Effects of Wood Distillate (Pyroligneous Acid) on the Yield Parameters and Mineral Composition of Three Leguminous Crops
Abstract
1. Introduction
2. Materials and Methods
2.1. Plant Material, Growth Conditions and Yield Parameters
2.2. Protein Quantification
2.3. Mineral Determination in the Seeds and in WD
2.4. Statistical Analysis
3. Results
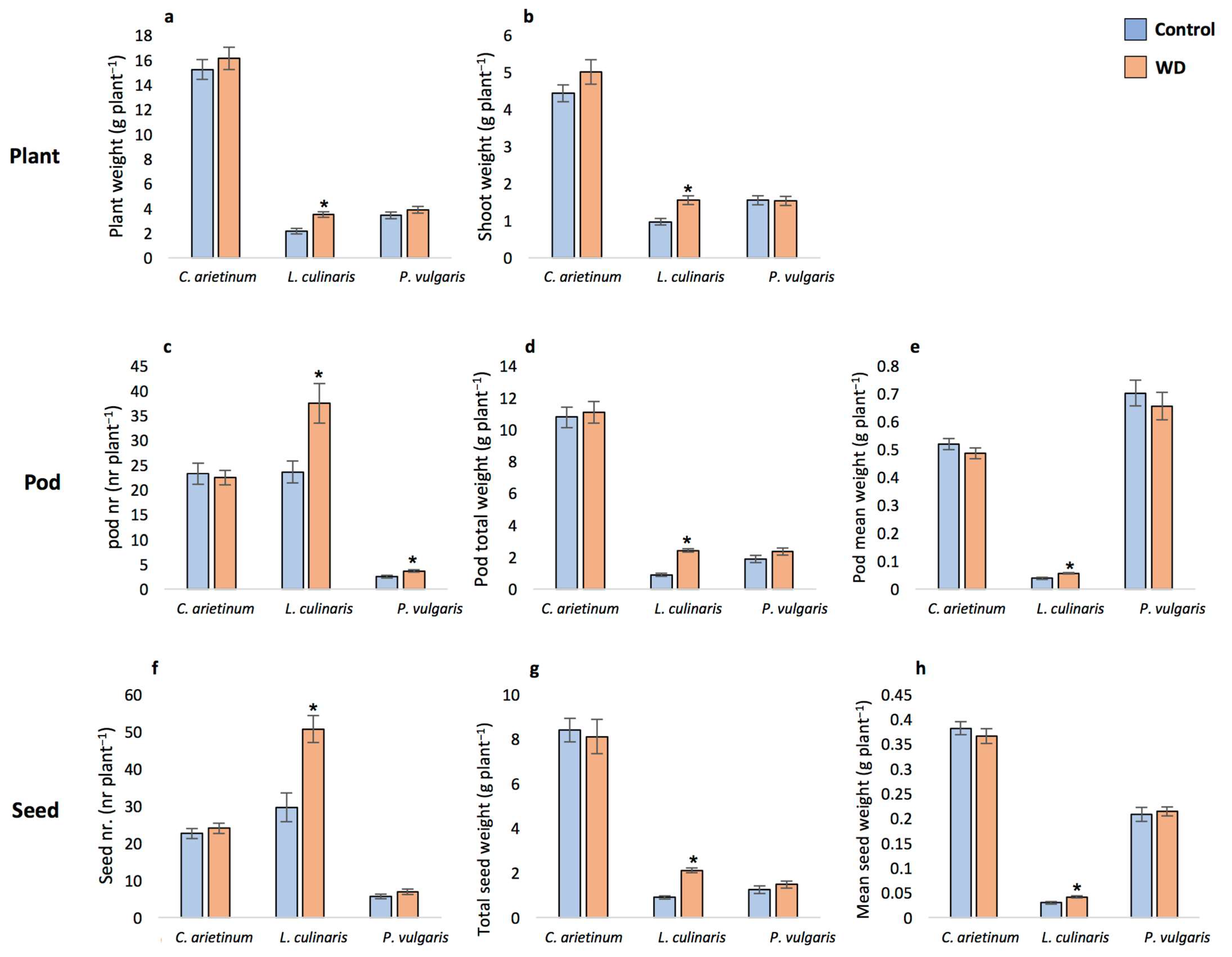
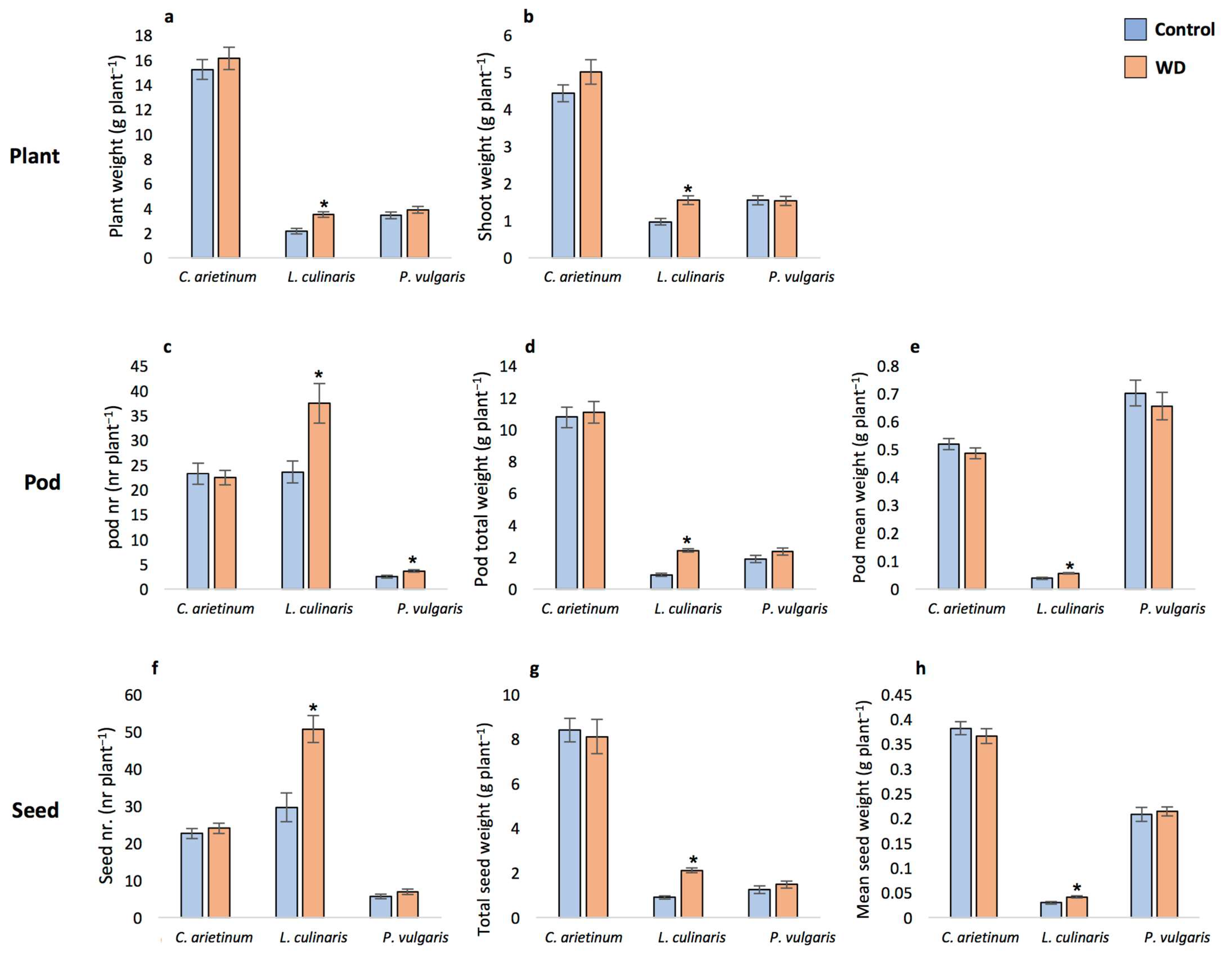
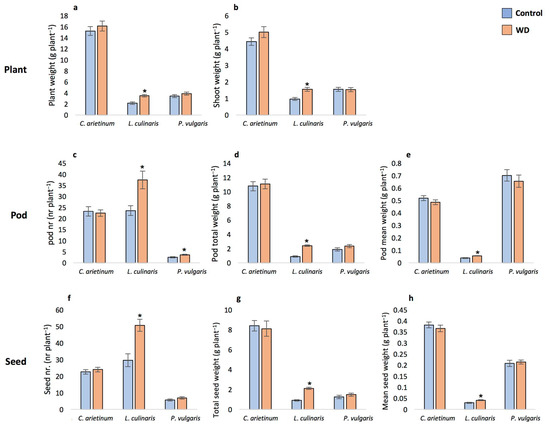
3.1. Yield Parameters
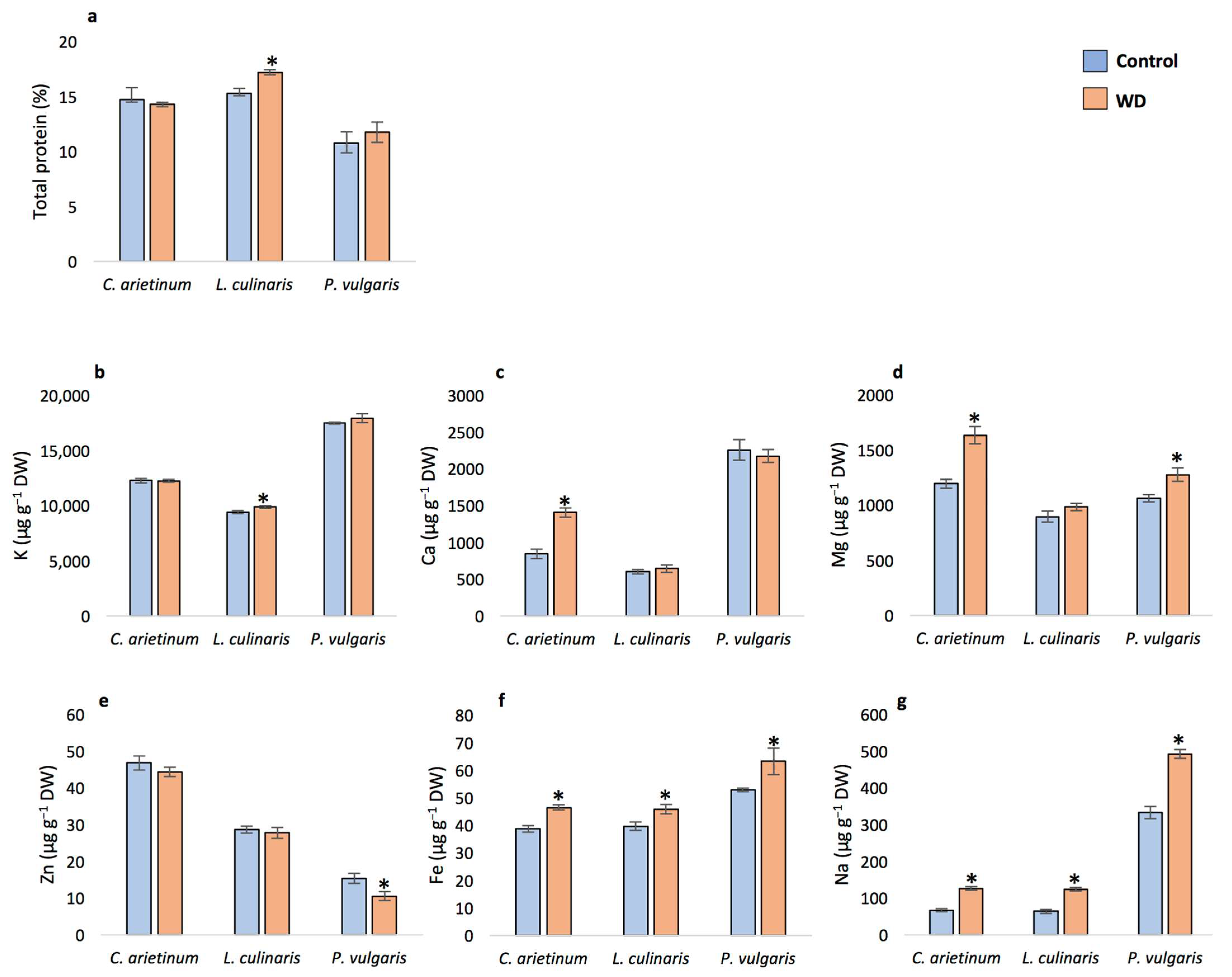
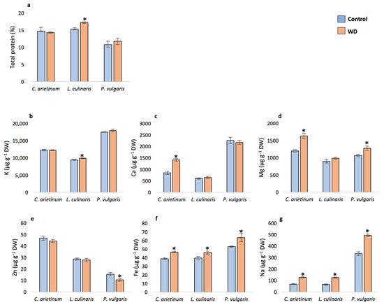
