ClimateDT: A Global Scale-Free Dynamic Downscaling Portal for Historic and Future Climate Data
Abstract
1. Introduction
2. Materials and Methods
2.1. Baseline Surface: CHELSA 2.1 (1981–2010)
2.2. Historical Climate: CRU-TS
2.3. CMIP5 and CMIP6 Future Scenarios
2.4. Scale-Free Dynamic Downscaling
2.5. Climatic Indices Calculation
2.6. Quality Assessment of ClimateDT Estimates
3. Results
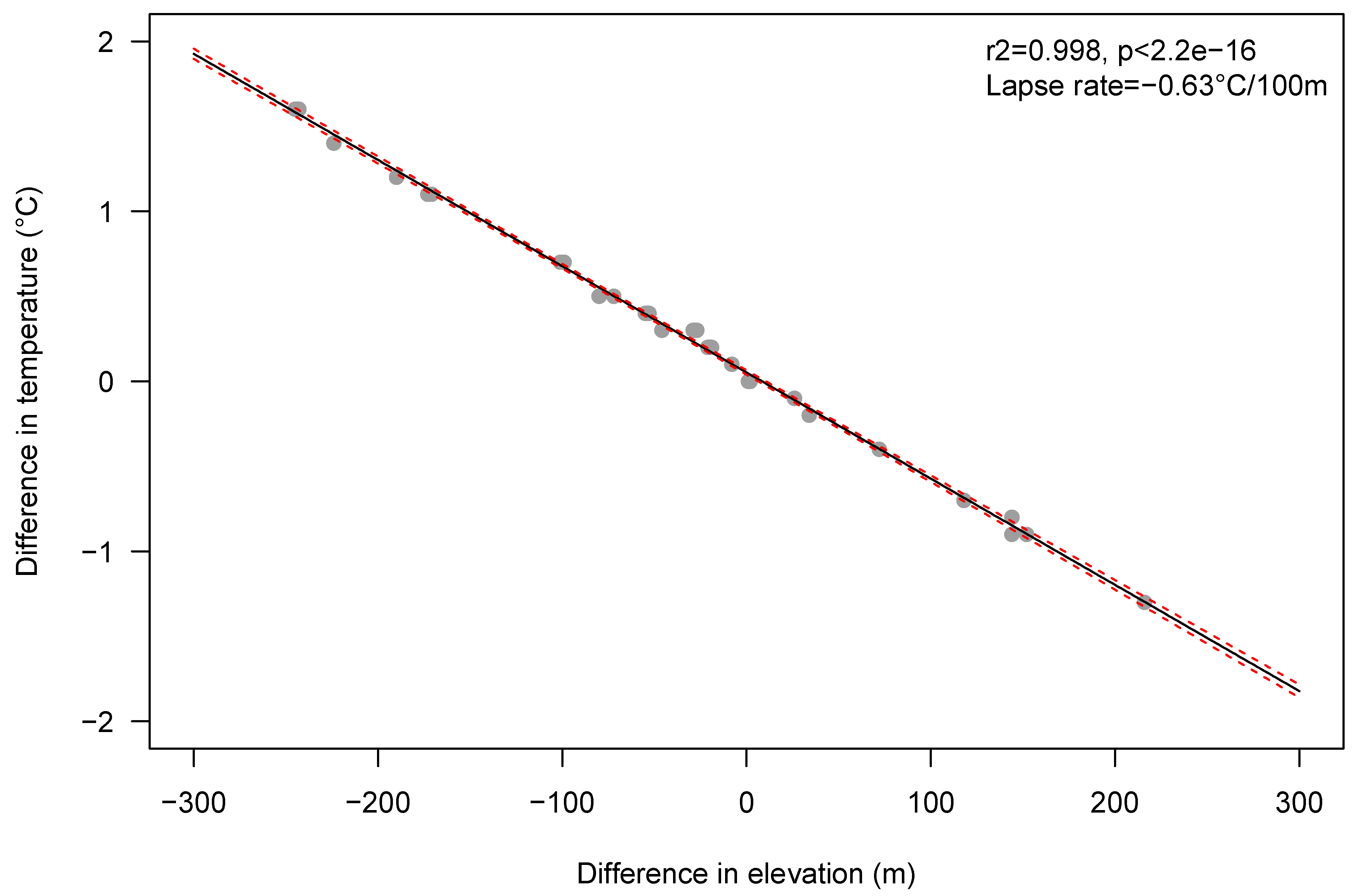
3.1. Effectiveness of the Dynamic Lapse-Rate Adjustment
3.2. Requests Counter and Processing Rate
4. Discussion
4.1. Usage of ClimateDT and Potential Benefits of Its Estimates
4.2. Raster Surfaces Availability and Consistency with CHELSA Layers
5. Conclusions
Author Contributions
Funding
Data Availability Statement
Conflicts of Interest
References
- Bärring, L.; Berlin, M.; Andersson Gull, B. Tailored Climate Indices for Climate-Proofing Operational Forestry Applications in Sweden and Finland. Int. J. Climatol. 2017, 37, 123–142. [Google Scholar] [CrossRef]
- Perdinan, P.; Winkler, J.A. Changing Human Landscapes under a Changing Climate: Considerations for Climate Assessments. Environ. Manag. 2014, 53, 42–54. [Google Scholar] [CrossRef] [PubMed]
- Fady, B.; Esposito, E.; Abulaila, K.; Aleksic, J.M.; Alia, R.; Alizoti, P.; Apostol, E.-N.; Aravanopoulos, P.; Ballian, D.; Kharrat, M.B.D.; et al. Forest Genetics Research in the Mediterranean Basin: Bibliometric Analysis, Knowledge Gaps, and Perspectives. Curr. For. Rep. 2022, 8, 277–298. [Google Scholar] [CrossRef]
- Franklin, J.; Davis, F.W.; Ikegami, M.; Syphard, A.D.; Flint, L.E.; Flint, A.L.; Hannah, L. Modeling Plant Species Distributions under Future Climates: How Fine Scale Do Climate Projections Need to Be? Glob. Chang. Biol. 2013, 19, 473–483. [Google Scholar] [CrossRef]
- Sinclair, S.J.; White, M.D.; Newell, G.R. How Useful Are Species Distribution Models for Managing Biodiversity under Future Climates? Ecol. Soc. 2010, 15, 8. [Google Scholar] [CrossRef]
- Araújo, M.; Pearson, R.; Rahbek, C. Equilibrium of Species’ Distribution with Climate. Ecography 2005, 28, 693–695. [Google Scholar] [CrossRef]
- Hamann, A.; Roberts, D.R.; Barber, Q.E.; Carroll, C.; Nielsen, S.E. Velocity of Climate Change Algorithms for Guiding Conservation and Management. Glob. Chang. Biol. 2015, 21, 997–1004. [Google Scholar] [CrossRef] [PubMed]
- Carroll, C.; Roberts, D.R.; Michalak, J.L.; Lawler, J.J.; Nielsen, S.E.; Stralberg, D.; Hamann, A.; Mcrae, B.H.; Wang, T. Scale-Dependent Complementarity of Climatic Velocity and Environmental Diversity for Identifying Priority Areas for Conservation under Climate Change. Glob. Chang. Biol. 2017, 23, 4508–4520. [Google Scholar] [CrossRef] [PubMed]
- Picard, N.; Marchi, M.; Serra-Varela, M.J.; Westergren, M.; Cavers, S.; Notivol, E.; Piotti, A.; Alizoti, P.; Bozzano, M.; González-Martínez, S.C.; et al. Marginality Indices for Biodiversity Conservation in Forest Trees. Ecol. Indic. 2022, 143, 109367. [Google Scholar] [CrossRef]
- Stürck, J.; Poortinga, A.; Verburg, P.H. Mapping Ecosystem Services: The Supply and Demand of Flood Regulation Services in Europe. Ecol. Indic. 2014, 38, 198–211. [Google Scholar] [CrossRef]
- Hamann, A.; Wang, T. Potential Effects of Climate Change on Ecosystem. Ecology 2006, 87, 2773–2786. [Google Scholar] [CrossRef] [PubMed]
