Generation Z’s Shopping Behavior in Second-Hand Brick-and-Mortar Stores: Emotions, Gender Dynamics, and Environmental Awareness
Abstract
1. Introduction
- Does gender affect the emotions of buying second-hand clothes in brick-and-mortar stores in Generation Z consumers?
- Does gender affect the primary reasons for shopping, benefits, and obstacles when buying second-hand clothes in brick-and-mortar stores in Generation Z consumers?
- Does gender affect the environmental awareness and emotional relationship to clothes in Generation Z consumers?
- Does the experience of buying second-hand clothes affect Generation Z consumers’ emotions when buying second-hand clothes in brick-and-mortar stores?
- Does the experience of buying second-hand clothes in brick-and-mortar stores affect the environmental awareness and emotional relationship to clothes in Generation Z consumers?
- Does the experience of buying second-hand clothes in brick-and-mortar stores affect the shopping experience of swapping clothes in Generation Z consumers?
2. Literature Review
3. Methodology
- ▪
- Gender and the authenticity level of buying SHC are independent.
- ▪
- Gender and the freedom level of buying SHC are independent.
- ▪
- Gender and the pleasure level of buying SHC are independent.
- ▪
- Gender and the fun level of buying SHC are independent.
- ▪
- Gender and the interest level in buying SHC are independent.
- ▪
- Gender and the primary reasons for buying SHC are independent.
- ▪
- Gender and the benefits of buying SHC are independent.
- ▪
- Gender and the disadvantages of buying SHC are independent.
- ▪
- Gender and building an emotional relationship with clothes are independent.
- ▪
- Gender and the consideration of the future consequences of buying clothes and shoes are independent.
- ▪
- Gender and the awareness of the environmental impact of buying clothes and shoes are independent.
- ▪
- Experience with shopping for SHC in brick-and-mortar stores and the degree of authenticity are independent.
- ▪
- Experience with shopping for SHC in brick-and-mortar stores and the degree of freedom are independent.
- ▪
- Experience with shopping for SHC in brick-and-mortar stores and the degree of pleasure are independent.
- ▪
- Experience with shopping for SHC in brick-and-mortar stores and the level of fun are independent.
- ▪
- Experience with shopping for SHC in brick-and-mortar stores and the level of interest are independent.
- ▪
- Experience with shopping for SHC in brick-and-mortar stores and environmental awareness are independent.
- ▪
- Experience with shopping for SHC in brick-and-mortar stores and the emotional relationship with the clothes are independent.
- ▪
- Experience with shopping for SHC in brick-and-mortar stores and the shopping experience of swapping clothes are independent.
- Chi-square derived from a pivot table,
- observed (actual) frequencies,
- expected frequencies.
- Chi-square derived from a pivot table,
- n total number of observations,
- k number of columns in the pivot table,
- r number of rows in the pivot table.
- ▪
- below 0.1—weak dependence,
- ▪
- 0.1–0.3—moderately strong addiction,
- ▪
- 0.3–0.5—strong dependence,
- ▪
- above 0.5—very strong association.
4. Results
5. Discussion
6. Conclusions
Author Contributions
Funding
Institutional Review Board Statement
Informed Consent Statement
Data Availability Statement
Conflicts of Interest
Appendix A
- Demographic Information
- What is your gender?
- ☐ Male
- ☐ Female
- 2.
- What is your highest level of education?
- ☐ Elementary education
- ☐ Secondary education
- ☐ University degree
- 3.
- What is the size of your place of residence?
- ☐ Up to 5000 inhabitants
- ☐ 5001–20,000 inhabitants
- ☐ More than 20,000 inhabitants
- Experience with second-hand clothing (SHC) shopping
- 4.
- Have you ever bought second-hand clothing or shoes in a brick-and-mortar store?
- ☐ I have not bought, nor do I plan to.
- ☐ I have not bought it, but I plan to.
- ☐ I bought it, I plan to.
- ☐ I bought it, but do not plan to anymore.
- 5.
- Which type of second-hand brick-and-mortar store do you prefer the most?
- ☐ Textile House
- ☐ Humana People to People Slovakia
- ☐ Local second-hand shop
- ☐ None
- Perceptions of second-hand shopping
- 6.
- What do you consider the main advantage of shopping for second-hand clothing?
- ☐ Price
- ☐ Quality diverse (unique) clothing
- ☐ Vintage style
- ☐ Environmental protection
- ☐ Other
- 7.
- What do you consider the main disadvantage of shopping for second-hand clothing?
