Next Article in Journal
Monitoring Postfire Biodiversity Dynamics in Mediterranean Pine Forests Using Acoustic Indices
Next Article in Special Issue
Morphological Alterations and Oxidative Stress Induction in Danio rerio Liver After Short-Term Exposure to the Strobilurin Fungicide Dimoxystrobin
Previous Article in Journal
Anesthetic Gases: Environmental Impacts and Mitigation Strategies for Fluranes and Nitrous Oxide
Previous Article in Special Issue
Understanding Environmental Contamination Through the Lens of the Peregrine Falcon (Falco peregrinus)
 
 
Font Type:
Arial Georgia Verdana
Font Size:
Aa Aa Aa
Line Spacing:
Column Width:
Background:
Article

Non-Destructive Biomarkers in Non-Target Species Earthworm Lumbricus terrestris for Assessment of Different Agrochemicals

1
Department of Science and Technological Innovation, Università degli Studi del Piemonte Orientale, Viale Michel 11, 15121 Alessandria, Italy
2
Department of Chemical, Biological, Pharmaceutical and Environmental Sciences, University of Messina, Viale Ferdinando Stagno d’Alcontres 31, 98166 Messina, Italy
3
Department of Human and Social Sciences, University of Salento, Via di Valesio 7, 73100 Lecce, Italy
4
Research Institute on Terrestrial Ecosystems (CNR-IRET), National Research Council, Via Provinciale Lecce-Monteroni, 73100 Lecce, Italy
*
Author to whom correspondence should be addressed.
Environments 2024, 11(12), 276; https://doi.org/10.3390/environments11120276
Submission received: 22 October 2024 / Revised: 30 November 2024 / Accepted: 2 December 2024 / Published: 3 December 2024

Abstract

In many agroecosystems, agrochemicals are widely used to control crop pests, but often affect many non-target species of ecological and agronomic interest, such as earthworms. Earthworms are considered useful indicators of soil contamination. Exposure of these organisms to contaminants occurs mainly through the large amount of soil ingested, which passes through the digestive tract, which is closely associated with the coelom and its fluids. In this work, we used the coelomic fluids of earthworms exposed to copper sulfate and chlorpyrifos to standardize a set of non-destructive biomarkers useful for assessing the contamination in agroecosystems. Metallothionein concentrations, acetylcholinesterase inhibition, lysosomal membrane stability, micronucleus frequency, morphometric alterations, and granulocyte cytoskeleton polymerization were analyzed. The results showed that all the biomarkers used were detectable in the coelomic fluid. Furthermore, the data obtained showed highly significant variations for all biomarkers studied, thus demonstrating that the use of coelomic fluid for biomarker assessment in non-target species offers numerous advantages for field applications.

1. Introduction

When considering human impacts on the biosphere, it is essential to consider agroecosystems. These are ecosystems deliberately modified by human activities and designed to function as spatially and functionally integrated units dedicated to agricultural production [1]. The result is a highly simplified and artificial ecosystem that relies on continuous human intervention, with biomass production that is periodically harvested and predominantly used outside the system. In recent decades, there has been a growing global awareness of the need for sustainable economic use of natural resources. Biodiversity and soil quality are two particularly important elements in sustainable agriculture. In many agroecosystems, agrochemicals are used extensively to control pathogens that can affect crops. However, these compounds often affect many non-target species that are useful for the proper functioning of the agroecosystem. Many studies have shown that the introduction of agrochemicals into water and in soil can have adverse effects on non-target organisms, of ecological and agronomic importance, such as earthworms [2,3,4,5,6]. Agrochemicals such as heavy metals (copper) and/or pesticides are also considered environmental contaminants that can have toxic effects on earthworms. These chemicals tend to accumulate in the chloragogen tissue, longitudinal and circular muscles, and in the gut [7]. Pesticides are chemical compounds that are known to be lethal to, or have a controlling effect on unwanted organisms. Most pesticides share the ability to block vital metabolic processes on their target organisms [8].
Earthworms are a key component of terrestrial ecosystems [9,10] because they can enhance and improve soil structure and function. Indeed, they contribute to the maintenance of soil fertility, soil aeration, regulation of nutrient cycling, water infiltration, and stabilization of soil [9,11]. As a result of their close interaction with the “soil system”, these organisms are, as a consequence, constantly exposed to pollutants from various anthropogenic activities, including agrochemicals. For this reason, earthworms are often used as bioindicators in the environmental monitoring of polluted soils, using a series of sublethal measurements known as biomarkers [11,12,13,14].
In ecotoxicology, a biomarker is defined as “a biochemical, cellular, physiological or behavioral change measured in tissue or body fluid samples, or at the level of whole organisms, that provides evidence of exposure and/or toxic effects to one or more chemical pollutants” [9,14,15]. Biomarker responses can be classified as general (aspecific) when they indicate a broad stress response caused by the combined effects of multiple contaminants, or as specific when they reflect the effects of a known class of toxicants. Historically, many studies have focused on tissue biomarkers, often requiring the sacrifice of animals to assess the effects of contaminants. In contrast, the use of body fluids from organisms allows for the assessment of toxic effects without the need to euthanize key species, providing a less invasive approach to environmental monitoring.
Exposure of earthworms to contaminants can occur through contact with the cuticle of the specimen or through the ingested soil passing thorough the digestive tract [13,16], which is closely associated with the coelom and the coelomic fluid. For this reason, the coelomic fluid (or hemolymph) is one of the first targets of toxicants, as contaminants are deposited in this fluid and then distributed throughout the tissues of the animal. Coelomic fluid is generally considered to be primarily responsible for humoral immunological activities and contains freely migrating cells (coelomocytes) involved in innate immunity in earthworms [9,10,14]. Currently, the classification of earthworm coelomocytes is not fully understood, but they can be broadly divided into two populations: chloragocytes (sometimes referred to as eleocytes) and amoebocytes, which include granulocytes and hyalinocytes [10,17], with numbers and sizes varying among species [18]. Among the coelomocytes, granulocytes are the primary cell type involved in the earthworm’s innate immune response, largely due to their high phagocytic activity [10,19]. Coelomic fluid analysis can provide information on the overall health of the organism; indeed, several biochemical markers, such as esterase enzyme activity and metallothionein content, and cellular biomarkers (lysosomal membrane stability, micronuclei frequency, morphometric alterations in granulocytes, cytoskeleton polymerization) can be measured in the coelomic fluid in order to assess the impact of exposure to pesticides and heavy metal-based agrochemicals [18,19]. Metallothioneins are low-molecular-weight cysteine-rich metal-binding proteins that are involved in the regulation of trace metal metabolism and protection against heavy metal toxicity and oxidative stress [14,19]. Among esterase enzyme activity, acetylcholinesterase is one of the major enzymes used to detect soil contamination [20]. This enzyme is known to be inhibited by various pollutants such as pesticides and some heavy metals [21].
The cellular biomarkers examined in this study reflect functional and structural alterations in response to chemical stress, providing insight into the health of the immune system and the overall condition of the earthworm [9,10]. For example, lysosomal membrane stability is a broad stress biomarker that has been widely used to detect the general stress syndrome due to exposure to both organic and inorganic pollutants in various bioindicator organisms [9,11,14,15,22]. The morphometric alterations in granulocytes due to cytoskeletal polymerization are useful to study the effect of pollutants on the cytoskeleton, which has been shown to be a target of various pollutants [9,14,22,23,24]. In addition, micronuclei frequency was determined to evaluate the possible genotoxic effects of the studied contaminants [9,15].
Copper sulfate is one of the most widely used compounds as a pesticide in agricultural practices [25]. Moreover, its toxic effect is manifested by a non-specific denaturation of enzymes and proteins; it has the potential to act as a catalyst in the formation of free radicals, but it also plays a role in increasing reactive oxygen species (ROS) [26]. Copper sulfate has been found to be detrimental to antioxidant activity and has been documented to alter the midgut morphology of non-target species [27,28]. Copper sulfate is also known to induce neurotoxic effects on exposed non-target species, and to disrupt their behavioral patterns [27,28,29,30,31]. Following copper bioaccumulation, organisms have been reported to manifest problems typical of Wilson’s disease [32]. Chlorpyrifos is an organophosphate pesticide (specifically an organothioate), that has been widely used in agriculture for decades to control a variety of pests, including insects that damage crops such as corn, almonds, cotton, and fruit trees. It works by inhibiting the enzyme acetylcholinesterase, which is critical to the function of the pest’s nervous system. Despite its efficacy, chlorpyrifos has raised both environmental and health concerns due to its persistence in ecosystems and its toxicity to non-target organisms, leading to restrictions and bans in many countries. The mobility of Chlorpyrifos in soil is generally limited due to its low water solubility (approximately 1.4 mg/L) and its strong binding affinity to soil particles. The sorption coefficient (Koc) of chlorpyrifos typically ranges from 600 to 15,000, indicating a high potential for adsorption to organic matter in soil, which restricts its leaching into groundwater. However, despite its limited mobility under most conditions, studies have documented its transport through surface runoff, particularly after heavy rainfall or in soils with low organic content, resulting in contamination of nearby water bodies. The persistence of chlorpyrifos in soil and its affinity for organic matter also pose significant risks to non-target soil organisms such as earthworms [33]. Research has shown that chlorpyrifos can affect the health of earthworm by inhibiting acetylcholinesterase activity and disrupting immune responses, making them highly susceptible to its toxic effects [34,35].
The aim of this work was to study the effect of different agrochemicals on different components of the earthworms’ coelomic fluid, such as circulating cells, proteins, and enzymes, and to develop a set of non-destructive biomarkers for monitoring the toxicity of these substances on non-target species. We studied the effect of two model toxicants, copper sulfate and chlorpyrifos, in the non-target species Lumbricus terrestris by evaluating general and specific biomarkers in the coelomic fluid obtained by syringe withdrawal. In this work, metallothionein (MT) concentration, acetylcholinesterase (AChE) activity, lysosomal membrane stability, micronuclei frequency, morphometric alterations in granulocytes, and cytoskeleton polymerization were analyzed in Lumbricus terrestris samples to demonstrate the application of a sensitive, simple, and rapid suite of non-destructive biomarkers. Lumbricus terrestris was chosen because of its ecological habits and beneficial effects in soil.