- Fleischer, P.; Pichler, V.; Flaischer, P.; Holko, L.; Mális, F.; Gömöryová, E.; Cudlín, P.; Holeksa, J.; Michalová, Z.; Homolová, Z.; et al. Forest Ecosystem Services Affected by Natural Disturbances, Climate and Land-Use Changes in the Tatra Mountains. Clim. Res. 2017, 73, 57–71. [Google Scholar] [CrossRef]
- Ummenhofer, C.C.; Meehl, G.A. Extreme Weather and Climate Events with Ecological Relevance—A Review. Philos. Trans. R. Soc. B: Biol. Sci. 2017, 372, 20160135. [Google Scholar] [CrossRef] [PubMed]
- Barros, C.; Guéguen, M.; Douzet, R.; Carboni, M.; Boulangeat, I.; Zimmermann, N.E.; Munkemuller, T.; Thuiller, W. Extreme Climate Events Counteract the Effects of Climate and Land-Use Changes in Alpine Tree Lines. J. Appl. Ecol. 2017, 54, 39–50. [Google Scholar] [CrossRef] [PubMed]
- Paniccia, C.; Di Febbraro, M.; Frate, L.; Sallustio, L.; Santopuoli, G.; Altea, T.; Posillico, M.; Marchetti, M.; Loy, A. Effect of Imperfect Detection on the Estimation of Niche Overlap between Two Forest Dormice. IForest 2018, 11, 482–490. [Google Scholar] [CrossRef]
- Thuiller, W.; Lavorel, S.; Sykes, M.T.; Araújo, M.B. Using Niche-Based Modelling to Assess the Impact of Climate Change on Tree Functional Diversity in Europe. Divers. Distrib. 2006, 12, 49–60. [Google Scholar] [CrossRef]
- Corona, P.; Bergante, S.; Marchi, M.; Barbetti, R. Quantifying the Potential of Hybrid Poplar Plantation Expansion: An Application of Land Suitability Using an Expert-Based Fuzzy Logic Approach. New For. 2024. [Google Scholar] [CrossRef]
- Tang, J.; Niu, X.; Wang, S.; Gao, H.; Wang, X.; Wu, J. Statistical Downscaling and Dynamical Downscaling of Regional Climate in China: Present Climate Evaluations and Future Climate Projections. J. Geophys. Res. Atmos. 2016, 121, 2110–2129. [Google Scholar] [CrossRef]
- Flint, L.E.; Flint, A.L. Downscaling Future Climate Scenarios to Fine Scales for Hydrologic and Ecological Modeling and Analysis. Ecol. Process. 2012, 1, 2. [Google Scholar] [CrossRef]
- Moriondo, M.; Bindi, M. Comparison of Temperatures Simulated by GCMs, RCMs and Statistical Downscaling: Potential Application in Studies of Future Crop Development. Clim. Res. 2006, 30, 149–160. [Google Scholar] [CrossRef][Green Version]
- De Cáceres, M.; Martin-StPaul, N.; Turco, M.; Cabon, A.; Granda, V. Estimating Daily Meteorological Data and Downscaling Climate Models over Landscapes. Environ. Model. Softw. 2018, 108, 186–196. [Google Scholar] [CrossRef]
- Liu, S.; Liang, X.; Gao, W.; Stohlgren, T.J. Regional Climate Model Downscaling May Improve the Prediction of Alien Plant Species Distributions. Front. Earth Sci. 2014, 8, 457–471. [Google Scholar] [CrossRef]
- Moreno, A.; Hasenauer, H. Spatial Downscaling of European Climate Data. Int. J. Climatol. 2016, 36, 1444–1458. [Google Scholar] [CrossRef]
- Wang, T.; Hamann, A.; Spittlehouse, D.; Carroll, C. Locally Downscaled and Spatially Customizable Climate Data for Historical and Future Periods for North America. PLoS ONE 2016, 11, e0156720. [Google Scholar] [CrossRef] [PubMed]
- Marchi, M.; Castellanos-acuña, D.; Hamann, A.; Wang, T.; Ray, D.; Menzel, A. ClimateEU, Scale-Free Climate Normals, Historical Time Series, and Future Projections for Europe. Sci. Data 2020, 7, 428. [Google Scholar] [CrossRef] [PubMed]
