Bimanual Movement Characteristics and Real-World Performance Following Hand–Arm Bimanual Intensive Therapy in Children with Unilateral Cerebral Palsy
Abstract
1. Introduction
2. Materials and Methods
2.1. Study Design and Setting
2.2. Participants
2.3. Procedures
2.3.1. Hand–Arm Bimanual Intensive Therapy (HABIT) Protocol
2.3.2. Accelerometry Methodology
2.4. Outcome Measures
2.4.1. Bimanual Movement Intensity Characteristics and Performance Measures
Accelerometer-derived metrics [16,29]: Activity and Participation Domains of ICF-CY
- (1)
- The use ratio reflects the contribution of the affected UE relative to the less affected UE and is calculated as the ratio of the active duration of the affected arm to that of the less affected arm. The UR value ranges between 0 and 1. A value close to or equal to 1 indicates symmetrical use of the extremities, whereas a value closer to zero indicates less affected UE use.
- (2)
- The magnitude ratio is the ratio of acceleration magnitude (range of movement) of both UEs and is calculated by dividing the acceleration magnitude of the affected and the less affected UE. The value of MR ranges from −7 to +7. A value closer to 0 indicates equal contributions from both UEs; positive values indicate greater movement magnitude of the affected UE, and negative values indicate greater movement magnitude of the less affected UE.
- (3)
- Bilateral magnitude reflects the magnitude of accelerations across both UEs and is calculated by summing the smoothed vector magnitudes of both UEs for each second of activity. Zero indicates no activity, and an increasing value indicates greater magnitudes of bilateral UE activity.
- (4)
- Median acceleration and acceleration variability are variables that reflect movement characteristics considering only the affected UE. The median acceleration represents the acceleration of the affected UE magnitude over the entire wear time.
- (5)
- (6)
- Affected extremity activity counts quantify the number of affected extremity accelerations (activity counts) during therapy.
2.4.2. Capacity Measures
Standardized Clinical Assessments—Body Function and Activity Domains of ICF-CY
2.5. Statistical Analysis
3. Results
3.1. Characteristics of Bimanual Movement Intensity during HABIT
- (1)
- Magnitude ratio (MR): The average MR across five days of HABIT was −0.56 ± 0.26 (range: −0.97 to 0.05, Figure 3b). There was no significant main effect of time (F (4,96) = 1.688, p = 0.159) for MR.
- (2)
- Bilateral Magnitude (BM): The average BM across five days of HABIT was 167.25 ± 39.83 (range: 101.98–267.51, Figure 3c). There was no significant main effect of time (F (4,96) = 1.923, p = 0.113) for BM.
- (3)
- Median acceleration (MA): The average MA across five days of HABIT was 56.99 ± 21.21 (range: 28.49–115.07, Figure 3d). There was no significant main effect of time (F (4,96) = 2.004, p = 0.1) for MA.
- (4)
- Acceleration variability (AV): The average AV across five days of HABIT was 110.27 ± 18.63 (range: 69.07–143.05, Figure 3e). There was a significant main effect of time (F (4,96) = 3.666, p = 0.008). Table 3 shows significant post hoc analysis results using Bonferroni multiple comparisons for acceleration variability across five days of HABIT.
- (5)
- Affected extremity activity counts (AAC): The average daily number of affected UE accelerations during 6 h across five days of HABIT were (mean ± SD) 15,399 ± 2477 (range: 9863–20,057 counts) (Figure 3f). The total affected UE accelerations reflecting UE use (sum of the means of daily affected UE accelerations) during 30 h of HABIT was 76,997 movements. There was a significant main effect of time (F (4,96) = 2.633, p = 0.03) for the AAC. Table 3 shows significant post hoc analysis results using Bonferroni multiple comparisons for AAC across five days of HABIT.