2. Materials and Methods

Chemicals were purchased from Sigma-Aldrich (St. Louis, MO, USA) at the highest purity grade. Diff-Quick® staining kit was purchased from Dade Behring (Newark, NJ, USA). Stock solutions of rhodamine phalloidin (6.6 µM in methanol) were prepared and stored at −20 °C until ready for use. Technical grade chlorpyrifos-ethyl was obtained from India Industrie Chimiche SPA (Padova, Italy).

2.1. Experimental Design

A homogeneous batch of sexually mature earthworms (L. terrestris, n = 500) was obtained from Agri Pet Garden (Conselve, Padova, Italy). The organisms were placed in 10 polypropylene plastic containers (70 × 20 × 31 cm, 50 organisms per container), each partially filled with 3 kg of soil (10% sphagnum peat, 20% kaolin clay, and 70% air-dried quartz sand, pH = 5.6 adjusted to 6.3 with calcium carbonate) [36,37] and acclimated for 2 weeks at 18 ± 1 °C, 16:8 h light/dark regime. The soil moisture was maintained at 45% of the water holding capacity with deionized water [36,37]. During the acclimation period, the animals were fed with oatmeal. After acclimation, 140 organisms of similar size (wet weight of depurated, voided gut earthworms: 3.52 ± 0.53 g, mean ± SE) were randomly selected for the contact toxicity test (filter paper test) according to OECD guidelines [36]. This method is suitable for studying the effects of highly soluble chemicals in soil interstitial water [38,39]. Ten replicates of seven polystyrene plastic Petri plates were prepared, each containing a filter paper moistened with 1 mL of either copper sulfate or chlorpyrifos solutions at concentrations ranging from 0.01, 0.1, 1, 10, 100 µM to 1 mM, covering European regulatory limits [40,41].
Reference controls were either deionized water (for copper) or solvent (0.2% DMSO for chlorpyrifos) used. Each earthworm was washed with distilled water, placed on moistened filter paper, and kept in the dark at 18 ± 1 °C for 24 h to allow soil residues to be removed from the gut. One earthworm was then placed in each petri dish, and after 72 h of exposure to either chemical, the animals were weighed separately, anesthetized with ice, and coelomic fluid was collected by puncturing the post-clitellar section with a hypodermic syringe containing 0.25 mL of saline solution [19]. The coelomic fluid was then dissolved in Hank’s Balanced Salt Solution (HBSS) containing 5 mM EDTA and centrifuged at 1000 rpm for 10 min to separate the cells from the fluid fraction. Cells were resuspended in 500 µL of HBSS. Cellular biomarkers were assessed in coelomocytes (granulocytes), while metallothionein and acetylcholinesterase activity were measured in coelomic fluids.

2.2. Morphometric Analysis

Morphometric alterations of granulocytes were determined by image analysis of cells stained with the Diff-Quick® kit (Dade Behring, Newark, USA). This staining kit method has been successfully used to stain mussel hemocytes [22], earthworm coelomocytes [42], and snail hemocytes [24]. Briefly, 40 µL of resuspended cells diluted 1:1 in HBSS were applied to a poly-L-lysine coated slide, incubated for 30 min in a humid chamber (16 °C) and stained using the Diff-Quick® kit [42]. Samples were fixed and stained on slides by repeated 1 s dips in the three Diff-Quick® kit reagents: Fast Green (fixative) (5 dips), Eosin G (18 dips), and Thiazin Dye (2 dips), then were washed in distilled water and air-dried according to the staining protocol [42]. The stained granulocytes were observed with a light microscope (Eclipse E600, Nikon, Tokyo, Japan) and the digitized images captured by the camera (TK-C1381, JVC, Yokohama, Japan) were analyzed, using LUCIA® image analysis software 4.61 (Nikon, Tokyo, Japan). The cell area of the 2D digitized images of granulocytes (100 cells per sample) images was automatically calculated by the LUCIA® software 4.61.

2.3. Cytoskeleton Analysis

For cytoskeleton analysis, the same procedure for cell dispensing and incubation as described in Section 2.2 (morphometric analysis) was followed. After incubation, the samples were fixed with methanol for 5 min and then incubated in MOPS buffer (MOPS 10 mM, EGTA 5 mM, K2HPO4 20 mM, MgSO4 2 mM, pH 6.9) with 0.1% saponin for 5 min. The samples were then treated with 0.33 µM rhodamine phalloidin for 1 h [43]. The slides were washed three times (5 min each) in MOPS buffer and mounted with coverslips using an antifade mounting medium. A total of 100 cells per sample were observed under a confocal laser scanning microscope (DM IRB/E, Leica Lasertechnik GmbH, Heidelberg, Germany) equipped with a 100×/1.25 NA planar apochromat oil immersion objective, at a wavelength of 568 nm, using a krypton–argon (Kr-Ar) laser for excitation. Granulocytes were identified according to the classification of Engelmann et al. [17]. Autofluorescence did not contribute significantly to the fluorescence signal. Images were analyzed using LUCIA® image analysis software 4.61 (Laboratory Imaging, s.r.o., Czech Republic) and fluorescence intensity was calculated for each sample.

2.4. Lysosomal Membrane Stability

Lysosomal membrane stability was assessed using the neutral red retention assay (NRRA) [44]. A volume of 40 µL of resuspended cells, diluted 1:1 in HBSS, was applied to poly-L-lysine-treated slides and incubated in a humid chamber at 16 °C for 30 min. After incubation, 40 µL of neutral red solution (prepared by mixing 995 µL of HBSS with 5 µL of neutral red dye solution, following the manufacturer’s instructions, Ikzus, Italy) was added, and the slides were incubated in a humid chamber at 16 °C for an additional 15 min. A coverslip was then applied and microscopic observation was performed.
Slides were observed every 15 min for the first hour and every 30 min for the next two hours. Observations were focused on granulocytes, and the retention time (the time required for 50% of the lysosomes to release the dye) was determined for each sample.

2.5. Micronuclei Assay

For micronucleus detection, DAPI was used as a fluorescent DNA stain [22]. A volume of 40 µL of resuspended cells (diluted 1:1 as described above) was applied to poly-L-lysine-coated slides and incubated in a humid chamber at 18 °C for 30 min. The cells were then fixed with methanol for 3 min. After removal of excess fixative, the cells were stained with 300 µL of DAPI (0.3 µM, Sigma Aldrich®, Merck, Darmstadt, Germany), and diluted 1:1 in saline solution for 5 min. At the end of the staining period, excess DAPI was removed, and the stained cells were mounted with antifade liquid and a coverslip [22]. Approximately 1000 cells per sample were analyzed using fluorescence microscopy.

2.6. Metallothionein and Acetylcholinesterase Activity Measurement

The coelomic metallothionein concentration was determined by the spectrophotometric method [19,45]. Coelomic fluids were homogenized (1:3 vol/vol) in the following buffer: 0.5 M sucrose, 20 mM Tris-HCl buffer, pH 8.6, added with 0.006 mM leupeptin, 0.5 mM phenylmethylsulphonyl fluoride (PMFS) as anti-proteolytic agents, and 0.01% β-mercaptoethanol as a reducing agent. The homogenate was then treated to obtain a partially purified metallothionein (MT) fraction by ethanol/chloroform precipitation. The MT concentration in the samples was quantified by spectrophotometric titration of the sulfhydryl residues using Ellman’s reagent [46] with reduced glutathione as a standard. Data were expressed as µg MT/mg protein.
Acetylcholinesterase (AChE) activity was measured in coelomic fluid extracts using the Acetylcholinesterase Reagent Kit (Ikzus, Italy). Coelomic fluids were homogenized at 1:3 vol/vol in the following buffers: Tris-HCl buffer (0.1 M, pH 7.5, 0.1% Triton-X100) in the presence of 2 μg/mL leupeptin. The resulting homogenate was centrifuged at 9000× g for 20 min at 4 °C. The supernatant was collected and used for AChE activity determination. AChE activity was quantified spectrophotometrically according to the method described by Ellman et al. [46], adapted to microtiter plate format. Acetylcholinesterase activity was expressed as nanomoles of product generated per minute per milligram of proteins.
Protein concentration was quantified by the Bradford assay [47] using a NanoDrop ND-1000 UV–Vis (Thermo Scientific, Waltham, MA, USA) and bovine serum albumin as a reference standard.