- Wang, T.; Wang, G.; Innes, J.L.; Seely, B.; Chen, B. ClimateAP: An Application for Dynamic Local Downscaling of Historical and Future Climate Data in Asia Pacific. Front. Agric. Sci. Eng. 2017, 4, 448–458. [Google Scholar] [CrossRef]
- Hallingbäck, H.R.; Burton, V.; Vizcaíno-palomar, N.; Trotter, F.; Liziniewicz, M.; Marchi, M.; Berlin, M.; Ray, D.; Benito-Garzón, M. Managing Uncertainty in Scots Pine Range-Wide Adaptation under Climate Change. Front. Ecol. Evol. 2021, 9, 724051. [Google Scholar] [CrossRef]
- Marchi, M.; Bergante, S.; Ray, D.; Barbetti, R.; Facciotto, G.; Chiarabaglio, P.M.; Hynynen, J.; Nervo, G. Universal Reaction Norms for the Sustainable Cultivation of Hybrid Poplar Clones under Climate Change in Italy. IForest 2022, 15, 47–55. [Google Scholar] [CrossRef]
- Booth, T.H. Assessing Species Climatic Requirements beyond the Realized Niche: Some Lessons Mainly from Tree Species Distribution Modelling. Clim. Chang. 2017, 145, 259–271. [Google Scholar] [CrossRef]
- Benito Garzón, M. Phenotypic Integration Approaches Predict a Decrease of Reproduction Rates of Caribbean Pine Populations in Dry Tropical Areas. Ann. For. Sci. 2021, 78, 69. [Google Scholar] [CrossRef]
- Hartkamp, A.D.; De Beurs, K.; Stein, A.; White, J.W. Interpolation Techniques for Climate Variables Interpolation. Soil Sci. 1999, 26. [Google Scholar]
- Sluiter, R. Interpolation Methods for Climate Data: Literature Review; KNMI Intern Rapport; Royal Netherlands Meteorological Institute: De Bilt, The Netherlands, 2009. [Google Scholar]
- Hofstra, N.; Haylock, M.; New, M.; Jones, P.; Frei, C. Comparison of Six Methods for the Interpolation of Daily, European Climate Data. J. Geophys. Res. Atmos. 2008, 113, 1–19. [Google Scholar] [CrossRef]
- Daly, C.; Halbleib, M.; Smith, J.I.; Gibson, W.P.; Doggett, M.K.; Taylor, G.H.; Curtis, J.; Pasteris, P.P. Physiographically Sensitive Mapping of Climatological Temperature and Precipitation across the Conterminous United States. Int. J. Climatol. 2008, 28, 2031–2064. [Google Scholar] [CrossRef]
- Fick, S.E.; Hijmans, R.J. WorldClim 2: New 1-Km Spatial Resolution Climate Surfaces for Global Land Areas. Int. J. Climatol. 2017, 37, 4302–4315. [Google Scholar] [CrossRef]
- Hijmans, R.J.; Cameron, S.E.; Parra, J.L.; Jones, G.; Jarvis, A. Very High Resolution Interpolated Climate Surfaces for Global Land Areas. Int. J. Climatol. 2005, 25, 1965–1978. [Google Scholar] [CrossRef]
- Karger, D.N.; Conrad, O.; Böhner, J.; Kawohl, T.; Kreft, H.; Soria-Auza, R.W.; Zimmermann, N.E.; Linder, H.P.; Kessler, M. Climatologies at High Resolution for the Earth’s Land Surface Areas. Sci. Data 2017, 4, 170122. [Google Scholar] [CrossRef]
- Harris, I.; Osborn, T.J.; Jones, P.; Lister, D. Version 4 of the CRU TS Monthly High-Resolution Gridded Multivariate Climate Dataset. Sci. Data 2020, 7, 109. [Google Scholar] [CrossRef]
- Gidden, M.J.; Riahi, K.; Smith, S.J.; Fujimori, S.; Luderer, G.; Kriegler, E.; Van Vuuren, D.P.; Van Den Berg, M.; Feng, L.; Klein, D.; et al. Global Emissions Pathways under Different Socioeconomic Scenarios for Use in CMIP6: A Dataset of Harmonized Emissions Trajectories through the End of the Century. Geosci. Model. Dev. 2019, 12, 1443–1475. [Google Scholar] [CrossRef]