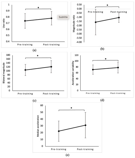
3.2. Pre- and Post-HABIT Change in Upper Extremity Performance Measures: Activity and Participation
3.3. Pre- and Post-HABIT Change in Capacity Measures of the Affected Upper Extremity: Body Function and Activity
4. Discussion
5. Conclusions
Supplementary Materials
Author Contributions
Funding
Institutional Review Board Statement
Informed Consent Statement
Data Availability Statement
Acknowledgments
Conflicts of Interest
References
- Stavsky, M.; Mor, O.; Mastrolia, S.A.; Greenbaum, S.; Than, N.G.; Erez, O. Cerebral Palsy-Trends in Epidemiology and Recent Development in Prenatal Mechanisms of Disease, Treatment, and Prevention. Front. Pediatr. 2017, 5, 21. [Google Scholar] [CrossRef]
- Hung, Y.-C.; Charles, J.; Gordon, A.M. Bimanual Coordination during a Goal-Directed Task in Children with Hemiplegic Cerebral Palsy. Dev. Med. Child Neurol. 2004, 46, 46–53. [Google Scholar] [CrossRef] [PubMed]
- Novak, I.; Mcintyre, S.; Morgan, C.; Campbell, L.; Dark, L.; Morton, N.; Stumbles, E.; Wilson, S.-A.; Goldsmith, S. A Systematic Review of Interventions for Children with Cerebral Palsy: State of the Evidence. Dev. Med. Child Neurol. 2013, 55, 885–910. [Google Scholar] [CrossRef] [PubMed]
- Sakzewski, L.; Provan, K.; Ziviani, J.; Boyd, R.N. Comparison of Dosage of Intensive Upper Limb Therapy for Children with Unilateral Cerebral Palsy: How Big Should the Therapy Pill Be? Res. Dev. Disabil. 2015, 37, 9–16. [Google Scholar] [CrossRef]
- Brandão, M.B.; Mancini, M.C.; Ferre, C.L.; Figueiredo, P.R.P.; Oliveira, R.H.S.; Gonçalves, S.C.; Dias, M.C.S.; Gordon, A.M. Does Dosage Matter? A Pilot Study of Hand-Arm Bimanual Intensive Training (HABIT) Dose and Dosing Schedule in Children with Unilateral Cerebral Palsy. Phys. Occup. Ther. Pediatr. 2018, 38, 227–242. [Google Scholar] [CrossRef]
- Gordon, A.M.; Hung, Y.C.; Brandao, M.; Ferre, C.L.; Kuo, H.C.; Friel, K.; Petra, E.; Chinnan, A.; Charles, J.R. Bimanual Training and Constraint-Induced Movement Therapy in Children with Hemiplegic Cerebral Palsy: A Randomized Trial. Neurorehabil. Neural. Repair. 2011, 25, 692–702. [Google Scholar] [CrossRef]
- Surkar, S.M.; Hoffman, R.M.; Willett, S.; Flegle, J.; Harbourne, R.; Kurz, M.J. Hand-Arm Bimanual Intensive Therapy Improves Prefrontal Cortex Activation in Children with Hemiplegic Cerebral Palsy. Pediatr. Phys. Ther. 2018, 30, 93–100. [Google Scholar] [CrossRef]
- Gordon, A.M. To Constrain or Not to Constrain, and Other Stories of Intensive Upper Extremity Training for Children with Unilateral Cerebral Palsy. Dev. Med. Child Neurol. 2011, 53, 56–61. [Google Scholar] [CrossRef]
- Lang, C.E.; Macdonald, J.R.; Reisman, D.S.; Boyd, L.; Jacobson Kimberley, T.; Schindler-Ivens, S.M.; Hornby, T.G.; Ross, S.A.; Scheets, P.L. Observation of Amounts of Movement Practice Provided during Stroke Rehabilitation. Arch. Phys. Med. Rehabil. 2009, 90, 1692–1698. [Google Scholar] [CrossRef]
- Urbin, M.A.; Bailey, R.R.; Lang, C.E. Validity of Body-Worn Sensor Acceleration Metrics to Index Upper Extremity Function in Hemiparetic Stroke. J. Neurol. Phys. Ther. 2015, 39, 111–118. [Google Scholar] [CrossRef]
- Uswatte, G.; Giuliani, C.; Winstein, C.; Zeringue, A.; Hobbs, L.; Wolf, S.L. Validity of Accelerometry for Monitoring Real-World Arm Activity in Patients With Subacute Stroke: Evidence From the Extremity Constraint-Induced Therapy Evaluation Trial. Arch. Phys. Med. Rehabil. 2006, 87, 1340–1345. [Google Scholar] [CrossRef]