2.7. Statistics

Statistical analysis of the data from the laboratory exposure experiments was performed by one-way ANOVA. Dunnett’s multiple comparison tests were used to compare the effects of different concentrations of individual agrochemicals. Homogeneity of variance was tested by Cochran’s test before applying ANOVA. The software used for statistical analysis was GraphPad Prism™ 2.01 (GraphPad Software, San Diego, CA, USA).
The relationship between the granulocyte morphometric alterations and cytoskeleton polymerization was also evaluated. To analyze the relationship between morphometric and cytoskeletal alterations as a function of agrochemical type and concentration, parametric measures of correlation were considered. This approach required a Box–Cox type transformation [48] to obtain new variables from the original ones, in order to fulfill the ANCOVA assumptions and to obtain representative information about the variable association Pearson coefficient. The variable transformations are
y ~ C y t o , C u = y C y t o , C u λ ( C u ) 1 λ ( C u ) ,             x ~ C y t o , C u = 10 8 x C y t o , C u 3 ,                     λ C u = 0.4242
y ~ C y t o , C h l o r = y C y t o , C h l o r λ ( C h l o r ) 1 λ ( C h l o r ) ,             x ~ C y t o , C h l o r = 10 8 x C y t o , C h l o r 3 ,                     λ C h l o r = 0.7071
where y C y t o , C u , y C y t o , C h l o r is the original cytoskeletal alteration for copper and chlorpyrifos, respectively, while x C y t o , C u , x C y t o , C h l o r are the original morphometric alterations for copper and chlorpyrifos, respectively.

3. Results

3.1. Morphometric and Cytoskeleton Data

A significant increase in granulocyte size was observed in exposed earthworms (Figure 1). The increase was assessed by calculating the area of 2D digitized granulocyte images (Figure 1a). A strong enlargement (about 50%) of granulocytes was found in earthworms treated with copper sulfate 10 μM (Figure 1b) and the area value underwent a further increase in size of 35–40% at 100 μM and 1 mM. Different effects on granulocyte area were found in organisms treated with different concentrations of chlorpyrifos (Figure 1c). In fact, in chlorpyrifos-treated worms, the first significant increase in area was found after 0.1 μM (20%) and at the subsequent concentration, the increase in area was moderately regular of about 35–40%. Statistical analysis revealed a significant effect (p < 0.01) of agrochemicals on granulocyte enlargement. This effect is strictly related to the pollutant concentration, in fact, the significance increases as the concentration of agrochemicals increases.
The fluorescence intensity of cells labeled with rhodamine phalloidin is directly proportional to the amount of F-actin. Granulocytes showed an increase in fluorescence intensity when treated with copper and chlorpyrifos. Furthermore, the intensity increases with the concentration of agrochemicals. In addition, exposed granulocytes showed a round morphology, with short and blunt filopodia, and an increase in actin polymerization as evidenced by the increase in fluorescence intensity that increased with agrochemical concentration (Figure 2a). Copper-exposed granulocytes (Figure 2b) showed a significant (p < 0.01) increase in fluorescence intensity at a concentration of 10 μM. The other significant increases were found at concentration of 100 μM and 1 mM.
In chlorpyrifos-treated cells, statistical analysis showed a significant increase in fluorescence intensity (p < 0.01) from 1 μM and above. These results reflected a similar trend obtained by analyzing only the granulocytes’ morphometrical alteration.
Two complementary statistical analyses were performed to quantify the effect of substance concentration on morphometric variation and cytoskeletal alteration. The role of the concentration on the cytoskeletal alteration was studied taking into account the morphometrical changes as a covariate: this analysis was carried out by ANCOVA, after appropriate transformations of the variables to satisfy the ANCOVA assumptions. This first analysis distinguishes between a response (cytoskeleton alterations) and a covariate (morphometric alterations); the second analysis aims to study these two types of alterations on the same basis, thus considering them both as responses. After the data acquisition and variable transformations described above, ANCOVA was carried out. The results of the studied agrochemicals are presented in Table 1.
The adjusted R2 quantifies the coefficient of determination and is related to the multiple correlation coefficient: the reported values show a high variance explained by the relationship between cytoskeletal alterations, morphometric alterations, and concentration for each agrochemical. In this case, chlorpyrifos is associated with the highest adjusted R2 coefficient in Table 1, followed by copper.

3.2. Cellular Biomarkers

To further investigate the cellular effects of the tested agrochemicals, the stability of lysosomal membranes and the frequency of micronucleus formation were analyzed.
Figure 3a shows the lysosomal membrane stability of Lumbricus terrestris granulocytes determined during the exposure to copper and chlorpyrifos.
It was observed that the lysosomal stability in control organisms showed a neutral red retention time of 150–180 min on average, a value attributed to organisms in good health [44] and unaffected by chemical stress events. In the case of organisms exposed to the different agrochemicals, a significant reduction (p < 0.01) in the neutral red retention time was observed at the different concentrations of copper and chlorpyrifos.
Statistical analysis showed that exposure had a highly significant (p < 0.01) effect on lysosomal membrane stability as concentrations increased, with chlorpyrifos having a greater effect than copper.
To assess possible genotoxic effects of chlorpyrifos and copper, micronucleus counts were performed. Figure 3b shows the results of the frequency of micronuclei found in the granulocytes of earthworms exposed to the two chemicals. It can be seen that exposure to copper at a concentration of 1 mM induces DNA damage with a frequency of 8‰. In the case of chlorpyrifos, where the frequency increases almost exponentially with the concentration of the pollutant to which the organisms are exposed, the threshold of 5‰, considered as the reference value above which one can speak of genotoxic effects of the pollutants, is already exceeded at a concentration of 10 µM and 100 µM with a frequency of micronuclei of 6‰ and 9‰, respectively. In the granulocytes from individuals exposed to a concentration of 1 mM, the effects were even more pronounced, as the frequency of micronuclei found at the highest concentration in the experiment was of 18‰.

3.3. Metallothionein and Acetylcholinesterase Activity

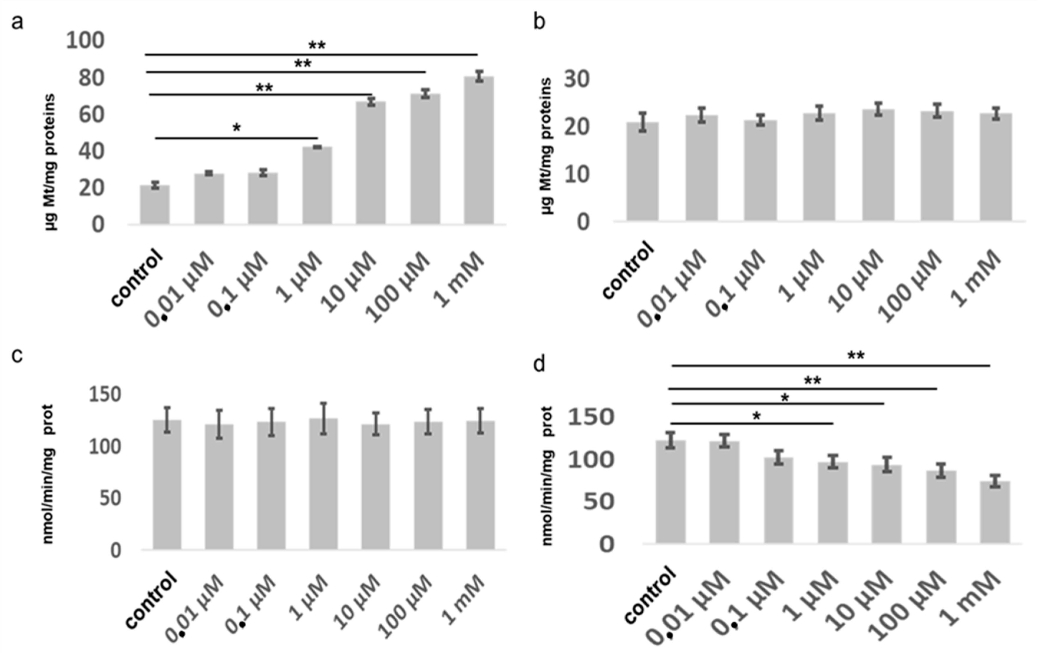
Figure 4a shows the effect of stress-induced exposure to copper and chlorpyrifos, respectively, on metallothionein levels in the coelomic fluid. The results, consistent with studies in the literature, show an induction by copper on the expression of metallothioneins. Dunnett’s test allowed the detection of interspecific differences between the groups studied. In the case of copper, no significant effects were found at the lowest concentrations. These effects became more significant (p < 0.01) as the concentration tested increased. Organisms exposed to chlorpyrifos showed no increase in metallothionein levels at any of the concentrations tested (Figure 4b).
Figure 4c shows the effects of agrochemicals studied on AChE inhibition. It is known that this enzyme is sensitive to inhibition by carbamate, organophosphate, and organo-chlorine compounds whose molecular structure is specific to the active sites of the enzyme, as in the case of some heavy metals [19]. There is a highly significant effect (p < 0.01) of chlorpyrifos already at the lowest concentrations tested and no effect of copper (Figure 4c,d). Again, the different responses of the experimental groups were analyzed using Dunnett’s test.