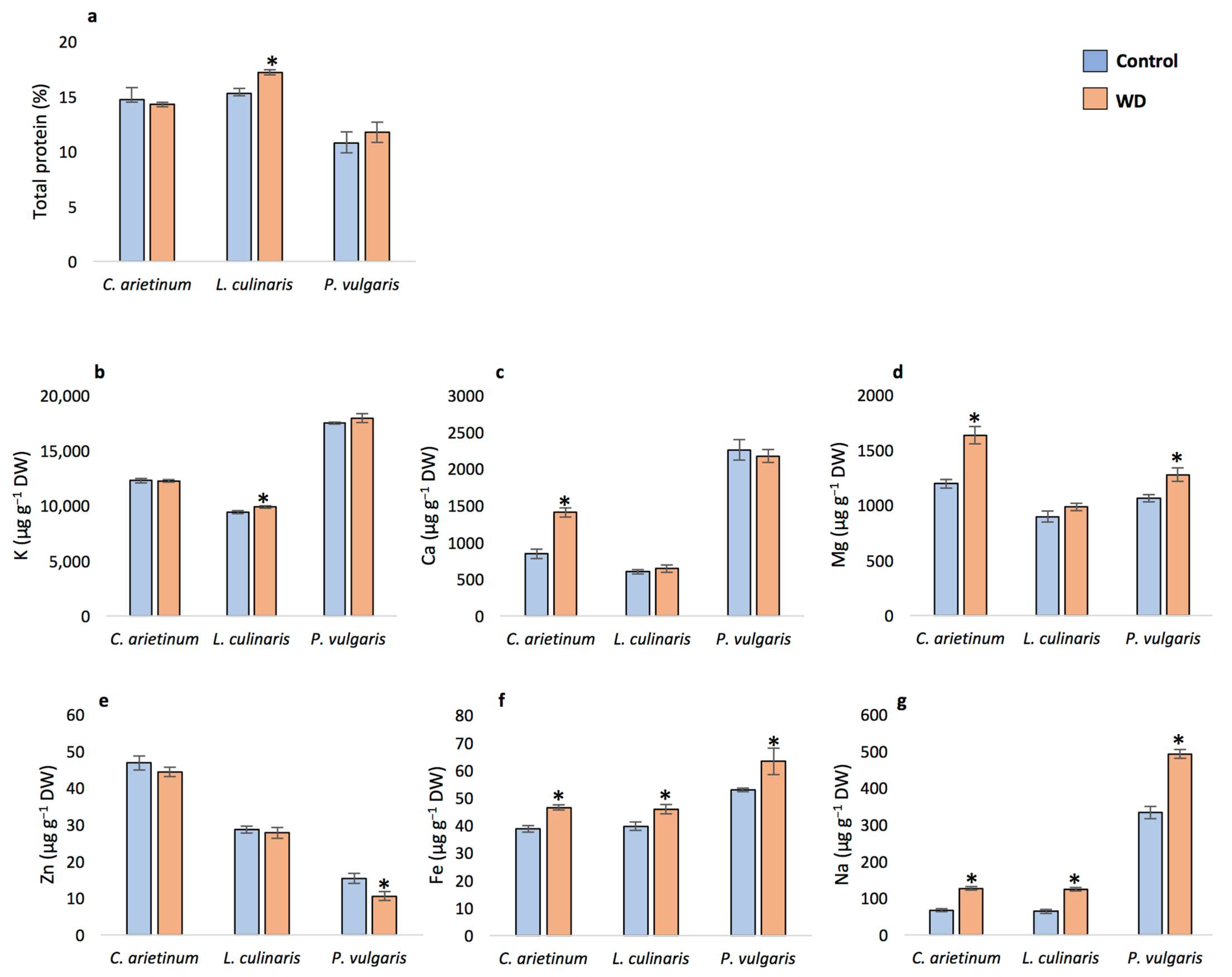
3.2. Total Proteins and Mineral Composition
4. Discussion
5. Conclusions
Author Contributions
Funding
Data Availability Statement
Acknowledgments
Conflicts of Interest
References
- World Health Organization. The State of Food Security and Nutrition in the World 2020: Transforming Food Systems for Affordable Healthy Diets; Food and Agriculture Organization of the United Nations: Rome, Italy, 2020; Volume 2020. [Google Scholar]
- FAO Statistical Yearbook 2022. 2022. Available online: http://www.fao.org (accessed on 15 January 2023).