- Cook, B.I.; Mankin, J.S.; Marvel, K.; Williams, A.P.; Smerdon, J.E.; Anchukaitis, K.J. Twenty-First Century Drought Projections in the CMIP6 Forcing Scenarios. Earth’s Future 2020, 8, e2019EF001461. [Google Scholar] [CrossRef]
- Lin, H.Y.; Hu, J.M.; Chen, T.Y.; Hsieh, C.F.; Wang, G.; Wang, T. A Dynamic Downscaling Approach to Generate Scale-Free Regional Climate Data in Taiwan. Taiwania 2018, 63, 251–266. [Google Scholar] [CrossRef]
- R Development Core Team. R: A Language and Environment for Statistical Computing; R Foundation for Statistical Computing: Vienna, Austria, 2023. [Google Scholar]
- Ray, D.; Petr, M.; Mullett, M.; Bathgate, S.; Marchi, M.; Beauchamp, K. A Simulation-Based Approach to Assess Forest Policy Options under Biotic and Abiotic Climate Change Impacts: A Case Study on Scotland’s National Forest Estate. For. Policy Econ. 2019, 103, 17–27. [Google Scholar] [CrossRef]
- Isaac-Renton, M.G.; Roberts, D.R.; Hamann, A.; Spiecker, H. Douglas-Fir Plantations in Europe: A Retrospective Test of Assisted Migration to Address Climate Change. Glob. Chang. Biol. 2014, 20, 2607–2617. [Google Scholar] [CrossRef]
- Valladares, F.; Matesanz, S.; Guilhaumon, F.; Araújo, M.B.; Balaguer, L.; Benito-Garzón, M.; Cornwell, W.; Gianoli, E.; van Kleunen, M.; Naya, D.E.; et al. The Effects of Phenotypic Plasticity and Local Adaptation on Forecasts of Species Range Shifts under Climate Change. Ecol. Lett. 2014, 17, 1351–1364. [Google Scholar] [CrossRef]
- Wang, T.; Hamann, A.; Spittlehouse, D.L.; Aitken, S.N. Development of Scale-Free Climate Data for Western Canada for Use in Resource Management. Int. J. Climatol. 2006, 26, 383–397. [Google Scholar] [CrossRef]
- Noce, S.; Collalti, A.; Santini, M. Likelihood of Changes in Forest Species Suitability, Distribution, and Diversity under Future Climate: The Case of Southern Europe. Ecol. Evol. 2017, 7, 9358–9375. [Google Scholar] [CrossRef]
- Pecchi, M.; Marchi, M.; Moriondo, M.; Forzieri, G.; Ammoniaci, M.; Bernetti, I.; Bindi, M.; Chirici, G. Potential Impact of Climate Change on the Spatial Distribution of Key Forest Tree Species in Italy under RCP4.5 for 2050s. Forests 2020, 11, 934. [Google Scholar] [CrossRef]
- Knutti, R.; Masson, D.; Gettelman, A. Climate Model Genealogy: Generation CMIP5 and How We Got There. Geophys. Res. Lett. 2013, 40, 1194–1199. [Google Scholar] [CrossRef]
- IPCC. IPCC Fifth Assessment Report (AR5); IPCC: Geneva, Switzerland, 2013; pp. 10–12. [Google Scholar]
- Lowe, J.A.; Bernie, D.; Bett, P.; Bricheno, L.; Brown, S.; Calvert, D.; Clark, R.; Eagle, K.; Edwards, T.; Fosser, G.; et al. UKCP18 Science Overview Report; Version 2.0; Met Office Hadley Centre: Exeter, UK, 2019. [Google Scholar]
- Wang, T.; Hamann, A.; Spittlehouse, D.L.; Murdock, T.Q. ClimateWNA-High-Resolution Spatial Climate Data for Western North America. J. Appl. Meteorol. Climatol. 2012, 51, 16–29. [Google Scholar] [CrossRef]
- Hijmans, R.J.; Phillips, S.; Leathwick, J.; Elith, J.; Dismo: Species Distribution Modeling 2015. R Package Version 1.0-12. Available online: http://CRAN.R-project.org/package=dismo (accessed on 17 January 2024).