- Uswatte, G.; Foo, W.L.; Olmstead, H.; Lopez, K.; Holand, A.; Simms, L.B. Ambulatory Monitoring of Arm Movement Using Accelerometry: An Objective Measure of Upper-Extremity Rehabilitation in Persons With Chronic Stroke. Arch. Phys. Med. Rehabil. 2005, 86, 1498–1501. [Google Scholar] [CrossRef]
- Kwakkel, G.; Van Wegen, E.; Burridge, J.H.; Winstein, C.J.; van Dokkum, L.; Alt Murphy, M.; Levin, M.F.; Krakauer, J.W. Standardized Measurement of Quality of Upper Limb Movement after Stroke: Consensus-Based Core Recommendations from the Second Stroke Recovery and Rehabilitation Roundtable. Int. J. Stroke 2019, 14, 783–791. [Google Scholar] [CrossRef] [PubMed]
- Lang, C.E.; MacDonald, J.R.; Gnip, C. Counting Repetitions: An Observational Study of Outpatient Therapy for People with Hemiparesis Post-Stroke. J. Neurol. Phys. Ther. 2007, 31, 3–10. [Google Scholar] [CrossRef] [PubMed]
- International Classification of Functioning, Disability and Health: Children and Youth Version: ICF-CY; World Health Organization: Geneva, Switzerland, 2007; Available online: https://apps.who.int/iris/handle/10665/43737 (accessed on 10 May 2023).
- Waddell, K.J.; Strube, M.J.; Bailey, R.R.; Klaesner, J.W.; Birkenmeier, R.L.; Dromerick, A.W.; Lang, C.E. Does Task-Specific Training Improve Upper Limb Performance in Daily Life Poststroke? Neurorehabil. Neural. Repair 2017, 31, 290–300. [Google Scholar] [CrossRef] [PubMed]
- Holsbeeke, L.; Ketelaar, M.; Schoemaker, M.M.; Gorter, J.W. Capacity, Capability, and Performance: Different Constructs or Three of a Kind? Arch. Phys. Med. Rehabil. 2009, 90, 849–855. [Google Scholar] [CrossRef] [PubMed]
- Ouyang, R.G.; Yang, C.N.; Qu, Y.L.; Koduri, M.P.; Chien, C.W. Effectiveness of Hand-Arm Bimanual Intensive Training on Upper Extremity Function in Children with Cerebral Palsy: A Systematic Review. Eur. J. Paediatr. 2020, 25, 17–28. [Google Scholar] [CrossRef]
- Adams, S.A. The Effect of Social Desirability and Social Approval on Self-Reports of Physical Activity. Am. J. Epidemiol. 2005, 161, 389–398. [Google Scholar] [CrossRef]
- Elad, D.; Barak, S.; Eisenstein, E.; Bar, O.; Givon, U.; Brezner, A. Discrepancies between Mothers and Clinicians in Assessing Functional Capabilities and Performance of Children with Cerebral Palsy. Res. Dev. Disabil. 2013, 34, 3746–3753. [Google Scholar] [CrossRef]
- Goodwin, B.M.; Sabelhaus, E.K.; Pan, Y.C.; Bjornson, K.F.; Pham, K.L.D.; Walker, W.O.; Steele, K.M. Accelerometer Measurements Indicate That Arm Movements of Children with Cerebral Palsy Do Not Increase after Constraint-Induced Movement Therapy (CIMT). Am. J. Occup. Ther. 2020, 74, p1–p7405205100. [Google Scholar] [CrossRef]
- Mitchell, L.E.; Ziviani, J.; Boyd, R.N. A Randomized Controlled Trial of Web-Based Training to Increase Activity in Children with Cerebral Palsy. Dev. Med. Child Neurol. 2016, 58, 767–773. [Google Scholar] [CrossRef]
- Doman, C.A.; Waddell, K.J.; Bailey, R.R.; Moore, J.L.; Lang, C.E. Changes in Upper-Extremity Functional Capacity and Daily Performance During Outpatient Occupational Therapy for People with Stroke. Am. J. Occup. Ther. 2016, 70, p1–p7003290040. [Google Scholar] [CrossRef] [PubMed]
- Waddell, K. Exploring the Complexities of Real-World Upper Limb Performance after Stroke. 2019. Available online: https://openscholarship.wustl.edu/art_sci_etds/1800 (accessed on 11 January 2023).