4. Discussion

This study aimed to investigate the effects of agrochemicals on non-target species, specifically earthworms, which play a crucial role in maintaining the health of agroecosystems. The choice to study the effects of agrochemicals in earthworms is relevant because these organisms are key ecological species, and this phenomenon reflects, among its major cases, the impact of human activity on agroecosystems [1]. Furthermore, there is limited information on the toxic effects of pesticides on the health of agroecosystems, and one of the aims of this work is to demonstrate the feasibility of using these animals as “sentinels”, with particular attention to the development of non-destructive biomarkers. It is important to emphasize that all the methodologies developed adhere to the application of the 3Rs: Replacement, Reduction, and Refinement [49]. For Replacement, non-destructive biomarker analysis was performed on collected coelomic fluid and not on whole animals. Indeed, coelomic fluid is a useful alternative for the assessment of non-destructive biomarker assessment [11,14,19,42]. The reduction involved the use of a minimum number of animals, while the experimental design maximized the information obtained from each assay. Refinement was achieved by minimizing the suffering and stress to the organisms, using a hypodermic syringe with a very fine needle. The coelomic fluid method of sampling proved to be non-destructive, as the earthworms that survived after sampling recovered and were relocated in the culture media under optimal growth conditions. To verify the usefulness of non-destructive biomarkers, we evaluated the effects of two pesticides on the exposed sentinel organisms. The set of biomarkers was analyzed in vivo after the collection of circulating fluids. Coelomic fluid is a biological compartment that can be obtained by a simple syringe withdrawal. It transports oxygen, enzymes, nutrients, and circulating immune cells (coelomocytes), which play a fundamental role in the organism’s response to pathogens and toxicants through various processes, such as phagocytosis, encapsulation, and coagulation [10,17]. From a toxicological perspective, earthworm coelomocytes are of particular interest because they circulate in the coelomic fluid and can accumulate and transport toxicants throughout the animal. Coelomocytes are the cells responsible for internal defense mechanisms, and any alteration in their function can affect the health of the organism [9,10,14,17,42]. Therefore, these cells may serve as an early target for the toxic effects of contaminants.
Calisi et al. [42] reported that, among all coelomocyte types, granulocytes are the main target of toxicants. In addition, activation of immune system cells induced by chemical stress has been widely documented [9,10,14,17]. In this study [42], a new general biomarker was identified by demonstrating that pollutant-induced morphometric alterations in earthworm granulocytes can be used as general effect indicators in biomonitoring programs. The study reported that coelomocytes, and granulocytes in particular, are affected by various agrochemicals, showing an expansion of the visible area, i.e., a marked increase in size, coupled with a loss of pseudopodia and subsequent cell rounding. It is hypothesized that the enlargement of granulocytes is related to the polymerization and redistribution of the cytoskeleton across cell membranes. The mechanism is likely a defense response to toxicants, as heavy metals and pesticides are known to alter various metabolic processes and interfere with membrane transport mechanisms [9,11,14,42]. The resulting effect is cell swelling caused by an increase in intracellular osmolyte content, with consequent water influx by osmosis [42].
The morphometric alteration of immune cells has been established both as a biomarker of general stress as well as in studies of the effects of marine and terrestrial environmental contamination [22,24,42]. The results of the present study confirm previous findings, as granulocytes exposed to higher concentrations of toxicants exhibited a globular shape, increased size, and flattening of the cell surface with short, thickened filopodia. The loss of the characteristic pseudopodia was presumably caused by the effect of the toxicant on the cell cytoskeleton. Previous studies have shown that agrochemicals and other pollutants have toxic effects on the cytoskeleton of immune system cells in various invertebrates [23,49,50]. In fact, several authors have reported that chemical contaminants, including heavy metals, can alter the cellular cytoskeleton by affecting both microfilaments and microtubules [23,49,51,52,53,54,55]. In addition, the structural organization of the cytoskeleton is clearly affected by changes in cell volume [22]. Swelling of immune cells can be considered a general biomarker, as it has been observed in response to both pesticides and heavy metals [42].
Potential changes in cytoskeletal actin were quantified by measuring the fluorescence intensity of rhodamine phalloidin-labeled granulocytes. Fluorescence intensity was used as an indicator of actin polymerization due to the specific binding of F-actin by phalloidin which is used to label microfilaments [43]. The significant increase in polymerization was mainly localized in the cell cortex, or in the region immediately below the plasma membrane in toxicant organisms. The observed increase in polymerization is highly significant and suggests that actin polymerization is associated with the early activation of the immune response to pollutants [49]. Therefore, the increase in intracellular F-actin can be considered an indication of immune cell activation following oxidative stress caused by toxicant exposure. The influence of oxidative stress on actin polymerization has been demonstrated in previous studies [56]. The increase in actin polymerization could therefore be considered as a general biomarker of chemical stress exposure. Moreover, the activation of this response appears quite early, as observed within 72 h of acute exposure.
To verify the relationship between morphometric alterations and increased actin polymerization, statistical analysis focused on the degree of correlation and its significance across all concentration levels. This approach provided complementary evidence to the analyses performed at individual concentration levels. ANCOVA was used to measure the correlation between cytoskeletal and morphometric alterations and compound concentrations.
Among the cellular biomarkers studied, lysosomal membrane stability has emerged as a primary target for toxicants. Both inorganic and organic toxicants tend to accumulate in lysosomes, leading to membrane destabilization [9,15,44]. Most studies on the effects of toxicants on coelomocytes have focused on lysosomal membrane stability [44,57,58,59], which is commonly used as a general biomarker of chemical exposure. Several classes of contaminants can lead to the formation of leaky lysosomes, resulting in the release of hydrolytic enzymes into the cytoplasm and subsequent cellular pathology, possibly culminating in cell death [60]. In addition, pollutants can interact with lysosomes to produce additional toxic effects, such as abnormal lipid accumulation or the formation of lipofuscin, a byproduct of lipid peroxidation [9,61].
The stability of the lysosomal membrane, as indicated by the neutral red dye retention time, reflects the degree of general stress in the animals. It is known that a state of oxidative stress can lead to destabilization of the lysosomal membrane via peroxidation of membrane lipids [14,15,44,59,60,61]. Other studies report that exposure to either inorganic or organic pollutants induces the generation of ROS and a consequent increase in lipid peroxidation (LPX) [62,63,64]. These effects have also been documented in earthworms [14,65]. The results showed that lysosomal membrane destabilization occurred in all treated groups compared to controls, with a more pronounced effect of chlorpyrifos than copper sulfate. This suggests that pesticides may have a greater effect on membrane destabilization than copper-based agrochemicals in earthworm coelomocytes [14,42], as has been demonstrated in other species [66,67,68].
The micronucleus assay was performed to detect possible DNA damage caused by contaminants and to assess potential genotoxicity [69,70]. The data showed that different classes of toxicants had genotoxic effects, with chlorpyrifos causing more significant damage than copper, which induced a slower and milder response. The increased frequency of micronuclei is a clear indicator of early genotoxic stress induced by the agrochemicals, providing insight into accumulated genetic damage in immune cells that may affect the long-term survival of exposed organisms [9].
Enzyme and protein activities are recognized as rapid and prognostic indicators of an organism’s response to environmental stress, allowing the prediction of pollution effects at the ecosystem level [9,15,20,69]. Some authors have reported the presence of several enzymes and detoxifying proteins, such as metallothionein, in coelomic fluids [19,20]. Numerous studies have highlighted the critical role of metallothioneins in detoxification mechanisms, particularly as chelators of heavy metals [71,72]. Assessment of metallothionein content has been confirmed to be a sensitive and effective biomarker for diagnosing the effects of heavy metal-based agrochemicals, making it an essential component of a non-destructive biomarker suite for assessing agroecosystem health and monitoring pesticide effects on target organisms [9,14,15,24].
In order to assess the effects of pesticides, the inhibition of AChE activity was evaluated. As reported by Sanchez Hernandez [20], this enzyme is found in many tissues, including the anterior part of the intestine, which is bathed in coelomic fluid. This makes it possible to measure AChE activity in coelomic fluid. Indeed, in biomonitoring, AChE activity is included in biomarker sets to evaluate the effects of organophosphate pesticides on non-target organisms [9,14,21]. Data confirm that AChE activity is an effective biomarker for specifically detecting the effects of organophosphate pesticides. Furthermore, it can be included in non-destructive biomarker suites due to its presence in coelomic fluids.