- Maca, P.; Pech, P. Forecasting SPEI and SPI Drought Indices Using the Integrated Artificial Neural Networks. Comput. Intell. Neurosci. 2016, 2016, 3868519. [Google Scholar] [CrossRef] [PubMed]
- Grossi, G.; Goglio, P.; Vitali, A.; Williams, A.G. Livestock and Climate Change: Impact of Livestock on Climate and Mitigation Strategies. Anim. Front. 2019, 9, 69–76. [Google Scholar] [CrossRef] [PubMed]
- Shelia, V.; Hansen, J.; Sharda, V.; Porter, C.; Aggarwal, P.; Wilkerson, C.J.; Hoogenboom, G. A Multi-Scale and Multi-Model Gridded Framework for Forecasting Crop Production, Risk Analysis, and Climate Change Impact Studies. Environ. Model. Softw. 2019, 115, 144–154. [Google Scholar] [CrossRef]
- Williams, M.I.; Dumroese, R.K. Preparing for Climate Change: Forestry and Assisted Migration. J. For. 2013, 111, 287–297. [Google Scholar] [CrossRef]
- Aitken, S.N.; Yeaman, S.; Holliday, J.A.; Wang, T.; Curtis-McLane, S. Adaptation, Migration or Extirpation: Climate Change Outcomes for Tree Populations. Evol. Appl. 2008, 1, 95–111. [Google Scholar] [CrossRef]
- Pawson, S.M.; Brin, A.; Brockerhoff, E.G.; Lamb, D.; Payn, T.W.; Paquette, A.; Parrotta, J.A. Plantation Forests, Climate Change and Biodiversity. Biodivers. Conserv. 2013, 22, 1203–1227. [Google Scholar] [CrossRef]
- Deal, R.L.; Smith, N.; Gates, J. Ecosystem Services to Enhance Sustainable Forest Management in the US: Moving from Forest Service National Programmes to Local Projects in the Pacific Northwest. Forestry 2017, 90, 632–639. [Google Scholar] [CrossRef]
- Dyderski, M.K.; Paź, S.; Frelich, L.E.; Jagodziński, A.M. How Much Does Climate Change Threaten European Forest Tree Species Distributions? Glob. Change Biol. 2018, 24, 1150–1163. [Google Scholar] [CrossRef] [PubMed]
- Smith, B.; Knorr, W.; Widlowski, J.-L.; Pinty, B.; Gobron, N. Combining Remote Sensing Data with Process Modelling to Monitor Boreal Conifer Forest Carbon Balances. For. Ecol. Manag. 2008, 255, 3985–3994. [Google Scholar] [CrossRef]
- Zhang, Q.; Wei, H.; Zhao, Z.; Liu, J.; Ran, Q.; Yu, J.; Gu, W.; Zhang, Q.; Wei, H.; Zhao, Z.; et al. Optimization of the Fuzzy Matter Element Method for Predicting Species Suitability Distribution Based on Environmental Data. Sustainability 2018, 10, 3444. [Google Scholar] [CrossRef]
- Marchi, M.; Cocozza, C. Probabilistic Provenance Detection and Management Pathways for Pseudotsuga menziesii (Mirb.) Franco in Italy Using Climatic Analogues. Plants 2021, 10, 215. [Google Scholar] [CrossRef]
- Chakraborty, D.; Schueler, S.; Lexer, M.J.; Wang, T. Genetic Trials Improve the Transfer of Douglas-Fir Distribution Models across Continents. Ecography 2019, 42, 88–101. [Google Scholar] [CrossRef]
- Falk, W.; Mellert, K.H. Species Distribution Models as a Tool for Forest Management Planning under Climate Change: Risk Evaluation of Abies Alba in Bavaria. J. Veg. Sci. 2011, 22, 621–634. [Google Scholar] [CrossRef]
- Navarro-Racines, C.; Tarapues, J.; Thornton, P.; Jarvis, A.; Ramirez-Villegas, J. High-Resolution and Bias-Corrected CMIP5 Projections for Climate Change Impact Assessments. Sci. Data 2020, 7, 7. [Google Scholar] [CrossRef]