- Bailey, R.R.; Klaesner, J.W.; Lang, C.E. Quantifying Real-World Upper-Limb Activity in Nondisabled Adults and Adults with Chronic Stroke. Neurorehabil. Neural. Repair 2015, 29, 969–978. [Google Scholar] [CrossRef] [PubMed]
- Hoyt, C.R.; Brown, S.K.; Sherman, S.K.; Wood-Smith, M.; Van, A.N.; Ortega, M.; Nguyen, A.L.; Lang, C.E.; Schlaggar, B.L.; Dosenbach, N.U.F. Using Accelerometry for Measurement of Motor Behavior in Children: Relationship of Real-World Movement to Standardized Evaluation. Res. Dev. Disabil. 2020, 96, 103546. [Google Scholar] [CrossRef] [PubMed]
- Coker-Bolt, P.; Downey, R.J.; Connolly, J.; Hoover, R.; Shelton, D.; Seo, N.J. Exploring the Feasibility and Use of Accelerometers before, during, and after a Camp-Based CIMT Program for Children with Cerebral Palsy. J. Pediatr. Rehabil. Med. 2017, 10, 27–36. [Google Scholar] [CrossRef]
- National Institute of Allergy and Infectious Diseases (NIAID). For Ancillary Studies, Consider NIH Definitions Carefully. Available online: https://www.niaid.nih.gov/grants-contracts/ancillary-studies-definitions (accessed on 23 May 2023).
- Lang, C.E.; Waddell, K.J.; Klaesner, J.W.; Bland, M.D. A Method for Quantifying Upper Limb Performance in Daily Life Using Accelerometers. J. Vis. Exp. 2017, 122, 55673. [Google Scholar]
- Mitchell, L.E.; Ziviani, J.; Boyd, R.N. Variability in Measuring Physical Activity in Children with Cerebral Palsy. Med. Sci. Sport. Exerc. 2015, 47, 194–200. [Google Scholar] [CrossRef] [PubMed]
- Krumlinde-Sundholm, L.; Holmefur, M.; Kottorp, A.; Eliasson, A.-C. The Assisting Hand Assessment: Current Evidence of Validity, Reliability, and Responsiveness to Change. Dev. Med. Child Neurol. 2007, 49, 259–264. [Google Scholar] [CrossRef]
- Krumlinde-Sundholm, L. Reporting Outcomes of the Assisting Hand Assessment: What Scale Should Be Used? Dev. Med. Child Neurol. 2012, 54, 807–808. [Google Scholar] [CrossRef]
- Tofani, M.; Castelli, E.; Sabbadini, M.; Berardi, A.; Murgia, M.; Servadio, A.; Galeoto, G. Examining Reliability and Validity of the Jebsen-Taylor Hand Function Test Among Children with Cerebral Palsy. Percept Mot. Ski. 2020, 127, 684–697. [Google Scholar] [CrossRef]
- Poole, J.L.; Burtner, P.A.; Torres, T.A.; McMullen, C.K.; Markham, A.; Marcum, M.L.; Anderson, J.B.; Qualls, C. Measuring Dexterity in Children Using the Nine-Hole Peg Test. J. Hand Ther. 2005, 18, 348–351. [Google Scholar] [CrossRef] [PubMed]
- Jongbloed-Pereboom, M.; Nijhuis-van der Sanden, M.W.G.; Steenbergen, B. Norm Scores of the Box and Block Test for Children Ages 3–10 Years. Am. J. Occup. Ther. 2013, 67, 312–318. [Google Scholar] [CrossRef] [PubMed]
- Faul, F.; Erdfelder, E.; Lang, A.-G.; Buchner, A. G*Power 3: A Flexible Statistical Power Analysis Program for the Social, Behavioral, and Biomedical Sciences. Behav. Res. Methods 2007, 39, 175–191. [Google Scholar] [CrossRef] [PubMed]