5. Conclusions

The use of coelomic fluid as a biomarker in Lumbricus terrestris offers significant advantages over traditional whole-body measurements, particularly for field applications. Given the critical role of coelomic fluid, which contains circulating cells, enzymes, and detoxifying proteins, this method allows for the possibility of performing multiple assays on this essential earthworm tissue.
Coelomic fluid can be easily sampled from live animals in their native environment (after gut depuration) using a hypodermic syringe, eliminating the need for stressful transport to the laboratory and avoiding the subsequent sacrifice of organisms for the evaluation of parameters, such as metallothionein levels and acetylcholinesterase activity.
It is important to note that more invasive methods of coelomic fluid extraction could compromise or alter the activity of cells and enzymes. By choosing the less invasive hypodermic syringe method, these issues are avoided, ensuring that the organisms are not harmed, and that cellular and enzymatic activities remain intact.
This non-destructive sampling approach not only meets with ethical guidelines but also preserves the integrity of the biological markers, making it a valuable tool for environmental monitoring and toxicological studies.

Author Contributions

Conceptualization, A.C.; methodology, A.C. and T.S.; software, M.A.; validation, A.C. and F.D.; formal analysis, A.C., T.C., M.A., T.S. and F.D.; investigation, A.C., D.R. and D.G.; data curation, A.C. and T.C., writing—original draft preparation, A.C.; writing—review and editing, A.C., T.C., M.A., M.M., T.S. and F.D.; visualization, A.C.; supervision T.C. and F.D.; funding acquisition, T.S. All authors have read and agreed to the published version of the manuscript.

Funding

The publication has been funded by EU—Next Generation EU Mission 4 “Education and Research”—Component 2: “From research to business”—Investment 3.1: “Fund for the realisation of an integrated system of research and innovation infrastructures”—Project IR0000032—ITINERIS—Italian Integrated Environmental Research Infrastructures System—CUP B53C22002150006.

Institutional Review Board Statement

This study did not require ethical approval according to the legislation in force, that is, Directive 2010/63/EU of the European Parliament and of the Council.

Data Availability Statement

The data are available when required under the responsibility of the corresponding author. The data are not publicly available due to privacy.

Acknowledgments

The authors acknowledge the Research Infrastructures participating in the ITINERIS project with their Italian nodes: ACTRIS, ANAEE, ATLaS, CeTRA, DANUBIUS, DISSCO, e-LTER, ECORD, EMPHASIS, EMSO, EUFAR, Euro-Argo, EuroFleets, Geoscience, IBISBA, ICOS, JERICO, LIFEWATCH, LNS, N/R Laura Bassi, SIOS, SMINO.

Conflicts of Interest

The authors declare no conflicts of interest.