- Higa, M.; Tsuyama, I.; Nakao, K.; Nakazono, E.; Matsui, T.; Tanaka, N. Influence of Nonclimatic Factors on the Habitat Prediction of Tree Species and an Assessment of the Impact of Climate Change. Landsc. Ecol. Eng. 2013, 9, 111–120. [Google Scholar] [CrossRef]
- Marchi, M.; Sinjur, I.; Bozzano, M.; Westergren, M. Evaluating WorldClim Version 1 (1961–1990) as the Baseline for Sustainable Use of Forest and Environmental Resources in a Changing Climate. Sustainability 2019, 11, 3043. [Google Scholar] [CrossRef]
- Chen, F.W.; Liu, C.W. Estimation of the Spatial Rainfall Distribution Using Inverse Distance Weighting (IDW) in the Middle of Taiwan. Paddy Water Environ. 2012, 10, 209–222. [Google Scholar] [CrossRef]
- Zhao, Y.; Wang, T. Predicting the Global Fundamental Climate Niche of Lodgepole Pine for Climate Change Adaptation. Front. For. Glob. Change 2023, 6, 1084797. [Google Scholar] [CrossRef]
- Guisan, A.; Thuiller, W. Predicting Species Distribution: Offering More than Simple Habitat Models. Ecol. Lett. 2005, 8, 993–1009. [Google Scholar] [CrossRef]
- Wilkinson, D.P.; Golding, N.; Guillera-Arroita, G.; Tingley, R.; McCarthy, M.A. A Comparison of Joint Species Distribution Models for Presence–Absence Data. Methods Ecol. Evol. 2019, 10, 198–211. [Google Scholar] [CrossRef]
- Warton, D.I.; Blanchet, F.G.; O’Hara, R.B.; Ovaskainen, O.; Taskinen, S.; Walker, S.C.; Hui, F.K.C. So Many Variables: Joint Modeling in Community Ecology. Trends Ecol. Evol. 2015, 30, 766–779. [Google Scholar] [CrossRef]
- Poupon, V.; Chakraborty, D.; Stejskal, J.; Konrad, H.; Schueler, S.; Lstibůrek, M. Accelerating Adaptation of Forest Trees to Climate Change Using Individual Tree Response Functions. Front. Plant Sci. 2021, 12, 758221. [Google Scholar] [CrossRef]
- Chakraborty, D.; Wang, T.; Andre, K.; Konnert, M.; Lexer, M.J.; Matulla, C.; Schueler, S. Selecting Populations for Non-Analogous Climate Conditions Using Universal Response Functions: The Case of Douglas-Fir in Central Europe. PLoS ONE 2015, 10, e0136357. [Google Scholar] [CrossRef] [PubMed]
- Yang, J.; Pedlar, J.H.; McKenney, D.W.; Weersink, A. The Development of Universal Response Functions to Facilitate Climate-Smart Regeneration of Black Spruce and White Pine in Ontario, Canada. For. Ecol. Manag. 2015, 339, 34–43. [Google Scholar] [CrossRef]
- Pukkala, T. Transfer and Response Functions as a Means to Predict the Effect of Climate Change on Timber Supply. Forestry 2017, 90, 573–580. [Google Scholar] [CrossRef]
- Fréjaville, T.; Fady, B.; Kremer, A.; Ducousso, A.; Benito Garzón, M. Inferring Phenotypic Plasticity and Local Adaptation to Climate across Tree Species Ranges Using Forest Inventory Data. Glob. Ecol. Biogeogr. 2019, 28, 1259–1271. [Google Scholar] [CrossRef]
- Sáenz-Romero, C.; Lindig-Cisneros, R.A.; Joyce, D.G.; Beaulieu, J.; Bradley, J.S.C.; Jaquish, B.C. Assisted Migration of Forest Populations for Adapting Trees to Climate Change. Rev. Chapingo Ser. Cienc. For. Y Ambiente 2016, 22, 303–323. [Google Scholar]
- Vajana, E.; Bozzano, M.; Marchi, M.; Piotti, A. On the Inclusion of Adaptive Potential in Species Distribution Models: Towards a Genomic-Informed Approach to Forest Management and Conservation. Environments 2023, 10, 3. [Google Scholar] [CrossRef]
