Temporal Changes in Freshwater Invertebrate Communities During the Drying Phase of a Newly Intermittent River in Central Italy
Abstract
1. Introduction
2. Materials and Methods
2.1. Study Area and Data Collection
2.2. Data Analysis
3. Results
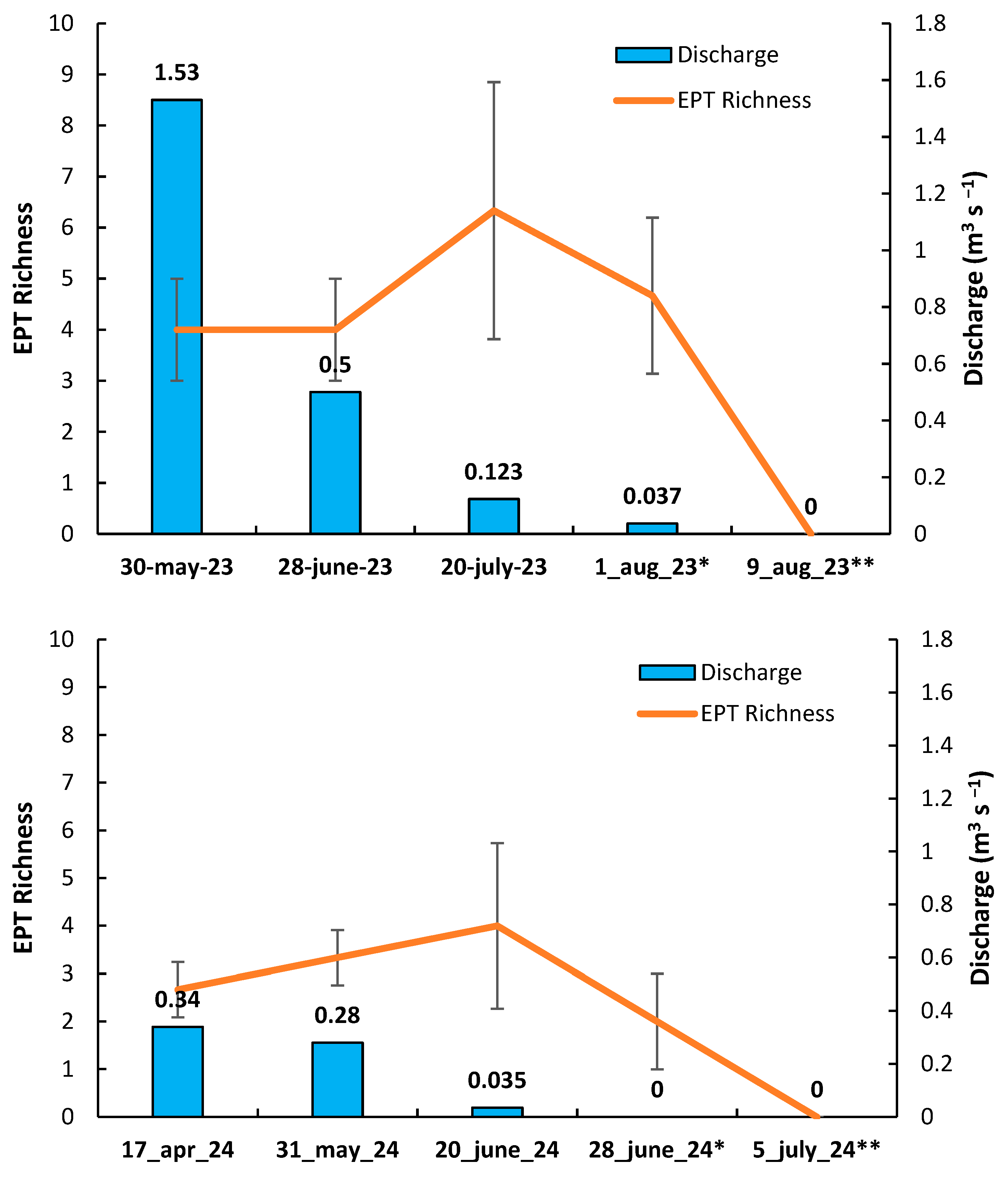
3.1. Physicochemical and Hydrological Parameters
3.2. Macroinvertebrates
4. Discussion
5. Conclusions
Supplementary Materials
Author Contributions
Funding
Data Availability Statement
Acknowledgments
Conflicts of Interest
References
- Messager, M.L.; Lehner, B.; Cockburn, C.; Lamouroux, N.; Pella, H.; Snelder, T.; Tockner, K.; Trautmann, T.; Watt, C.; Datry, T. Global Prevalence of Non-Perennial Rivers and Streams. Nature 2021, 594, 391–397. [Google Scholar] [CrossRef] [PubMed]
- Datry, T.; Boulton, A.J.; Fritz, K.; Stubbington, R.; Cid, N.; Crabot, J.; Tockner, K. Non-Perennial Segments in River Networks. Nat. Rev. Earth Environ. 2023, 4, 815–830. [Google Scholar] [CrossRef] [PubMed]
- Milly, P.C.D.; Dunne, K.A.; Vecchia, A.V. Global Pattern of Trends in Streamflow and Water Availability in a Changing Climate. Nature 2005, 438, 347–350. [Google Scholar] [CrossRef] [PubMed]
- Aspin, T.W.H.; Matthews, T.J.; Khamis, K.; Milner, A.M.; Wang, Z.; O’Callaghan, M.J.; Ledger, M.E. Drought Intensification Drives Turnover of Structure and Function in Stream Invertebrate Communities. Ecography 2018, 41, 1992–2004. [Google Scholar] [CrossRef]
- Crabot, J.; Polášek, M.; Launay, B.; Pařil, P.; Datry, T. Drying in Newly Intermittent Rivers Leads to Higher Variability of Invertebrate Communities. Freshw. Biol. 2021, 66, 730–744. [Google Scholar] [CrossRef]
- Crabot, J.; Mondy, C.P.; Usseglio-Polatera, P.; Fritz, K.M.; Wood, P.J.; Greenwood, M.J.; Bogan, M.T.; Meyer, E.I.; Datry, T. A Global Perspective on the Functional Responses of Stream Communities to Flow Intermittence. Ecography 2021, 44, 1511–1523. [Google Scholar] [CrossRef]
- Di Sabatino, A.; Coscieme, L.; Cristiano, G. No Post-Drought Recovery of the Macroinvertebrate Community after Five Months upon Rewetting of an Irregularly Intermittent Apennine River (Aterno River). Ecohydrol. Hydrobiol. 2023, 23, 141–151. [Google Scholar] [CrossRef]
- Silverthorn, T.; López-Rojo, N.; Sarremejane, R.; Foulquier, A.; Chanudet, V.; Azougui, A.; Del Campo, R.; Singer, G.; Datry, T. River Network-scale Drying Impacts the Spatiotemporal Dynamics of Greenhouse Gas Fluxes. Limnol. Oceanogr. 2024, 69, 861–873. [Google Scholar] [CrossRef]
- Sarremejane, R.; Silverthorn, T.; Arbaretaz, A.; Truchy, A.; Barthélémy, N.; López-Rojo, N.; Foulquier, A.; Simon, L.; Pella, H.; Singer, G.; et al. Drying and Fragmentation Drive the Dynamics of Resources, Consumers and Ecosystem Functions across Aquatic-terrestrial Habitats in a River Network. Oikos 2024, 2024, e10135. [Google Scholar] [CrossRef]