References

  1. Martin-Clouaire, R. Ontological foundation of ecosystem services and the human dimension of agroecosystems. Agric. Sci. 2018, 9, 525–545. [Google Scholar] [CrossRef][Green Version]
  2. Rosell, G.; Quero, C.; Coll, J.; Guerrero, A. Biorational insecticides in pest management. J. Pestic. Sci 2008, 33, 103–121. [Google Scholar] [CrossRef]
  3. Lefrancq, M.; Imfeld, G.; Payraudeau, S.; Millet, M. Kresoxim methyl deposition, drift and runoff in a vineyard catchment. Sci. Total Environ. 2013, 442, 503–508. [Google Scholar] [CrossRef] [PubMed]
  4. Liu, Y.; Li, S.; Ni, Z.; Qu, M.; Zhong, D.; Ye, C.; Tang, F. Pesticides in persimmons, jujubes and soil from China: Residue levels, risk assessment and relationship between fruits and soils. Sci. Total Environ. 2016, 542, 620–628. [Google Scholar] [CrossRef]
  5. Miglani, R.; Bisht, S.S. World of earthworms with pesticides and insecticides. Interdiscip. Toxicol. 2019, 12, 71–82. [Google Scholar] [CrossRef]
  6. Beaumelle, L.; Tison, L.; Eisenhauer, N.; Hines, J.; Malladi, S.; Pelosi, C.; Thouvenot, L.; Phillips, H.R.P. Pesticide effects on soil fauna communities—A meta-analysis. J. Appl. Ecol. 2023, 60, 1239–1253. [Google Scholar] [CrossRef]
  7. Yadav, R.; Kumar, R.; Gupta, R.K.; Kaur, T.; Kiran; Kour, A.; Kaur, S.; Rajput, A. Heavy metal toxicity in earthworms and its environmental implications: A Review. Environ. Adv. 2023, 12, 100374. [Google Scholar] [CrossRef]
  8. Pathak, V.M.; Verma, V.K.; Rawat, B.S.; Kaur, B.; Babu, N.; Sharma, A.; Dewali, S.; Yadav, M.; Kumari, R.; Singh, S.; et al. Current status of pesticide effects on environment, human health and it’s eco-friendly management as bioremediation: A comprehensive review. Front. Microbiol. 2022, 13, 962619. [Google Scholar] [CrossRef]
  9. Sanchez-Hernandez, J.C. Bioremediation of Agricultural Soils, 1st ed.; CRC Press: Boca Raton, FL, USA, 2019; p. 296. ISBN 9780367780173. [Google Scholar]
  10. Alesci, A.; Capillo, G.; Fumia, A.; Albano, M.; Messina, E.; Spanò, N.; Pergolizzi, S.; Lauriano, E.R. Coelomocytes of the Oligochaeta earthworm Lumbricus terrestris (Linnaeus, 1758) as evolutionary key of defense: A morphological study. Zool. Lett. 2023, 9, 5. [Google Scholar] [CrossRef]
  11. Sanchez-Hernandez, J.C. Earthworms biomarkers in ecological risk assessment. Rev. Environ. Contam. Toxicol. 2006, 188, 85–126. [Google Scholar] [CrossRef]
  12. Alves, P.R.L.; Bandeira, F.O.; Hennig, T.B. Ecological Role of Earthworms as Bioindicators of Soil Health. In Earthworm Engineering and Applications, 1st ed.; Vig, A.P., Singh, J., Suthar, S.S., Eds.; Nova Science Publishers: New York, NY, USA, 2022; pp. 55–81. ISBN 978-1-68507-566-8. [Google Scholar]
  13. Xiao, R.; Ali, A.; Xu, Y.; Abdelrahman, H.; Li, R.; Lin, Y.; Bolan, N.; Shaheen, S.; Rinklebe, J.; Zhang, Z. Earthworms as candidates for remediation of potentially toxic elements contaminated soils and mitigating the environmental and human health risks: A review. Environ. Int. 2022, 158, 106924. [Google Scholar] [CrossRef] [PubMed]
  14. Lionetto, M.G.; Calisi, A.; Schettino, T. Earthworms biomarkers as tools for soil pollution assessment. In Soil Health and Land Use Management, 1st ed.; Hernandez-Soriano, M.C., Ed.; InTech—Open Access Publisher in Science, Technology and Medicine: Rijeka, Croatia, 2012; pp. 305–332. [Google Scholar]
  15. Dondero, F.; Calisi, A. Evaluation of Pollution Effects in Marine Organisms: “Old” and “New Generation” Biomarkers. In Coastal Ecosystems: Experiences and Recommendations for Environmental Monitoring Programs, 1st ed.; Sebastià, M.T., Ed.; Nova Science Publishers: New York, NY, USA, 2015; pp. 143–192. [Google Scholar]
  16. Roubalová, R.; Procházková, P.; Dvořák, J.; Škanta, F.; Bilej, M. The role of earthworm defense mechanisms in ecotoxicity studies. Invertebr. Surviv. J. 2015, 12, 203–213. [Google Scholar]
  17. Engelmann, P.; Hayashi, Y.; Bodó, K.; Ernszt, D.; Somogyi, I.; Steib, A.; Orbán, J.; Pollák, E.; Nyitrai, M.; Németh, P.; et al. Phenotypic and functional characterization of earthworm coelomocyte subsets: Linking light scatter-based cell typing and imaging of the sorted populations. Dev. Comp. Immunol. 2016, 65, 41–52. [Google Scholar] [CrossRef] [PubMed]
  18. Homa, J. Earthworm coelomocyte extracellular traps: Structural and functional similarities with neutrophil NETs. Cell Tissue Res. 2018, 371, 407–414. [Google Scholar] [CrossRef]
  19. Calisi, A.; Lionetto, M.G.; De Lorenzis, E.; Leomanni, A.; Schettino, T. Metallothionein induction in the celomic fluid of the earthworm Lumbricus terrestris following heavy metal exposure. Biomed Res. Int. 2014, 2014, 109386. [Google Scholar] [CrossRef]
  20. Sanchez Hernandez, J.C. Pesticide biomarkers in terrestrial invertebrates. In Pesticides in the Modern World—Pests Control and Pesticides Exposure and Toxicity Assessment, 1st ed.; Stoytcheva, M., Ed.; InTech—Open Access Publisher in Science, Technology and Medicine: Rijeka, Croatia, 2011; pp. 213–240. [Google Scholar]
  21. Frasco, M.F.; Fournier, D.; Carvalho, F.; Guilhermino, L. Do metals inhibit acetylcholinesterase (AchE)? Implementation of assay conditions for the use of AchE activity as a biomarker of metal toxicity. Biomarkers 2005, 10, 360–375. [Google Scholar] [CrossRef]
  22. Calisi, A.; Giordano, M.E.; Dondero, F.; Maisano, M.; Fasulo, S.; Lionetto, M.G. Morphological and functional alterations in hemocytes of Mytilus galloprovincialis exposed in high-impact anthropogenic sites. Mar. Environ. Res. 2023, 188, 105988. [Google Scholar] [CrossRef]
  23. Gomez-Mendikute, A.; Cajaraville, M.P. Comparative effects of cadmium, copper, paraquat and benzo[a]pyrene on the actin cytoskeleton and production of reactive oxygen species (ROS) in mussel Haemocytes. Toxicol. Vitr. 2003, 17, 539–546. [Google Scholar] [CrossRef]
  24. Leomanni, A.; Schettino, T.; Calisi, A.; Lionetto, M.G. Mercury induced haemocyte alterations in the terrestrial snail Cantareus apertus as novel biomarker. Comp. Biochem. Physiol. C 2016, 183, 20–27. [Google Scholar] [CrossRef]
  25. Lamichhane, J.R.; Osdaghi, E.; Behlau, F.; Köhl, J.; Jones, J.B.; Aubertot, J.-N. Thirteen decades of antimicrobial copper compounds applied in agriculture. A review. Agron. Sustain. Dev. 2018, 38, 28. [Google Scholar] [CrossRef]
  26. Burandt, Q.C.; Deising, H.B.; von Tiedemann, A. Further Limitations of Synthetic Fungicide Use and Expansion of Organic Agriculture in Europe Will Increase the Environmental and Health Risks of Chemical Crop Protection Caused by Copper-Containing Fungicides. Environ. Toxicol. Chem. 2024, 43, 19–30. [Google Scholar] [CrossRef] [PubMed]
  27. Bernardes, R.C.; Fernandes, K.M.; Bastos, D.S.S.; Freire, A.F.P.A.; Lopes, M.P.; de Oliveira, L.L.; Tavares, M.G.; dos Santos Araújo, R.; Martins, G.F. Impact of copper sulfate on survival, behavior, midgut morphology, and antioxidant activity of Partamona helleri (Apidae: Meliponini). Environ. Sci. Pollut. Res. 2022, 29, 6294–6305. [Google Scholar] [CrossRef] [PubMed]
  28. Halmenschelager, P.T.; da Rocha, J.B.T. Biochemical CuSO4 toxicity in Drosophila melanogaster depends on sex and developmental stage of exposure. Biol. Trace Elem. Res. 2019, 189, 574–585. [Google Scholar] [CrossRef] [PubMed]
  29. Oliveira, C.S.; Nogara, P.A.; Lima, L.S.; Galiciolli, M.E.; Souza, J.V.; Aschner, M.; Rocha, J.B. Toxic metals that interact with thiol groups and alteration in insect behavior. Curr. Opin. Insect Sci. 2022, 52, 100923. [Google Scholar] [CrossRef]
  30. Morgado, R.G.; Pavlaki, M.D.; Soares, A.M.V.M.; Loureiro, S. Terrestrial organisms react differently to nano and non-nano Cu(OH)2 forms. Sci. Total Environ. 2022, 807, 150679. [Google Scholar] [CrossRef]
  31. Pelosi, C.; Gavinelli, F.; Petit-dit-Grezeriat, L.; Serbource, C.; Schoffer, J.T.; Ginocchio, R.; Yáñez, C.; Concheri, G.; Rault, M.; van Gestel, C.A.M. Copper toxicity to earthworms: A comprehensive review and meta-analysis. Chemosphere 2024, 362, 142765. [Google Scholar] [CrossRef]
  32. Bandmann, O.; Weiss, K.H.; Kaler, S.G. Wilson’s disease and other neurological copper disorders. Lancet Neurol. 2015, 14, 103–113. [Google Scholar] [CrossRef]
  33. Oliver, G.R.; Bolles, H.G.; Shurdut, B.A. Chlorpyrifos: Probabilistic assessment of exposure and risk. Neurotoxicology 2000, 21, 203–208. [Google Scholar]
  34. Sanchez-Hernandez, J.C.; Ríos, J.M.; Attademo, A.M. Response of digestive enzymes and esterases of ecotoxicological concern in earthworms exposed to chlorpyrifos-treated soils. Ecotoxicology 2018, 27, 890–899. [Google Scholar] [CrossRef]
  35. Martínez Morcillo, S.; Yela, J.L.; Capowiez, Y.; Mazzia, C.; Rault, M.; Sanchez Hernandez, J.C. Avoidance behaviour response and esterase inhibition in the earthworm, Lumbricus terrestris, after exposure to chlorpyrifos. Ecotoxicology 2013, 22, 597–607. [Google Scholar] [CrossRef]
  36. OECD. Earthworms, acute toxicity tests. In OECD, Guideline for Testing Chemicals n° 207; OECD: Paris, France, 1984. [Google Scholar]
  37. OECD. Earthworms reproduction tests. In OECD, Guideline for Testing Chemicals n° 222; OECD: Paris, France, 2004. [Google Scholar]
  38. Saxe, J.K.; Impellitteri, C.A.; Peijnenburg, W.J.G.M.; Allen, H.E. Novel model describing trace metal concentrations in the earthworm, Eisenia andrei. Environ. Sci. Technol. 2001, 35, 4522–4529. [Google Scholar] [CrossRef] [PubMed]
  39. Vijver, M.G.; Vink, J.P.M.; Miermans, C.J.H.; Van Gestel, C.A.M. Oral sealing using glue: A new method to distinguish between intestinal and dermal uptake of metals in earthworms. Soil Biol. Biochem. 2003, 35, 125–132. [Google Scholar] [CrossRef]
  40. EU. Directive EC 2020/1085. Off. J. Eur. Union 2020, 239, 7–8. Available online: http://data.europa.eu/eli/reg/2020/1085/oj (accessed on 23 July 2020).
  41. EU. Directive EC 2018/1039. Off. J. Eur. Union 2018, 186, 3–24. Available online: http://data.europa.eu/eli/reg_impl/2018/1039/oj (accessed on 23 July 2018).
  42. Calisi, A.; Lionetto, M.G.; Schettino, T. Pollutant-induced alterations of granulocyte morphology in the earthworm Eisenia foetida. Ecotoxicol, Environ. Saf. 2009, 72, 1369–1377. [Google Scholar] [CrossRef]
  43. Pedersen, S.F.; Hoffmann, E.K.; Mills, J.W. The cytoskeleton and cell volume regulation. Comp. Biochem. Physiol. A 2001, 130, 385–399. [Google Scholar] [CrossRef]
  44. Svendsen, C.; Spurgeon, D.J.; Hankard, P.K.; Weeks, J.M. A review of lysosomal membrane stability measured by neutral red retention: Is it a workable earthworm biomarker? Ecotoxicol. Environ. Saf. 2004, 57, 20–29. [Google Scholar] [CrossRef]
  45. Gastaldi, L.; Ranzato, E.; Caprì, F.; Hankard, P.; Pérès, G.; Canesi, L.; Viarengo, A.; Pons, G. Application of a biomarker battery for the evaluation of the sublethal effects of pollutants in the earthworm Eisenia andrei. Comp. Biochem. Physiol. C Toxicol. Pharmacol. 2007, 146, 398–405. [Google Scholar] [CrossRef]
  46. Elmann, G.L.; Cortney, K.D.; Andrea, V.J.; Featherstone, R.M. A new and rapid colorimetric determination of acetylcholinesterase activity. Biochem. Pharmacol. 1961, 7, 88–95. [Google Scholar] [CrossRef]
  47. Bradford, M.M. A rapid and sensitive method for the quantitation ofmicrogram quantities of protein utilizing the principle of protein dye binding. Anal. Biochem. 1976, 72, 248–254. [Google Scholar] [CrossRef]
  48. Kimanani, E.K. Bioanalytical calibration curves: Proposal for statistical criteria. J. Pharm. Biomed. Anal. 1998, 16, 1117–1124. [Google Scholar] [CrossRef] [PubMed]
  49. Hubrecht, R.C.; Carter, E. The 3Rs and Humane Experimental Technique: Implementing Change. Animals 2019, 9, 754. [Google Scholar] [CrossRef] [PubMed]
  50. Katsumiti, A.; Gilliland, D.; Arostegui, I.; Cajaraville, M.P. Mechanisms of Toxicity of Ag Nanoparticles in Comparison to Bulk and Ionic Ag on Mussel Hemocytes and Gill Cells. PLoS ONE 2015, 10, e0129039. [Google Scholar] [CrossRef]
  51. Le Saux, A.; David, E.; Betoulle, S.; Bultelle, F.; Rocher, B.; Barjhoux, I.; Cosio, C. New Insights into Cellular Impacts of Metals in Aquatic Animals. Environments 2020, 7, 46. [Google Scholar] [CrossRef]
  52. Adam, M.A.; Maftuch, M.; Kilawati, Y.; Risjani, Y. The effect of cadmium exposure on the cytoskeleton and morphology of the gill chloride cells in juvenile mosquito fish (Gambusia affinis). Egypt. J. Aquat. Res. 2019, 45, 337–343. [Google Scholar] [CrossRef]
  53. Jia, H.; Chen, S.; Wang, X.; Shi, C.; Liu, K.; Zhang, S.; Li, J. Copper oxide nanoparticles alter cellular morphology via disturbing the actin cytoskeleton dynamics in Arabidopsis roots. Nanotoxicology 2020, 14, 127–144. [Google Scholar] [CrossRef]
  54. Missawi, O.; Venditti, M.; Cappello, T.; Zitouni, N.; Marco, G.D.; Boughattas, I.; Bousserrhine, N.; Belbekhouche, S.; Minucci, S.; Maisano, M.; et al. Autophagic event and metabolomic disorders unveil cellular toxicity of environmental microplastics on marine polychaete Hediste diversicolor. Environ. Pollut. 2022, 302, 119106. [Google Scholar] [CrossRef]
