S.C.; Wymer, L.J.; Brenner, K.P.; Dufour, A.P. Comparison of Enterococcus measurements in freshwater at two recreational beaches by quantitative polymerase chain reaction and membrane filter culture analysis. Water Res. 2005, 39, 559–568. [Google Scholar] [CrossRef]
- Griffith, J.F.; Weisberg, S.B. Challenges in implementing new technology for beach water quality monitoring: Lessons from a California demonstration project. Mar. Technol. Soc. J. 2011, 45, 65–73. [Google Scholar] [CrossRef]
- Whitman, R.L.; Nevers, M.B.; Gerovac, P.J. Interaction of ambient conditions and fecal coliform bacteria in southern Lake Michigan beach waters: Monitoring program implications. Nat. Areas J. 1999, 19, 166–171. [Google Scholar]
- Boehm, A.B.; Grant, S.; Kim, J.; Mowbray, S.; McGee, C.; Clark, C.; Foley, D.; Wellman, D. Decadal and shorter period variability of surf zone water quality at Huntington Beach, California. Environ. Sci. Technol. 2002, 36, 3885–3892. [Google Scholar] [CrossRef] [PubMed]
- Whitman, R.L.; Nevers, M.B. Escherichia coli sampling reliability at a frequently closed Chicago beach: Monitoring and management implications. Environ. Sci. Technol. 2004, 38, 4241–4246. [Google Scholar] [CrossRef] [PubMed]
- Boehm, A.B. Enterococci concentrations in diverse coastal environments exhibit extreme variability. Environ. Sci. Technol. 2007, 41, 8227–8232. [Google Scholar] [CrossRef] [PubMed]
- Shrestha, A.; Dorevitch, S. Evaluation of rapid qPCR method for quantification of E. coli at non-point source impacted Lake Michigan beaches. Water Res. 2019, 156, 395–403. [Google Scholar] [CrossRef]
- Saleem, F.; Schellhorn, H.E.; Simhon, A.; Edge, T.A. Same-day Enterococcus qPCR results of recreational water quality at two Toronto beaches provide added public health protection and reduced beach days lost. Can. J. Public Health 2023, 114, 676–687. [Google Scholar] [CrossRef]
- Helsel, D.R. Statistics for Censored Environmental Data Using Minitab and R; John Wiley & Sons: Hoboken, NJ, USA, 2012. [Google Scholar]
- Sivaganesan, M.; Aw, T.G.; Briggs, S.; Dreelin, E.; Aslan, A.; Dorevitch, S.; Shrestha, A.; Isaacs, N.; Kinzelman, J.; Kleinheinz, G.; et al. Standardized data quality acceptance criteria for a rapid Escherichia coli qPCR method (Draft Method C) for water quality monitoring at recreational beaches. Water Res. 2019, 156, 456–464. [Google Scholar] [CrossRef]
- Aw, T.G.; Sivaganesan, M.; Briggs, S.; Dreelin, E.; Aslan, A.; Dorevitch, S.; Shrestha, A.; Isaacs, N.; Kinzelman, J.; Kleinheinz, G.; et al. Evaluation of multiple laboratory performance and variability in analysis of recreational freshwaters by a rapid Escherichia coli qPCR method (Draft Method C). Water Res. 2019, 156, 465–474. [Google Scholar] [CrossRef]
- Lane, M.J.; Rediske, R.R.; McNair, J.N.; Briggs, S.; Rhodes, G.; Dreelin, E.; Sivy, T.; Flood, M.; Scull, B.; Szlag, D.; et al. A comparison of E. coli concentration estimates quantified by the EPA and a Michigan laboratory network using EPA Draft Method C. J. Microbiol. Methods 2020, 179, 106086. [Google Scholar] [CrossRef]
- Lane, M.J.; McNair, J.N.; Rediske, R.R.; Briggs, S.; Sivaganesan, M.; Haugland, R. Simplified analysis of measurement data from a rapid E. coli qPCR method (EPA Draft Method C) using a standardized Excel workbook. Water 2020, 12, 775. [Google Scholar] [CrossRef]
- R Core Team. R: A Language and Environment for Statistical Computing; R Foundation for Statistical Computing: Vienna, Austria, 2024. [Google Scholar]
- Calhoun, P. R Package, Version 3.2; Exact: Unconditional Exact Test; R Foundation for Statistical Computing: Vienna, Austria, 2022. [Google Scholar]
- Ware, J.H.; Demets, D.L. Reanalysis of some baboon descent data. Biometrics 1976, 32, 459–463. [Google Scholar] [CrossRef]
- Turnbull, B.W. Nonparametric estimation of a survivorship function with doubly censored data. J. Am. Stat. Assoc. 1974, 69, 169–173. [Google Scholar] [CrossRef]