- Márcia Barbosa, A.; Real, R.; Muñoz, A.R.; Brown, J.A. New Measures for Assessing Model Equilibrium and Prediction Mismatch in Species Distribution Models. Divers. Distrib. 2013, 19, 1333–1338. [Google Scholar] [CrossRef]
- Gastón, A.; García-Viñas, J.I.; Bravo-Fernández, A.J.; López-Leiva, C.; Oliet, J.A.; Roig, S.; Serrada, R. Species Distribution Models Applied to Plant Species Selection in Forest Restoration: Are Model Predictions Comparable to Expert Opinion? New For. 2014, 45, 641–653. [Google Scholar] [CrossRef]
- Thuiller, W.; Guéguen, M.; Renaud, J.; Karger, D.N.; Zimmermann, N.E. Uncertainty in Ensembles of Global Biodiversity Scenarios. Nat. Commun. 2019, 10, 1446. [Google Scholar] [CrossRef]
- Buisson, L.; Thuiller, W.; Casajus, N.; Lek, S.; Grenouillet, G. Uncertainty in Ensemble Forecasting of Species Distribution. Glob. Chang. Biol. 2010, 16, 1145–1157. [Google Scholar] [CrossRef]
- Beale, C.M.; Lennon, J.J. Incorporating Uncertainty in Predictive Species Distribution Modelling. Philos. Trans. R. Soc. B Biol. Sci. 2012, 367, 247–258. [Google Scholar] [CrossRef] [PubMed]
- Benito Garzón, M.; Robson, T.M.; Hampe, A. ΔTraitSDM: Species Distribution Models That Account for Local Adaptation and Phenotypic Plasticity. New Phytol. 2019, 222, 1757–1765. [Google Scholar] [CrossRef] [PubMed]
- Zhao, Y.; O’Neill, G.A.; Wang, T. Predicting Fundamental Climate Niches of Forest Trees Based on Species Occurrence Data. Ecol. Indic. 2023, 148, 110072. [Google Scholar] [CrossRef]
- Pecchi, M.; Marchi, M.; Giannetti, F.; Bernetti, I.; Bindi, M.; Moriondo, M.; Maselli, F.; Fibbi, L.; Corona, P.; Travaglini, D.; et al. Reviewing Climatic Traits for the Main Forest Tree Species in Italy. IForest 2019, 12, 173–180. [Google Scholar] [CrossRef]
- Franklin, J. Mapping Species Distribution. Spatial Inference and Prediction. Ecol. Biodivers. Conserv. 2009, 44, 615. [Google Scholar]
- Austin, M.P. Spatial Prediction of Species Distribution: An Interface between Ecological Theory and Statistical Modelling. Ecol. Model. 2002, 157, 101–118. [Google Scholar] [CrossRef]






| Maximum Temperature (TX) | Average Temperature (TAVE) | Minimum Temperature (TN) | Precipitation (RR) | |||||
|---|---|---|---|---|---|---|---|---|
| Month | R2 | MAE (°C) | R2 | MAE (°C) | R2 | MAE (°C) | R2 | MAE (mm) |
| 1 | 0.966 | 1.01 | 0.975 | 0.85 | 0.947 | 1.34 | 0.840 | 11.28 |
| 2 | 0.969 | 1.04 | 0.977 | 0.76 | 0.948 | 1.32 | 0.836 | 8.52 |
| 3 | 0.968 | 1.17 | 0.976 | 0.69 | 0.944 | 1.18 | 0.827 | 9.02 |
| 4 | 0.961 | 1.41 | 0.969 | 0.74 | 0.928 | 1.00 | 0.820 | 6.74 |
| 5 | 0.948 | 1.61 | 0.960 | 0.73 | 0.906 | 0.97 | 0.860 | 7.33 |
| 6 | 0.941 | 1.58 | 0.954 | 0.64 | 0.881 | 1.01 | 0.866 | 8.25 |
| 7 | 0.941 | 1.59 | 0.950 | 0.58 | 0.864 | 1.14 | 0.880 | 9.06 |
| 8 | 0.956 | 1.44 | 0.961 | 0.52 | 0.877 | 1.30 | 0.882 | 9.08 |
| 9 | 0.969 | 1.20 | 0.969 | 0.49 | 0.902 | 1.29 | 0.871 | 9.51 |
| 10 | 0.972 | 0.97 | 0.974 | 0.55 | 0.932 | 1.17 | 0.869 | 11.61 |
| 11 | 0.970 | 0.88 | 0.975 | 0.70 | 0.944 | 1.19 | 0.821 | 11.48 |
| 12 | 0.967 | 0.94 | 0.974 | 0.84 | 0.944 | 1.34 | 0.824 | 11.68 |
| Average | 0.961 | 1.24 | 0.968 | 0.67 | 0.918 | 1.19 | 0.850 | 9.46 |
| St. dev | 0.011 | 0.26 | 0.009 | 0.11 | 0.030 | 0.13 | 0.023 | 1.63 |
| Maximum Temperature (TX) | Average Temperature (TAVE) | Minimum Temperature (TN) | Precipitation (RR) | |||||