- Araneda, R.; Ebner-Karestinos, D.; Paradis, J.; Saussez, G.; Friel, K.M.; Gordon, A.M.; Bleyenheuft, Y. Reliability and Responsiveness of the Jebsen-Taylor Test of Hand Function and the Box and Block Test for Children with Cerebral Palsy. Dev. Med. Child Neurol. 2019, 61, 1182–1188. [Google Scholar] [CrossRef] [PubMed]
- Lang, C.E.; Lohse, K.R.; Birkenmeier, R.L. Dose and Timing in Neurorehabilitation: Prescribing Motor Therapy after Stroke. Curr. Opin. Neurol. 2015, 28, 549–555. [Google Scholar] [CrossRef]
- Connell, L.A.; McMahon, N.E.; Simpson, L.A.; Watkins, C.L.; Eng, J.J. Investigating Measures of Intensity During a Structured Upper Limb Exercise Program in Stroke Rehabilitation: An Exploratory Study. Arch. Phys. Med. Rehabil. 2014, 95, 2410–2419. [Google Scholar] [CrossRef]
- Lang, C.E.; Wagner, J.M.; Edwards, D.F.; Dromerick, A.W. Upper Extremity Use in People with Hemiparesis in the First Few Weeks after Stroke. J. Neurol. Phys. Ther. 2007, 31, 56–63. [Google Scholar] [CrossRef]
- Rand, D.; Givon, N.; Weingarden, H.; Nota, A.; Zeilig, G. Eliciting Upper Extremity Purposeful Movements Using Video Games. Neurorehabil. Neural. Repair 2014, 28, 733–739. [Google Scholar] [CrossRef]





| Characteristics | Participants |
|---|---|
| Children with Unilateral Cerebral Palsy (n = 25) | |
| Sex, n (%) | |
| Male | 18 (72) |
| Females | 7 (28) |
| Age, mean (SD) | 11.20 (3.59) |
| Side of hemiplegia, n (%) | |
| Left | 10 (40) |
| Right | 15 (60) |
| Race, n (%) | |
| White | 21 (84) |
| African American | 1 (4) |
| Asian | 3 (12) |
| Multiracial | - |
| MACS Level, n (%) | |
| I | 1 (4) |
| II | 9 (36) |
| III | 15 (60) |
| Accelerometer Variables | Minimum | Maximum | Mean | Std Deviation |
|---|---|---|---|---|
| Use Ratio | ||||
| Day 1 | 0.81 | 1.13 | 0.91 | 0.07 |
| Day 2 | 0.80 | 0.99 | 0.89 | 0.05 |
| Day 3 | 0.78 | 1.00 | 0.89 | 0.06 |
| Day 4 | 0.81 | 1.08 | 0.92 | 0.06 |
| Day 5 | 0.77 | 1.05 | 0.89 | 0.07 |
| Average | 0.79 | 1.05 | 0.90 | 0.06 |
| Magnitude Ratio | ||||
| Day 1 | −0.96 | 0.69 | −0.52 | 0.33 |
| Day 2 | −1.09 | −0.13 | −0.58 | 0.24 |
| Day 3 | −1.03 | −0.27 | −0.61 | 0.22 |
| Day 4 | −0.91 | −0.01 | −0.50 | 0.25 |
| Day 5 | −0.87 | −0.04 | −0.57 | 0.25 |
| Average | −0.97 | 0.05 | −0.56 | 0.26 |
| Bilateral Magnitude | ||||
| Day 1 | 93.78 | 268.94 | 161.99 | 43.80 |
| Day 2 | 102.43 | 296.16 | 164.69 | 41.04 |
| Day 3 | 98.53 | 240.82 | 163.87 | 35.36 |
| Day 4 | 114.13 | 257.18 | 172.56 | 32.44 |
| Day 5 | 101.02 | 274.46 | 173.16 | 46.50 |
| Average | 101.98 | 267.51 | 167.25 | 39.83 |
| Median Acceleration | ||||
| Day 1 | 25.00 | 117.14 | 55.85 | 24.82 |
| Day 2 | 28.44 | 134.99 | 55.04 | 22.69 |
| Day 3 | 25.30 | 101.24 | 53.56 | 18.64 |
| Day 4 | 37.16 | 104.35 | 60.61 | 16.50 |
| Day 5 | 26.57 | 117.63 | 59.89 | 23.40 |
| Average | 28.49 | 115.07 | 56.99 | 21.21 |
| Acceleration Variability | ||||
| Day 1 | 73.44 | 142.26 | 107.28 | 18.65 |
| Day 2 | 79.14 | 140.00 | 112.29 | 17.26 |
| Day 3 | 63.44 | 132.51 | 105.49 | 17.63 |