- Stubbington, R.; England, J.; Sarremejane, R.; Watts, G.; Wood, P.J. The Effects of Drought on Biodiversity in UK River Ecosystems: Drying Rivers in a Wet Country. WIREs Water 2024, 11, e1745. [Google Scholar] [CrossRef]
- Bogan, M.T.; Boersma, K.S.; Lytle, D.A. Resistance and Resilience of Invertebrate Communities to Seasonal and Supraseasonal Drought in Arid-land Headwater Streams. Freshw. Biol. 2015, 60, 2547–2558. [Google Scholar] [CrossRef]
- Leigh, C.; Bonada, N.; Boulton, A.J.; Hugueny, B.; Larned, S.T.; Vander Vorste, R.; Datry, T. Invertebrate Assemblage Responses and the Dual Roles of Resistance and Resilience to Drying in Intermittent Rivers. Aquat. Sci. 2016, 78, 291–301. [Google Scholar] [CrossRef]
- Vander Vorste, R.; Corti, R.; Sagouis, A.; Datry, T. Invertebrate Communities in Gravel-Bed, Braided Rivers Are Highly Resilient to Flow Intermittence. Freshw. Sci. 2016, 35, 164–177. [Google Scholar] [CrossRef]
- Aspin, T.W.H.; Khamis, K.; Matthews, T.J.; Milner, A.M.; O’Callaghan, M.J.; Trimmer, M.; Woodward, G.; Ledger, M.E. Extreme Drought Pushes Stream Invertebrate Communities over Functional Thresholds. Glob. Change Biol. 2019, 25, 230–244. [Google Scholar] [CrossRef] [PubMed]
- Bozóki, T.; Várbíró, G.; Csabai, Z.; Schmera, D.; Boda, P. Resistance Not Resilience Traits Structure Macroinvertebrate Communities in Newly Drying Stream Sections. Hydrobiologia 2024, 851, 3577–3590. [Google Scholar] [CrossRef]
- Bogan, M.T.; Chester, E.T.; Datry, T.; Murphy, A.L.; Robson, B.J.; Ruhi, A.; Stubbington, R.; Whitney, J.E. Resistance, Resilience, and Community Recovery in Intermittent Rivers and Ephemeral Streams. In Intermittent Rivers and Ephemeral Streams; Elsevier: Amsterdam, The Netherlands, 2017; pp. 349–376. ISBN 978-0-12-803835-2. [Google Scholar]
- Gómez, R.; Arce, M.I.; Baldwin, D.S.; Dahm, C.N. Water Physicochemistry in Intermittent Rivers and Ephemeral Streams. In Intermittent Rivers and Ephemeral Streams; Elsevier: Amsterdam, The Netherlands, 2017; pp. 109–134. ISBN 978-0-12-803835-2. [Google Scholar]
- Cañedo-Argüelles, M.; Boersma, K.S.; Bogan, M.T.; Olden, J.D.; Phillipsen, I.; Schriever, T.A.; Lytle, D.A. Dispersal Strength Determines Meta-community Structure in a Dendritic Riverine Network. J. Biogeogr. 2015, 42, 778–790. [Google Scholar] [CrossRef]
- Datry, T.; Bonada, N.; Boulton, A.J. General Introduction. In Intermittent Rivers and Ephemeral Streams; Elsevier: Amsterdam, The Netherlands, 2017; pp. 1–20. ISBN 978-0-12-803835-2. [Google Scholar]
- Sarremejane, R.; Cañedo-Argüelles, M.; Prat, N.; Mykrä, H.; Muotka, T.; Bonada, N. Do Metacommunities Vary through Time? Intermittent Rivers as Model Systems. J. Biogeogr. 2017, 44, 2752–2763. [Google Scholar] [CrossRef]