  55. Stephan, O.O.H. Effects of environmental stress factors on the actin cytoskeleton of fungi and plants: Ionizing radiation and ROS. Cytoskeleton 2023, 80, 330–335. [Google Scholar] [CrossRef]
  56. Burlacu, S.; Janmey, P.A.; Borejdo, J. Distribution of actin filament lengths measured by fluorescence microscopy. Am. J. Physiol. Cell Physiol. 1992, 262, C569–C577. [Google Scholar] [CrossRef]
  57. Ishimoto, T.; Mori, H. Control of actin polymerization via reactive oxygen species generation using light or radiation. Front. Cell Dev. Biol. 2022, 10, 1014008. [Google Scholar] [CrossRef]
  58. Kwak, J.I.; Lee, W.M.; Kim, S.W.; An, Y.J. Interaction of citrate-coated silver nanoparticles with earthworm coelomic fluid and related cytotoxicity in Eisenia andrei. J. Appl. Toxicol. 2014, 34, 1145–1154. [Google Scholar] [CrossRef] [PubMed]
  59. Wang, Z.; Li, C.; Shao, Y.; Xue, W.; Wang, N.; Xu, X.; Zhang, Z. Antioxidant defense system responses, lysosomal membrane stability and DNA damage in earthworms (Eisenia fetida) exposed to perfluorooctanoic acid: An integrated biomarker approach to evaluating toxicity. RSC Adv. 2021, 11, 26481–26492. [Google Scholar] [CrossRef] [PubMed]
  60. Zhou, Y.; He, G.; Jiang, H.; Pan, K.; Liu, W. Nanoplastics induces oxidative stress and triggers lysosome-associated immune-defensive cell death in the earthworm Eisenia fetida. Environ. Int. 2023, 174, 107899. [Google Scholar] [CrossRef] [PubMed]
  61. Moore, M.N.; Allen, J.I.; McVeigh, A. Environmental prognostics: An integrated model supporting lysosomal stress responses as predictive biomarkers of animal health status. Mar. Environ. Res. 2006, 61, 278–304. [Google Scholar] [CrossRef]
  62. Ayala, A.; Muñoz, M.F.; Argüelles, S. Lipid peroxidation: Production, metabolism, and signaling mechanisms of malondialdehyde and 4-hydroxy-2-nonenal. Oxidative Med. Cell. Longev. 2014, 2014, 360438. [Google Scholar] [CrossRef]
  63. Balali-Mood, M.; Naseri, K.; Tahergorabi, Z.; Khazdair, M.R.; Sadeghi, M. Toxic mechanisms of five heavy metals: Mercury, lead, chromium, cadmium, and arsenic. Front. Pharmacol. 2021, 12, 643972. [Google Scholar] [CrossRef]
  64. Mitra, S.; Jyoti Chakraborty, A.; Montakim Tareq, A.; Bin Emran, T.; Nainu, F.; Khusro, A.; Idris, A.M.; Uddin Khandaker, M.; Osman, H.; Alhumaydhi, F.A.; et al. Impact of heavy metals on the environment and human health: Novel therapeutic insights to counter the toxicity. J. King Saud Univ. Sci. 2022, 34, 101865. [Google Scholar] [CrossRef]
  65. Chaitanya, R.K.; Shashank, K.; Sridevi, P. Oxidative stress in invertebrate systems. In Free Radicals and Diseases; Ahmad, R., Ed.; InTech—Open Access Publisher in Science, Technology and Medicine: Rijeka, Croatia, 2016; pp. 51–68. [Google Scholar]
  66. Shaw, J.P.; Moore, M.N.; Readman, J.W.; Mou, Z.; Langston, W.J.; Lowe, D.M.; Frickers, P.E.; Al-Moosawi, L.; Pascoe, C.; Beesley, A. Oxidative stress, lysosomal damage and dysfunctional autophagy in molluscan hepatopancreas (digestive gland) induced by chemical contaminants. Mar. Environ. Res. 2019, 152, 104825. [Google Scholar] [CrossRef]
  67. Itziou, A.; Dimitriadis, V.K. The potential role of cAMP as a pollution biomarker of terrestrial environments using the land snail Eobania vermiculata: Correlation with lysosomal membrane stability. Chemosphere 2009, 76, 1315–1322. [Google Scholar] [CrossRef]
  68. Perić, L.; Burić, P. The effect of copper and chlorpyrifos co-exposure on biomarkers in the marine mussel Mytilus galloprovincialis. Chemosphere 2019, 225, 126–134. [Google Scholar] [CrossRef]
  69. Fontanetti, S.C.; Nogarol, R.L.; de Souza, B.R.; Perez, G.D.; Maziviero, T.G. Bioindicators and biomarkers in the assessment of soil toxicity. pp. In Soil Contamination, 1st ed.; Pascucci, S., Ed.; InTech—Open Access Publisher in Science, Technology and Medicine: Rijeka, Croatia, 2011; pp. 143–168. [Google Scholar]
  70. Bolognesi, C.; Frenzilli, G.; Lasagna, C.; Perrone, E.; Roggieri, P. Genotoxicity biomarkers in Mytilus galloprovincialis: Wild versus caged mussels. Mutat. Res. 2004, 552, 153–162. [Google Scholar] [CrossRef] [PubMed]
  71. Samuel, M.S.; Datta, S.; Khandge, R.S.; Selvarajan, E. A state of the art review on characterization of heavy metal binding metallothioneins proteins and their widespread applications. Sci. Total Environ. 2021, 775, 145829. [Google Scholar] [CrossRef]
  72. Yuvaraj, A.; Govarthanan, M.; Karmegam, N.; Biruntha, M.; Kumar, D.S.; Arthanari, M.; Govindarajan, R.K.; Tripathi, S.; Ghosh, S.; Kumar, P.; et al. Metallothionein dependent-detoxification of heavy metals in the agricultural field soil of industrial area: Earthworm as field experimental model system. Chemosphere 2021, 267, 129240. [Google Scholar] [CrossRef] [PubMed]
Figure 1. Area of two-dimensional digitized granulocyte images in control and treated animals during the dose–response of exposure experiments (see Section 2 Materials and Methods). (a) Representative granulocyte images from control (upper) earthworms and treated (lower) earthworms (100×, Bar 20 µm); (b) copper sulfate exposure; (c) chlorpyrifos exposure. Data are reported as mean ± SEM (n = 80). The statistical significance of data was determined by one-way ANOVA. The homogeneity of variance was tested by Cochran’s test. Dunnett’s multiple comparison tests were used for comparison of different concentrations of a single contaminant. * p < 0.05; ** p < 0.01.
Figure 1. Area of two-dimensional digitized granulocyte images in control and treated animals during the dose–response of exposure experiments (see Section 2 Materials and Methods). (a) Representative granulocyte images from control (upper) earthworms and treated (lower) earthworms (100×, Bar 20 µm); (b) copper sulfate exposure; (c) chlorpyrifos exposure. Data are reported as mean ± SEM (n = 80). The statistical significance of data was determined by one-way ANOVA. The homogeneity of variance was tested by Cochran’s test. Dunnett’s multiple comparison tests were used for comparison of different concentrations of a single contaminant. * p < 0.05; ** p < 0.01.
Environments 11 00276 g001
Figure 2. Cytoskeleton polymerization. (a) Representative images of granulocytes from control (top) earthworms and treated (bottom) earthworms stained with rhodamine phalloidin. Images show the increase in actin polymerization in treated granulocytes with round morphology, short and blunt filopodia. Arrows indicate polymerization mainly localized in the cell cortex (100×, bar 20 µm), N = nucleus. (b,c) Fluorescence intensity (pixels) per cell emitted by rhodamine phalloidin-labeled granulocytes from organisms exposed to copper (b), and chlorpyrifos (c). The measured fluorescence intensity is specific to the presence of F-actin in the cell. Data are expressed as mean ± SEM (n = 80). Statistical significance of data was determined by one-way ANOVA. Homogeneity of variance was tested by Cochran’s test. Dunnett’s multiple comparison tests was used to compare different concentration of a single contaminant. ** p < 0.01, *** p < 0.001.
Figure 2. Cytoskeleton polymerization. (a) Representative images of granulocytes from control (top) earthworms and treated (bottom) earthworms stained with rhodamine phalloidin. Images show the increase in actin polymerization in treated granulocytes with round morphology, short and blunt filopodia. Arrows indicate polymerization mainly localized in the cell cortex (100×, bar 20 µm), N = nucleus. (b,c) Fluorescence intensity (pixels) per cell emitted by rhodamine phalloidin-labeled granulocytes from organisms exposed to copper (b), and chlorpyrifos (c). The measured fluorescence intensity is specific to the presence of F-actin in the cell. Data are expressed as mean ± SEM (n = 80). Statistical significance of data was determined by one-way ANOVA. Homogeneity of variance was tested by Cochran’s test. Dunnett’s multiple comparison tests was used to compare different concentration of a single contaminant. ** p < 0.01, *** p < 0.001.
Environments 11 00276 g002
Figure 3. (a) Lysosomal membrane stability measured on granulocytes by the NRRA method in animals exposed to agrochemicals. Data are expressed as mean ± SEM. Statistical significance of data was determined by one-way ANOVA. Homogeneity of variance was tested by Cochran’s test. ** p < 0.01, * p < 0.05. (b) Frequency of micronuclei wasobserved in earthworm granulocytes. Data are expressed as frequency ‰. At least 1000 cells were identified for each condition examined. Statistical significance of the data (values greater than 5‰) was determined by one-way ANOVA followed by Cochran’s test. ** p < 0.01, * p < 0.05.
Figure 3. (a) Lysosomal membrane stability measured on granulocytes by the NRRA method in animals exposed to agrochemicals. Data are expressed as mean ± SEM. Statistical significance of data was determined by one-way ANOVA. Homogeneity of variance was tested by Cochran’s test. ** p < 0.01, * p < 0.05. (b) Frequency of micronuclei wasobserved in earthworm granulocytes. Data are expressed as frequency ‰. At least 1000 cells were identified for each condition examined. Statistical significance of the data (values greater than 5‰) was determined by one-way ANOVA followed by Cochran’s test. ** p < 0.01, * p < 0.05.
Environments 11 00276 g003
Figure 4. (a,b) Metallothionein concentration measured in organisms exposed to copper (a), and chlorpyrifos (b). (c,d) Acetylcholinesterase activity measured in organisms exposed to copper (c), and chlorpyrifos (d). Data are expressed as mean ± SEM (n = 10). Statistical significance of data was determined by one-way ANOVA. Homogeneity of variance was tested by Cochran’s test. Dunnett’s multiple comparison test was used to compare different concentrations of single contaminants. * p < 0.05; ** p < 0.01.
Figure 4. (a,b) Metallothionein concentration measured in organisms exposed to copper (a), and chlorpyrifos (b). (c,d) Acetylcholinesterase activity measured in organisms exposed to copper (c), and chlorpyrifos (d). Data are expressed as mean ± SEM (n = 10). Statistical significance of data was determined by one-way ANOVA. Homogeneity of variance was tested by Cochran’s test. Dunnett’s multiple comparison test was used to compare different concentrations of single contaminants. * p < 0.05; ** p < 0.01.
Environments 11 00276 g004
Table 1. Summary of ANCOVA estimation on transformed variables. For each metal and concentration, coefficient estimates with associated standard errors (SE) and p-values are reported, along with the adjusted R2 statistics. The adjustment takes into account the complexity (i.e., the number of explanatory variables) of the model. The information on correlations from ANCOVA and the corresponding Pearson correlation coefficient are conditional on the fulfilment of certain conditions (linearity, homoscedasticity, normality of the residuals) that were not met by the original data. The newly defined variables convey the same information as the original morphometric and cytoskeletal data, but they also allow the use of ANCOVA after performing the Ramsey RESET test for linearity, the Breusch–Pagan test for heteroscedasticity, and the Shapiro–Wilk test for normality. * p < 0.05, *** p < 0.001.
Table 1. Summary of ANCOVA estimation on transformed variables. For each metal and concentration, coefficient estimates with associated standard errors (SE) and p-values are reported, along with the adjusted R2 statistics. The adjustment takes into account the complexity (i.e., the number of explanatory variables) of the model. The information on correlations from ANCOVA and the corresponding Pearson correlation coefficient are conditional on the fulfilment of certain conditions (linearity, homoscedasticity, normality of the residuals) that were not met by the original data. The newly defined variables convey the same information as the original morphometric and cytoskeletal data, but they also allow the use of ANCOVA after performing the Ramsey RESET test for linearity, the Breusch–Pagan test for heteroscedasticity, and the Shapiro–Wilk test for normality. * p < 0.05, *** p < 0.001.
SubstanceVariableCoefficients
EstimateSEp-ValueAdjusted R2
Cu x ~ C u −0.02850.01430.050 *0.6884
0.01 µM0.36070.38190.187
0.1 µM1.41300.41500.178
1 µM2.78910.48110.112
10 µM3.38640.4898<10−6 ***
100 µM4.80890.5263<10−6 ***
1 mM6.48930.5683<10−6 ***
Chlorpyrifos x ~ C h l −0.01850.01360.1780.7122
0.01 µM0.33500.39390.397
0.1 µM0.34141.41300.821
1 µM1.41301.51845.47 × 10−3 ***
10 µM12.10241.5271<10−6 ***
100 µM15.52681.5841<10−6 ***
1 mM15.66221.5209<10−6 ***
Disclaimer/Publisher’s Note: The statements, opinions and data contained in all publications are solely those of the individual author(s) and contributor(s) and not of MDPI and/or the editor(s). MDPI and/or the editor(s) disclaim responsibility for any injury to people or property resulting from any ideas, methods, instructions or products referred to in the content.