- Grewal, A.; Abbey, L.; Gunupuru, L.R. Production, prospects and potential application of pyroligneous acid in agriculture. J. Anal. Appl. Pyrolysis 2018, 135, 152–159. [Google Scholar] [CrossRef]
- Italian Ministerial Decree 6793. 18 July 2018. Available online: https://www.gazzettaufficiale.it/eli/id/2018/09/05/18A05693/sg (accessed on 20 June 2022).
- Mathew, S.; Zakaria, Z.A. Pyroligneous acid—The smoky acidic liquid from plant biomass. Appl. Microbiol. Biotechnol. 2015, 99, 611–622. [Google Scholar] [CrossRef] [PubMed]
- Terzopoulou, P.; Kamperidou, V. Chemical characterization of Wood and Bark biomass of the invasive species of Tree-of-heaven (Ailanthus altissima (Mill.) Swingle), focusing on its chemical composition horizontal variability assessment. Wood Mater. Sci. Eng. 2022, 17, 469–477. [Google Scholar] [CrossRef]
- Agoncillo, E.S.; Alcate, V.; Philippines, O.M. Vegetable Seed Germination Enhancement Using Different Levels of Pyroligneous Acid (PA). Glob. J. Biol. Agric. 2018, 2, 14–18. [Google Scholar]
- Vannini, A.; Moratelli, F.; Monaci, F.; Loppi, S. Effects of wood distillate and soy lecithin on the photosynthetic performance and growth of lettuce (Lactuca sativa L.). SN Appl. Sci. 2021, 3, 113. [Google Scholar] [CrossRef]
- Vannini, A.; Fedeli, R.; Guarnieri, M.; Loppi, S. Foliar application of wood distillate alleviates ozone-induced damage in lettuce (Lactuca sativa L.). Toxics 2022, 10, 178. [Google Scholar] [CrossRef]
- Fedeli, R.; Vannini, A.; Guarnieri, M.; Monaci, F.; Loppi, S. Bio-baseds solutions for agriculture: Foliar application of wood distillate alone and in combination with other plant-derived corroborants results in different effects on lettuce (Lactuca sativa L.). Biology 2022, 11, 404. [Google Scholar] [CrossRef]
- Becagli, M.; Santin, M.; Cardelli, R. Co-application of wood distillate and biochar improves soil quality and plant growth in basil (Ocimum basilicum). J. Plant Nutr. Soil Sci. 2022, 185, 120–131. [Google Scholar] [CrossRef]
- Ofoe, R.; Qin, D.; Gunupuru, L.R.; Thomas, R.H.; Abbey, L. Effect of pyroligneous acid on the productivity and nutritional quality of greenhouse tomato. Plants 2022, 11, 1650. [Google Scholar] [CrossRef]
- Zulkarami, B.; Ashrafuzzaman, M.; Husni, M.O.; Ismail, M.R. Effect of pyroligneous acid on growth, yield and quality improvement of rockmelon in soilless culture. Aust. J. Crop Sci. 2011, 5, 1508–1514. [Google Scholar]
- Simma, B.; Polthanee, A.; Goggi, A.S.; Siri, B.; Promkhambut, A.; Caragea, P.C. Wood vinegar seed priming improves yield and suppresses weeds in dryland direct-seeding rice under rainfed production. Agron. Sustain. Dev. 2017, 37, 1–9. [Google Scholar] [CrossRef]
- Fedeli, R.; Vannini, A.; Celletti, S.; Maresca, V.; Munzi, S.; Cruz, C.; Alexandrov, D.; Guarnieri, M.; Loppi, S. Foliar application of wood distillate boosts plant yield and nutritional parameters of chickpea. Ann. Appl. Biol. 2023, 182, 57–64. [Google Scholar] [CrossRef]
- Del Borghi, A.; Strazza, C.; Magrassi, F.; Taramasso, A.C.; Gallo, M. Life Cycle Assessment for eco-design of product–package systems in the food industry—The case of legumes. Sustain. Prod. Consum. 2018, 13, 24–36. [Google Scholar] [CrossRef]