- Leigh, C.; Datry, T. Drying as a Primary Hydrological Determinant of Biodiversity in River Systems: A Broad-scale Analysis. Ecography 2017, 40, 487–499. [Google Scholar] [CrossRef]
- Storey, R. Macroinvertebrate Community Responses to Duration, Intensity and Timing of Annual Dry Events in Intermittent Forested and Pasture Streams. Aquat. Sci. 2016, 78, 395–414. [Google Scholar] [CrossRef]
- Bonada, N.; Dolédec, S.; Statzner, B. Taxonomic and Biological Trait Differences of Stream Macroinvertebrate Communities between Mediterranean and Temperate Regions: Implications for Future Climatic Scenarios. Glob. Change Biol. 2007, 13, 1658–1671. [Google Scholar] [CrossRef]
- Vander Vorste, R.; Malard, F.; Datry, T. Is Drift the Primary Process Promoting the Resilience of River Invertebrate Communities? A Manipulative Field Experiment in an Intermittent Alluvial River. Freshw. Biol. 2016, 61, 1276–1292. [Google Scholar] [CrossRef]
- Skoulikidis, N.T.; Sabater, S.; Datry, T.; Morais, M.M.; Buffagni, A.; Dörflinger, G.; Zogaris, S.; Del Mar Sánchez-Montoya, M.; Bonada, N.; Kalogianni, E.; et al. Non-Perennial Mediterranean Rivers in Europe: Status, Pressures, and Challenges for Research and Management. Sci. Total Environ. 2017, 577, 1–18. [Google Scholar] [CrossRef] [PubMed]
- Pařil, P.; Polášek, M.; Loskotová, B.; Straka, M.; Crabot, J.; Datry, T. An Unexpected Source of Invertebrate Community Recovery in Intermittent Streams from a Humid Continental Climate. Freshw. Biol. 2019, 64, 1971–1983. [Google Scholar] [CrossRef]
- Piano, E.; Doretto, A.; Mammola, S.; Falasco, E.; Fenoglio, S.; Bona, F. Taxonomic and Functional Homogenisation of Macroinvertebrate Communities in Recently Intermittent Alpine Watercourses. Freshw. Biol. 2020, 65, 2096–2107. [Google Scholar] [CrossRef]
- Pinna, M.; Marini, G.; Cristiano, G.; Mazzotta, L.; Vignini, P.; Cicolani, B.; Di Sabatino, A. Influence of Aperiodic Summer Droughts on Leaf Litter Breakdown and Macroinvertebrate Assemblages: Testing the Drying Memory in a Central Apennines River (Aterno River, Italy). Hydrobiologia 2016, 782, 111–126. [Google Scholar] [CrossRef]
- Boulton, A.J. Parallels and Contrasts in the Effects of Drought on Stream Macroinvertebrate Assemblages. Freshw. Biol. 2003, 48, 1173–1185. [Google Scholar] [CrossRef]
- Lake, P.S. Ecological Effects of Perturbation by Drought in Flowing Waters. Freshw. Biol. 2003, 48, 1161–1172. [Google Scholar] [CrossRef]
- Lake, P.S. Drought and Aquatic Ecosystems: Effects and Responses, 1st ed.; Wiley: Hoboken, NJ, USA, 2011; ISBN 978-1-4051-8560-8. [Google Scholar]
- Boulton, A.J.; Rolls, R.J.; Jaeger, K.L.; Datry, T. Hydrological Connectivity in Intermittent Rivers and Ephemeral Streams. In Intermittent Rivers and Ephemeral Streams; Elsevier: Amsterdam, The Netherlands, 2017; pp. 79–108. ISBN 978-0-12-803835-2. [Google Scholar]