Share and Cite

MDPI and ACS Style

Calisi, A.; Cappello, T.; Angelelli, M.; Maisano, M.; Rotondo, D.; Gualandris, D.; Semeraro, T.; Dondero, F. Non-Destructive Biomarkers in Non-Target Species Earthworm Lumbricus terrestris for Assessment of Different Agrochemicals. Environments 2024, 11, 276. https://doi.org/10.3390/environments11120276

AMA Style

Calisi A, Cappello T, Angelelli M, Maisano M, Rotondo D, Gualandris D, Semeraro T, Dondero F. Non-Destructive Biomarkers in Non-Target Species Earthworm Lumbricus terrestris for Assessment of Different Agrochemicals. Environments. 2024; 11(12):276. https://doi.org/10.3390/environments11120276

Chicago/Turabian Style

Calisi, Antonio, Tiziana Cappello, Mario Angelelli, Maria Maisano, Davide Rotondo, Davide Gualandris, Teodoro Semeraro, and Francesco Dondero. 2024. "Non-Destructive Biomarkers in Non-Target Species Earthworm Lumbricus terrestris for Assessment of Different Agrochemicals" Environments 11, no. 12: 276. https://doi.org/10.3390/environments11120276

APA Style

Calisi, A., Cappello, T., Angelelli, M., Maisano, M., Rotondo, D., Gualandris, D., Semeraro, T., & Dondero, F. (2024). Non-Destructive Biomarkers in Non-Target Species Earthworm Lumbricus terrestris for Assessment of Different Agrochemicals. Environments, 11(12), 276. https://doi.org/10.3390/environments11120276

Note that from the first issue of 2016, this journal uses article numbers instead of page numbers. See further details here.

Article Metrics

Back to TopTop