- Venter, C.S.; Van, E.E. More legumes for better overall health. S. Afr. J. Clin. Nutr. 2001, 172, 280. [Google Scholar]
- Śmiglak-Krajewska, M.; Wojciechowska-Solis, J. Consumption preferences of pulses in the diet of polish people: Motives and barriers to replace animal protein with vegetable protein. Nutrients 2021, 13, 454. [Google Scholar] [CrossRef]
- Considine, M.J.; Siddique, K.H.; Foyer, C.H. Nature’s pulse power: Legumes, food security and climate change. J. Exp. Bot. 2017, 68, 1815–1818. [Google Scholar] [CrossRef]
- Calles, T. The international year of pulses: What are they and why are they important. Agric. Dev. 2016, 26, 40–42. [Google Scholar]
- Suter, M.; Connolly, J.; Finn, J.A.; Loges, R.; Kirwan, L.; Sebastià, M.T.; Lüscher, A. Nitrogen yield advantage from grass–legume mixtures is robust over a wide range of legume proportions and environmental conditions. Glob. Chang. Biol. 2015, 21, 2424–2438. [Google Scholar] [CrossRef]
- Van Loon, M.P.; Deng, N.; Grassini, P.; Edreira, J.I.R.; Wolde-Meskel, E.; Baijukya, F.; Marou, H.; van Ittersum, M.K. Prospect for increasing grain legume crop production in East Africa. Eur. J. Agron. 2018, 101, 140–148. [Google Scholar] [CrossRef]
- Sidhu, J.S.; Zafar, T.; Benyathiar, P.; Nasir, M. Production, processing, and nutritional profile of chickpeas and lentils. In Dry Beans and Pulses: Production, Processing, and Nutrition; John Wiley & Sons Ltd.: Hoboken, NJ, USA, 2022; pp. 383–407. [Google Scholar] [CrossRef]
- Shrestha, S.; van’t Hag, L.; Haritos, V.S.; Dhital, S. Lentil and Mungbean protein isolates: Processing, functional properties, and potential food applications. Food Hydrocoll. 2022, 135, 108142. [Google Scholar] [CrossRef]
- Branlard, G.; Bancel, E. Protein extraction from cereal seeds. In Plant Proteomics: Methods and Protocols; Humana Press Inc.: Totowa, NJ, USA, 2007; pp. 15–25. [Google Scholar] [CrossRef]
- Bradford, M.M. A rapid and sensitive method for the quantitation of microgram quantities of protein utilizing the principle of protein-dye binding. Anal. Biochem. 1976, 72, 248–254. [Google Scholar] [CrossRef] [PubMed]
- Bettarini, I.; Colzi, I.; Coppi, A.; Falsini, S.; Echevarria, G.; Pazzagli, L.; Selvi, F.; Gonnelli, C. Unravelling soil and plant metal relationships in Albanian nickel hyperaccumulators in the genus Odontarrhena (syn. Alyssum sect. Odontarrhena, Brassicaceae). Plant Soil 2019, 440, 135–149. [Google Scholar] [CrossRef]
- Bianchi, E.; Coppi, A.; Nucci, S.; Antal, A.; Berardi, C.; Coppini, E.; Fibbi, D.; Del Bubba, M.; Gonnelli, C.; Colzi, I. Closing the loop in a constructed wetland for the improvement of metal removal: The use of Phragmites australis biomass harvested from the system as biosorbent. ESPR 2021, 28, 11444–11453. [Google Scholar] [CrossRef] [PubMed]
- Pangnakorn, U.; Watanasorn, S.; Kuntha, C.; Chuenchooklin, S. Application of wood vinegar to fermented liquid bio-fertilizer for organic agriculture on soybean. Asian J. Food Agro-Ind. 2009, 2, S189–S196. [Google Scholar]