- ☐ Time-consuming to look for clothes
- ☐ Worn clothes
- ☐ Small selection
- ☐ Bad quality
- ☐ Other
- Emotional perception of second-hand clothing shopping (indicate how much you agree with the following statements.)
- 8.
- Shopping for second-hand clothing is an authentic experience.
- ☐ I disagree.
- ☐ I rather disagree.
- ☐ I rather agree.
- ☐ I agree.
- 9.
- Shopping for second-hand clothing is liberating.
- ☐ disagree.
- ☐ I rather disagree.
- ☐ I rather agree.
- ☐ I agree.
- 10.
- Shopping for second-hand clothing is pleasing.
- ☐ I disagree.
- ☐ I rather disagree.
- ☐ I rather agree.
- ☐ I agree.
- 11.
- Shopping for second-hand clothing is fun.
- ☐ I disagree.
- ☐ I rather disagree.
- ☐ I rather agree.
- ☐ I agree.
- 12.
- Shopping for second-hand clothing is interesting.
- ☐ I disagree.
- ☐ I rather disagree.
- ☐ I rather agree.
- ☐ I agree.
References
- Akgün, V. Ö., & Mezde, A. (2024). The impact of consumer motivation on repurchase in online second-hand shopping experience: An application on aimed at measuring university student tendencies. Third Sector Social Economic Review, 59(4), 2643–2666. [Google Scholar]
- Ali, F., Dissanayake, D., Bell, M., & Farrow, M. (2018). Investigating car users’ attitudes to climate change using multiple correspondence analysis. Journal of Transport Geography, 72, 237–247. [Google Scholar]
- Bejtkovský, J. (2016). The employees of the baby boomers generation, generation X, generation Y and generation Z in selected Czech corporations as conceivers of development and competitiveness in their corporation. Journal of Competitiveness, 8(4), 105–123. [Google Scholar]
- Bhui, R., Lai, L., & Gershman, S. J. (2021). Resource-rational decision making. Current Opinion in Behavioral Sciences, 41, 15–21. [Google Scholar]
- Borusiak, B., Szymkowiak, A., Horska, E., Raszka, N., & Żelichowska, E. (2020). Towards building sustainable consumption: A study of second-hand buying intentions. Sustainability, 12(3), 875. [Google Scholar] [CrossRef]
- Boström, M. (2020). The social life of mass and excess consumption. Environmental Sociology, 6(3), 268–278. [Google Scholar]
- Calvo-Porral, C., Orosa-González, J., & Viejo-Fernández, N. (2024). Barriers to online second-hand purchase behavior. Marketing Intelligence & Planning, 42(2), 213–233. [Google Scholar]
- Camacho-Otero, J., Pettersen, I. N., & Boks, C. (2020). Consumer engagement in the circular economy: Exploring clothes swapping in emerging economies from a social practice perspective. Sustainable Development, 28(1), 279–293. [Google Scholar]
- Chi, T. (2015). Consumer perceived value of environmentally friendly apparel: An empirical study of Chinese consumers. The Journal of The Textile Institute, 106(10), 1038–1050. [Google Scholar]
- D’Adamo, I., Lupi, G., Morone, P., & Settembre-Blundo, D. (2022). Towards the circular economy in the fashion industry: The second-hand market as a best practice of sustainable responsibility for businesses and consumers. Environmental Science and Pollution Research, 29(31), 46620–46633. [Google Scholar]
- De Keyser, A., Lemon, K. N., Klaus, P., & Keiningham, T. L. (2015). A framework for understanding and managing the customer experience. Marketing Science Institute Working Paper Series, 85(1), 15–121. [Google Scholar]
- Dragolea, L. L., Butnaru, G. I., Kot, S., Zamfir, C. G., Nuţă, A. C., Nuţă, F. M., Cristea, D. S., & Ştefănică, M. (2023). Determining factors in shaping the sustainable behavior of the Generation Z consumer. Frontiers in Environmental Science, 11, 1096183. [Google Scholar]
- Ek Styvén, M., & Mariani, M. M. (2020). Understanding the intention to buy secondhand clothing on sharing economy platforms: The influence of sustainability, distance from the consumption system, and economic motivations. Psychology & Marketing, 37(5), 724–739. [Google Scholar]
- Estévez, A., Jauregui, P., Granero, R., Munguía, L., López-González, H., Macía, L., López, N., Momeñe, J., Corral, S., Fernández-Aranda, F., Agüera, Z., Mena-Moreno, T., Lozano-Madrid, M. d. E., Vintró-Alcaraz, C., del Pino-Gutierrez, A., Codina, E., Valenciano-Mendoza, E., Gómez-Peña, M., Moragas, L., & Jiménez-Murcia, S. (2020). Buying-shopping disorder, emotion dysregulation, coping and materialism: A comparative approach with gambling patients and young people and adolescents. International Journal of Psychiatry in Clinical Practice, 24(4), 407–415. [Google Scholar]