|---|---|---|---|---|---|---|---|---|
| Month | R2 | MAE (°C) | R2 | MAE (°C) | R2 | MAE (°C) | R2 | MAE (mm) |
| 1 | 0.969 | 1.09 | 0.968 | 1.02 | 0.950 | 1.55 | 0.705 | 18.45 |
| 2 | 0.968 | 1.13 | 0.971 | 0.95 | 0.950 | 1.54 | 0.693 | 15.02 |
| 3 | 0.968 | 1.19 | 0.975 | 0.83 | 0.945 | 1.37 | 0.673 | 15.29 |
| 4 | 0.960 | 1.39 | 0.969 | 0.84 | 0.930 | 1.14 | 0.655 | 14.73 |
| 5 | 0.945 | 1.57 | 0.961 | 0.83 | 0.910 | 1.08 | 0.636 | 17.40 |
| 6 | 0.937 | 1.57 | 0.952 | 0.76 | 0.881 | 1.13 | 0.637 | 20.07 |
| 7 | 0.939 | 1.59 | 0.952 | 0.71 | 0.861 | 1.25 | 0.621 | 22.88 |
| 8 | 0.954 | 1.42 | 0.960 | 0.64 | 0.874 | 1.38 | 0.650 | 21.96 |
| 9 | 0.968 | 1.20 | 0.970 | 0.60 | 0.901 | 1.37 | 0.696 | 20.26 |
| 10 | 0.973 | 1.01 | 0.974 | 0.65 | 0.933 | 1.25 | 0.718 | 19.86 |
| 11 | 0.972 | 0.94 | 0.970 | 0.81 | 0.948 | 1.29 | 0.706 | 19.51 |
| 12 | 0.969 | 1.03 | 0.967 | 0.98 | 0.949 | 1.46 | 0.712 | 19.18 |
| Average | 0.960 | 1.26 | 0.966 | 0.80 | 0.919 | 1.32 | 0.675 | 18.72 |
| St. dev | 0.013 | 0.23 | 0.007 | 0.13 | 0.032 | 0.15 | 0.033 | 2.54 |
| Average Temperature (TAVE) | Precipitation (RR) | ||||
|---|---|---|---|---|---|
| Geographic Zone | Selected Countries | R2 | MAE (°C) | R2 | MAE (mm) |
| Arctic | Norway, Sweden, Finland, Denmark, Russia | 0.895 | 0.79 | 0.698 | 23.57 |
| Continental | Germany, Romania, Bulgaria, Russia | 0.965 | 0.70 | 0.639 | 21.32 |
| Oceanic | Portugal, France, UK, Ireland | 0.927 | 0.60 | 0.601 | 22.55 |
| Mediterranean | Spain, Italy, Greece, Turkey | 0.901 | 0.97 | 0.522 | 27.17 |
| North Africa | Morocco, Algeria, Tunisia, Libia, Egypt | 0.907 | 0.82 | 0.602 | 19.23 |
| Others | Others | 0.911 | 0.83 | 0.632 | 20.01 |
Disclaimer/Publisher’s Note: The statements, opinions and data contained in all publications are solely those of the individual author(s) and contributor(s) and not of MDPI and/or the editor(s). MDPI and/or the editor(s) disclaim responsibility for any injury to people or property resulting from any ideas, methods, instructions or products referred to in the content. |
© 2024 by the authors. Licensee MDPI, Basel, Switzerland. This article is an open access article distributed under the terms and conditions of the Creative Commons Attribution (CC BY) license (https://creativecommons.org/licenses/by/4.0/).
Share and Cite
Marchi, M.; Bucci, G.; Iovieno, P.; Ray, D. ClimateDT: A Global Scale-Free Dynamic Downscaling Portal for Historic and Future Climate Data. Environments 2024, 11, 82. https://doi.org/10.3390/environments11040082
Marchi M, Bucci G, Iovieno P, Ray D. ClimateDT: A Global Scale-Free Dynamic Downscaling Portal for Historic and Future Climate Data. Environments. 2024; 11(4):82. https://doi.org/10.3390/environments11040082
Chicago/Turabian StyleMarchi, Maurizio, Gabriele Bucci, Paolo Iovieno, and Duncan Ray. 2024. "ClimateDT: A Global Scale-Free Dynamic Downscaling Portal for Historic and Future Climate Data" Environments 11, no. 4: 82. https://doi.org/10.3390/environments11040082
APA StyleMarchi, M., Bucci, G., Iovieno, P., & Ray, D. (2024). ClimateDT: A Global Scale-Free Dynamic Downscaling Portal for Historic and Future Climate Data. Environments, 11(4), 82. https://doi.org/10.3390/environments11040082