- Rogelio, R.M. Alternative growth ehancers for rice production: Usefulness of wood vinegar (PA) in irrigated rice (PSB rc18). J. Biol. Agric. Healthc. 2018, 8, 82–98. [Google Scholar]
- Mu, J.; Yu, Z.M.; Wu, W.Q.; Wu, Q.L. Preliminary study of application effect of bamboo vinegar on vegetable growth. For. Ecosyst. 2006, 8, 43–47. [Google Scholar] [CrossRef]
- Zhu, K.; Gu, S.; Liu, J.; Luo, T.; Khan, Z.; Zhang, K.; Hu, L. Wood vinegar as a complex growth regulator promotes the growth, yield, and quality of rapeseed. Agronomy 2021, 11, 510. [Google Scholar] [CrossRef]
- Mao, K.; Li, S.; Li, B.; Wu, W.; Wei, C.; Yuan, S.; Niu, Y.; Du, H.; Zhang, L. Effect of wood vinegar on growth, yield and quality of upper leaves of flue-cured tobacco of Nanzheng. Southwest China J. Agric. Sci. 2019, 32, 645–652. [Google Scholar]
- Mungkunkamchao, T.; Kesmala, T.; Pimratch, S.; Toomsan, B.; Jothityangkoon, D. Wood vinegar and fermented bioextracts: Natural products to enhance growth and yield of tomato (Solanum lycopersicum L.). Sci. Hortic. 2013, 154, 66–72. [Google Scholar] [CrossRef]
- Guzmán-Maldonado, S.H.; Acosta-Gallegos, J.; Paredes-López, O. Protein and mineral content of a novel collection of wild and weedy common bean (Phaseolus vulgaris L). J. Sci. Food Agric. 2000, 80, 1874–1881. [Google Scholar] [CrossRef]
- Venn, B.J.; Mann, J.I. Cereal grains, legumes and diabetes. Eur. J. Clin. Nutr. 2004, 58, 1443–1461. [Google Scholar] [CrossRef]
- Rebello, C.J.; Greenway, F.L.; Finley, J.W. A review of the nutritional value of legumes and their effects on obesity and its related co-morbidities. Obes. Rev. 2014, 15, 392–407. [Google Scholar] [CrossRef]
- Petropoulos, S.A.; Fernandes, Â.; Plexida, S.; Chrysargyris, A.; Tzortzakis, N.; Barreira, J.C.; Barros, L.; Ferreira, I.C. Biostimulants application alleviates water stress effects on yield and chemical composition of greenhouse green bean (Phaseolus vulgaris L.). Agronomy 2020, 10, 181. [Google Scholar] [CrossRef]
- Gelin, J.R.; Forster, S.; Grafton, K.F.; McClean, P.E.; Rojas-Cifuentes, G.A. Analysis of seed zinc and other minerals in a recombinant inbred population of navy bean (Phaseolus vugaris L.). Crop Sci. 2007, 47, 1361–1366. [Google Scholar] [CrossRef]
- Ray, H.; Bett, K.; Tar’an, B.; Vandenberg, A.; Thavarajah, D.; Warkentin, T. Mineral micronutrient content of cultivars of field pea, chickpea, common bean, and lentil grown in Saskatchewan, Canada. Crop Sci. 2014, 54, 1698–1708. [Google Scholar] [CrossRef]
- Ereifej, K.I.; Al-Karaki, G.N.; Hammouri, M.K. Seed chemical composition of improved chickpea cultivars grown under semiarid Mediterranean conditions. Int. J. Food Prop. 2001, 4, 239–246. [Google Scholar] [CrossRef]
- Daur, I.; Khan, I.A.; Jahangir, M. Nutritional quality of roasted and pressure-cooked chickpea compared to raw (Cicer arietinum L.) seeds. Sarhad J. Agric. 2008, 24, 117. [Google Scholar]
- Zia-Ul-Haq, M.; Ahmad, S.; Shad, M.A.; Iqbal, S.; Qayum, M.; Ahmad, A.; Luthria, D.L.; Amarowicz, R. Compositional studies of lentil (Lens culinaris Medik.) cultivars commonly grown in Pakistan. Pak. J. Bot. 2011, 43, 1563–1567. [Google Scholar]