| Day 4 | 73.08 | 158.11 | 117.40 | 19.09 |
| Day 5 | 56.25 | 142.36 | 108.89 | 20.53 |
| Average | 69.07 | 143.05 | 110.27 | 18.63 |
| Affected Use count | ||||
| Day 1 | 10,198 | 20,283 | 15,325 | 2745 |
| Day 2 | 11,100 | 20,823 | 15,531 | 2280 |
| Day 3 | 3790 | 19,760 | 14,714 | 3275 |
| Day 4 | 12,903 | 19,996 | 16,160 | 1767 |
| Day 5 | 11,322 | 19,425 | 15,267 | 2317 |
| Average | 9863 | 20,057 | 15,399 | 2477 |
| Bonferroni Pairwise Comparison | ||||||||
|---|---|---|---|---|---|---|---|---|
| Variables | Mean | vs. | Mean | Significance | Mean Difference | Standard Error of Difference | Lower Bound | Upper Bound |
| Acceleration variability | Day3 | vs. | Day4 | 0.001 * | −11.9 | 3.6 | −19.3 | −4.6 |
| Affected extremity activity counts | Day1 | vs. | Day5 | 0.04 * | −835.3 | 385.0 | −1629.9 | −40.7 |
| Day3 | vs. | Day5 | 0.024 * | −1445.6 | 601.9 | −2687.9 | −203.2 | |
| Day4 | vs. | Day5 | 0.036 * | 893.5 | 402.7 | 62.5 | 1724.6 | |
Disclaimer/Publisher’s Note: The statements, opinions and data contained in all publications are solely those of the individual author(s) and contributor(s) and not of MDPI and/or the editor(s). MDPI and/or the editor(s) disclaim responsibility for any injury to people or property resulting from any ideas, methods, instructions or products referred to in the content. |
© 2023 by the authors. Licensee MDPI, Basel, Switzerland. This article is an open access article distributed under the terms and conditions of the Creative Commons Attribution (CC BY) license (https://creativecommons.org/licenses/by/4.0/).
Share and Cite
Gardas, S.S.; Lysaght, C.; McMillan, A.G.; Kantak, S.; Willson, J.D.; Patterson, C.G.; Surkar, S.M. Bimanual Movement Characteristics and Real-World Performance Following Hand–Arm Bimanual Intensive Therapy in Children with Unilateral Cerebral Palsy. Behav. Sci. 2023, 13, 681. https://doi.org/10.3390/bs13080681
Gardas SS, Lysaght C, McMillan AG, Kantak S, Willson JD, Patterson CG, Surkar SM. Bimanual Movement Characteristics and Real-World Performance Following Hand–Arm Bimanual Intensive Therapy in Children with Unilateral Cerebral Palsy. Behavioral Sciences. 2023; 13(8):681. https://doi.org/10.3390/bs13080681
Chicago/Turabian StyleGardas, Shailesh S., Christine Lysaght, Amy Gross McMillan, Shailesh Kantak, John D. Willson, Charity G. Patterson, and Swati M. Surkar. 2023. "Bimanual Movement Characteristics and Real-World Performance Following Hand–Arm Bimanual Intensive Therapy in Children with Unilateral Cerebral Palsy" Behavioral Sciences 13, no. 8: 681. https://doi.org/10.3390/bs13080681
APA StyleGardas, S. S., Lysaght, C., McMillan, A. G., Kantak, S., Willson, J. D., Patterson, C. G., & Surkar, S. M. (2023). Bimanual Movement Characteristics and Real-World Performance Following Hand–Arm Bimanual Intensive Therapy in Children with Unilateral Cerebral Palsy. Behavioral Sciences, 13(8), 681. https://doi.org/10.3390/bs13080681