- Stubbington, R.; Greenwood, A.M.; Wood, P.J.; Armitage, P.D.; Gunn, J.; Robertson, A.L. The Response of Perennial and Temporary Headwater Stream Invertebrate Communities to Hydrological Extremes. Hydrobiologia 2009, 630, 299–312. [Google Scholar] [CrossRef]
- Stubbington, R.; Bogan, M.T.; Bonada, N.; Boulton, A.J.; Datry, T.; Leigh, C.; Vander Vorste, R. The Biota of Intermittent Rivers and Ephemeral Streams: Aquatic Invertebrates. In Intermittent Rivers and Ephemeral Streams; Elsevier: Amsterdam, The Netherlands, 2017; pp. 217–243. ISBN 978-0-12-803835-2. [Google Scholar]
- Acuña, V.; Muñoz, I.; Giorgi, A.; Omella, M.; Sabater, F.; Sabater, S. Drought and Postdrought Recovery Cycles in an Intermittent Mediterranean Stream: Structural and Functional Aspects. J. N. Am. Benthol. Soc. 2005, 24, 919–933. [Google Scholar] [CrossRef]
- Boersma, K.S.; Bogan, M.T.; Henrichs, B.A.; Lytle, D.A. Invertebrate Assemblages of Pools in Arid-land Streams Have High Functional Redundancy and Are Resistant to Severe Drying. Freshw. Biol. 2014, 59, 491–501. [Google Scholar] [CrossRef]
- Verdonschot, R.C.M.; Van Oosten-Siedlecka, A.M.; Ter Braak, C.J.F.; Verdonschot, P.F.M. Macroinvertebrate Survival during Cessation of Flow and Streambed Drying in a Lowland Stream. Freshw. Biol. 2015, 60, 282–296. [Google Scholar] [CrossRef]
- Di Sabatino, A.; Coscieme, L.; Cristiano, G. Effects of Antecedent Drying Events on Structure, Composition and Functional Traits of Invertebrate Assemblages and Leaf-litter Breakdown in a Former Perennial River of Central Apennines (Aterno River, Abruzzo, Central Italy). Ecohydrology 2022, 15, e2358. [Google Scholar] [CrossRef]
- Bonada, N.; Cañedo-Argüelles, M.; Gallart, F.; Von Schiller, D.; Fortuño, P.; Latron, J.; Llorens, P.; Múrria, C.; Soria, M.; Vinyoles, D.; et al. Conservation and Management of Isolated Pools in Temporary Rivers. Water 2020, 12, 2870. [Google Scholar] [CrossRef]
- Drummond, L.R.; McIntosh, A.R.; Larned, S.T. Invertebrate Community Dynamics and Insect Emergence in Response to Pool Drying in a Temporary River. Freshw. Biol. 2015, 60, 1596–1612. [Google Scholar] [CrossRef]
- Hill, M.J.; Milner, V.S. Ponding in Intermittent Streams: A Refuge for Lotic Taxa and a Habitat for Newly Colonising Taxa? Sci. Total Environ. 2018, 628–629, 1308–1316. [Google Scholar] [CrossRef]
- Bogan, M.T.; Lytle, D.A. Severe Drought Drives Novel Community Trajectories in Desert Stream Pools: Drought Causes Community Regime Shifts. Freshw. Biol. 2011, 56, 2070–2081. [Google Scholar] [CrossRef]
- Sarremejane, R.; England, J.; Sefton, C.E.M.; Parry, S.; Eastman, M.; Stubbington, R. Local and Regional Drivers Influence How Aquatic Community Diversity, Resistance and Resilience Vary in Response to Drying. Oikos 2020, 129, 1877–1890. [Google Scholar] [CrossRef]