- Sahi, S.T.; Ghazanfar, M.U.; Afzal, M.; Wakil, W.; Habib, A. Influence of inoculation with Ascochyta lentis on mineral contents (Na, Ca, Mg, Zn, Cu and Fe) of susceptible and resistant lines of lentil (Lens culinaris Medik.). Pak. J. Bot. 2010, 42, 375–382. [Google Scholar]
- Paredes, M.; Becerra, V.; Tay, J. Inorganic nutritional composition of common bean (Phaseolus vulgaris L.) genotypes race Chile. Chil. J. Agric. Res. 2009, 69, 486–495. [Google Scholar] [CrossRef]
- Brouwer, C.; Goffeau, A.; Heibloem, M. Chapter 7: Salty soils. In Irrigation Water Management: Training Manual No. 1-Introduction to Irrigation; FAO—Food and Agriculture Organization of the United Nations: Rome, Italy, 1985. [Google Scholar]
- Ofoe, R.; Gunupuru, L.R.; Wang-Pruski, G.; Fofana, B.; Thomas, R.H.; Abbey, L. Seed priming with pyroligneous acid mitigates aluminum stress, and promotes tomato seed germination and seedling growth. Plant Stress 2022, 4, 100083. [Google Scholar] [CrossRef]
- Canellas, L.P.; Teixeira Junior, L.R.L.; Dobbss, L.B.; Silva, C.A.; Medici, L.O.; Zandonadi, D.B.; Façanha, A.R. Humic acids crossinteractions with root and organic acids. Ann. Appl. Biol. 2008, 153, 157–166. [Google Scholar] [CrossRef]


Disclaimer/Publisher’s Note: The statements, opinions and data contained in all publications are solely those of the individual author(s) and contributor(s) and not of MDPI and/or the editor(s). MDPI and/or the editor(s) disclaim responsibility for any injury to people or property resulting from any ideas, methods, instructions or products referred to in the content. |
© 2023 by the authors. Licensee MDPI, Basel, Switzerland. This article is an open access article distributed under the terms and conditions of the Creative Commons Attribution (CC BY) license (https://creativecommons.org/licenses/by/4.0/).
Share and Cite
Carril, P.; Bianchi, E.; Cicchi, C.; Coppi, A.; Dainelli, M.; Gonnelli, C.; Loppi, S.; Pazzagli, L.; Colzi, I. Effects of Wood Distillate (Pyroligneous Acid) on the Yield Parameters and Mineral Composition of Three Leguminous Crops. Environments 2023, 10, 126. https://doi.org/10.3390/environments10070126
Carril P, Bianchi E, Cicchi C, Coppi A, Dainelli M, Gonnelli C, Loppi S, Pazzagli L, Colzi I. Effects of Wood Distillate (Pyroligneous Acid) on the Yield Parameters and Mineral Composition of Three Leguminous Crops. Environments. 2023; 10(7):126. https://doi.org/10.3390/environments10070126
Chicago/Turabian StyleCarril, Pablo, Elisabetta Bianchi, Costanza Cicchi, Andrea Coppi, Marco Dainelli, Cristina Gonnelli, Stefano Loppi, Luigia Pazzagli, and Ilaria Colzi. 2023. "Effects of Wood Distillate (Pyroligneous Acid) on the Yield Parameters and Mineral Composition of Three Leguminous Crops" Environments 10, no. 7: 126. https://doi.org/10.3390/environments10070126
APA StyleCarril, P., Bianchi, E., Cicchi, C., Coppi, A., Dainelli, M., Gonnelli, C., Loppi, S., Pazzagli, L., & Colzi, I. (2023). Effects of Wood Distillate (Pyroligneous Acid) on the Yield Parameters and Mineral Composition of Three Leguminous Crops. Environments, 10(7), 126. https://doi.org/10.3390/environments10070126