- Turnbull, B.W. The empirical distribution function with arbitrarily grouped, censored and truncated data. J. R. Stat. Soc. Ser. B (Methodol.) 1976, 38, 290–295. [Google Scholar] [CrossRef]
- Klein, J.P.; Moeschberger, M.L. Survival Analysis: Techniques for Censored and Truncated Data; Springer: New York, NY, USA, 2003. [Google Scholar]
- Therneau, T.M. R Package, Version 3.7-0; A Package for Survival Analysis in R; R Foundation for Statistical Computing: Vienna, Austria, 2024. [Google Scholar]
- Oller, R.; Langohr, K. FHtest: An R Package for the Comparison of Survival Curves with Censored Data. J. Stat. Softw. 2017, 81, 1–25. [Google Scholar] [CrossRef]
- Lavender, J.S.; Kinzelman, J.L. A cross comparison of QPCR to agar-based or defined substrate test methods for the determination of Escherichia coli and enterococci in municipal water quality monitoring programs. Water Res. 2009, 43, 4967–4979. [Google Scholar] [CrossRef]
- Cao, Y.; Raith, M.R.; Griffith, J.F. Droplet digital PCR for simultaneous quantification of general and human-associated fecal indicators for water quality assessment. Water Res. 2015, 70, 337–349. [Google Scholar] [CrossRef]
- Sivaganesan, M.; Haugland, R.A.; Chern, E.C.; Shanks, O.C. Improved strategies and optimization of calibration models for real-time PCR absolute quantification. Water Res. 2010, 44, 4726–4735. [Google Scholar] [CrossRef]
- Basu, A.S. Digital assays part I: Partitioning statistics and digital PCR. SLAS Technol. Transl. Life Sci. Innov. 2017, 22, 369–386. [Google Scholar] [CrossRef]





| Property | Colilert-18 | qPCR | |
|---|---|---|---|
| Inland-Lake | Coastal | ||
| Can beach decisions be made on the same day samples are collected? | No | Yes | Yes |
| % Sampling days on which recreation is prohibited when it is unsafe (TPR) | 0 | 85.2 | 59.4 |
| % Sampling days on which recreation is permitted when it is unsafe (FNR) | 100 | 14.8 | 40.6 |
| % Sampling days on which recreation is permitted when it is safe (TNR) | 100 | 94.3 | 97.4 |
| % Sampling days on which recreation is prohibited when it is safe (FPR) | 0 | 5.7 | 2.6 |
| County | Colilert-18 | qPCR | ||
|---|---|---|---|---|
| Inland-Lake | Coastal | Inland-Lake | Coastal | |
| All | 6.1 | 7.9 | 10.5 | 7.1 |
| Muskegon | 0.0 | 4.2 | 5.0 | 2.4 |
| Macomb | 1.6 | 9.1 | 0.8 | 9.1 |
| Iosco | 0.0 | 3.6 | 0.0 | 7.3 |
| Chippewa | 0.0 | 7.1 | 0.6 | 10.7 |
Disclaimer/Publisher’s Note: The statements, opinions and data contained in all publications are solely those of the individual author(s) and contributor(s) and not of MDPI and/or the editor(s). MDPI and/or the editor(s) disclaim responsibility for any injury to people or property resulting from any ideas, methods, instructions or products referred to in the content. |
© 2025 by the authors. Licensee MDPI, Basel, Switzerland. This article is an open access article distributed under the terms and conditions of the Creative Commons Attribution (CC BY) license (https://creativecommons.org/licenses/by/4.0/).
Share and Cite
McNair, J.N.; Rediske, R.R.; Hart, J.J.; Jamison, M.N.; Briggs, S. Performance of Colilert-18 and qPCR for Monitoring E. coli Contamination at Freshwater Beaches in Michigan. Environments 2025, 12, 21. https://doi.org/10.3390/environments12010021
McNair JN, Rediske RR, Hart JJ, Jamison MN, Briggs S. Performance of Colilert-18 and qPCR for Monitoring E. coli Contamination at Freshwater Beaches in Michigan. Environments. 2025; 12(1):21. https://doi.org/10.3390/environments12010021
Chicago/Turabian StyleMcNair, James N., Richard R. Rediske, John J. Hart, Megan N. Jamison, and Shannon Briggs. 2025. "Performance of Colilert-18 and qPCR for Monitoring E. coli Contamination at Freshwater Beaches in Michigan" Environments 12, no. 1: 21. https://doi.org/10.3390/environments12010021
APA StyleMcNair, J. N., Rediske, R. R., Hart, J. J., Jamison, M. N., & Briggs, S. (2025). Performance of Colilert-18 and qPCR for Monitoring E. coli Contamination at Freshwater Beaches in Michigan. Environments, 12(1), 21. https://doi.org/10.3390/environments12010021