- Majdi, N.; Colls, M.; Weiss, L.; Acuña, V.; Sabater, S.; Traunspurger, W. Duration and Frequency of Non-flow Periods Affect the Abundance and Diversity of Stream Meiofauna. Freshw. Biol. 2020, 65, 1906–1922. [Google Scholar] [CrossRef]










| Year | 2023 | 2024 | ||||||
|---|---|---|---|---|---|---|---|---|
| Date | 30-May | 28-June | 20-July | 1-August * | 17-April | 31-May | 20-June | 28-June ** |
| Temperature (°C) | 10.2 | 15.8 | 18.8 | 23.7 | 11.9 | 16.4 | 20.2 | 21.6 |
| pH | 7.8 | 8.07 | 8.04 | 8.02 | 8.71 | 8.42 | 8.33 | 8.25 |
| Conductivity (µS cm−1) | 290 | 299 | 305 | 299 | 390 | 450 | 520 | 515 |
| O2 (mg L−1) | 9.91 | 9.09 | 8.31 | 9.17 | 13.86 | 8.89 | 9.05 | 10.48 |
| O2 (% sat) | 98.1 | 99.6 | 98.6 | 117.0 | 140.1 | 93.7 | 107.0 | 127.0 |
| Mean depth (cm) | 25 | 10 | 6 | 5 | 15 | 13 | 5.9 | 3.5 |
| Channel width (m) | 7.9 | 7.7 | 6.7 | 4 | 7.2 | 5.4 | 4 | 3 |
| Current velocity (m s−1) | 0.68 | 0.4 | 0.17 | 0.12 | 0.31 | 0.26 | 0.09 | 0 |
| Discharge (m3 s−1) | 1.53 | 0.51 | 0.12 | 0.037 | 0.34 | 0.29 | 0.035 | 0 |
Disclaimer/Publisher’s Note: The statements, opinions and data contained in all publications are solely those of the individual author(s) and contributor(s) and not of MDPI and/or the editor(s). MDPI and/or the editor(s) disclaim responsibility for any injury to people or property resulting from any ideas, methods, instructions or products referred to in the content. |
© 2024 by the authors. Licensee MDPI, Basel, Switzerland. This article is an open access article distributed under the terms and conditions of the Creative Commons Attribution (CC BY) license (https://creativecommons.org/licenses/by/4.0/).
Share and Cite
Di Sabatino, A.; Rossi, F.; Ercolino, G. Temporal Changes in Freshwater Invertebrate Communities During the Drying Phase of a Newly Intermittent River in Central Italy. Environments 2024, 11, 295. https://doi.org/10.3390/environments11120295
Di Sabatino A, Rossi F, Ercolino G. Temporal Changes in Freshwater Invertebrate Communities During the Drying Phase of a Newly Intermittent River in Central Italy. Environments. 2024; 11(12):295. https://doi.org/10.3390/environments11120295
Chicago/Turabian StyleDi Sabatino, Antonio, Floriana Rossi, and Giada Ercolino. 2024. "Temporal Changes in Freshwater Invertebrate Communities During the Drying Phase of a Newly Intermittent River in Central Italy" Environments 11, no. 12: 295. https://doi.org/10.3390/environments11120295
APA StyleDi Sabatino, A., Rossi, F., & Ercolino, G. (2024). Temporal Changes in Freshwater Invertebrate Communities During the Drying Phase of a Newly Intermittent River in Central Italy. Environments, 11(12), 295. https://doi.org/10.3390/environments11120295