- Evans, F., Grimmer, L., & Grimmer, M. (2022). Consumer orientations of secondhand fashion shoppers: The role of shopping frequency and store type. Journal of Retailing and Consumer Services, 67, 102991. [Google Scholar]
- Good, M. C., & Hyman, M. R. (2020). Protection motivation theory and brick-and-mortar salespeople. International Journal of Retail & Distribution Management, 48(8), 865–879. [Google Scholar]
- Gray, S., Druckman, A., Sadhukhan, J., & James, K. (2022). Reducing the environmental impact of clothing: An exploration of the potential of alternative business models. Sustainability, 14(10), 6292. [Google Scholar] [CrossRef]
- Huang, H., Long, R., Chen, H., Sun, K., & Li, Q. (2022). Exploring public attention about green consumption on Sina Weibo: Using text mining and deep learning. Sustainable Production and Consumption, 30, 674–685. [Google Scholar]
- Hur, E. (2020). Rebirth fashion: Secondhand clothing consumption values and perceived risks. Journal of Cleaner Production, 273, 122951. [Google Scholar]
- Iravanian, A., & Ravari, S. O. (2020). Types of contamination in landfills and effects on the environment: A review study. IOP Conference Series: Earth and Environmental Science, 614(1), 012083. [Google Scholar]
- Jain, V., O’Brien, W., & Gloria, T. P. (2021). Improved solutions for shared value creation and maximization from used clothes: Streamlined structure of clothing consumption system and a framework of closed loop hybrid business model. Cleaner and Responsible Consumption, 3, 100039. [Google Scholar]
- Kacprzak, A., & Dziewanowska, K. (2019). Investigating the influence of consumer socio-demographic characteristics on the preferred type of consumption experience. Journal of East European Management Studies, 24(4), 513–544. [Google Scholar]
- Karpova, E. E., Jestratijevic, I., Lee, J., & Wu, J. (2022). An ethnographic study of collaborative fashion consumption: The case of temporary clothing swapping. Sustainability, 14(5), 2499. [Google Scholar] [CrossRef]
- Kawaf, F., & Tagg, S. (2017). The construction of online shopping experience: A repertory grid approach. Computers in Human Behavior, 72, 222–232. [Google Scholar]
- Khandual, A., & Pradhan, S. (2019). Fashion brands and consumers approach towards sustainable fashion. In Fast fashion, fashion brands and sustainable consumption (pp. 37–54). Springer. [Google Scholar]
- King, J., & Wheeler, A. (2016). Setting the record straight. Available online: https://www.researchgate.net/publication/232939261_SETTING_THE_RECORD_STRAIGHT (accessed on 10 February 2024).
- Kuuru, T. K., Litovuo, L., Aarikka-Stenroos, L., & Helander, N. (2020). Emotions in customer experience. In Society as an interaction space: A systemic approach (pp. 247–274). Springer. [Google Scholar]
- Lang, C., & Zhang, R. (2019). Second-hand clothing acquisition: The motivations and barriers to clothing swaps for Chinese consumers. Sustainable Production and Consumption, 18, 156–164. [Google Scholar]
- Li, S., Rismanchi, B., & Aye, L. (2022). A simulation-based bottom-up approach for analysing the evolution of residential buildings’ material stocks and environmental impacts—A case study of Inner Melbourne. Applied Energy, 314, 118941. [Google Scholar] [CrossRef]
- Liang, D., Hou, C., Jo, M. S., & Sarigöllü, E. (2019). Pollution avoidance and green purchase: The role of moral emotions. Journal of Cleaner Production, 210, 1301–1310. [Google Scholar]
- Lichy, J., Ryding, D., Rudawska, E., & Vignali, G. (2023). Resale as sustainable social innovation: Understanding shifts in consumer decision-making and shopping orientations for high-end secondhand clothing. Social Enterprise Journal. ahead-of-print. [Google Scholar]
- Long, T., & Suomi, R. (2022, July 5–9). User continuance intention toward theme park apps: A uses and gratification perspective. 26th Pacific Asia Conference on Information Systems, PACIS 2022 (p. 247), Virtual Event/Taipei, Taiwan/Sydney, Australia. [Google Scholar]
- Malelak, M. I., & Anastasia, N. (2020). Shopping motives, financial literacy, and credit card utilization among college students. In Proceedings of the 3rd Asia Pacific international conference of management and business science (AICMBS 2019) (pp. 209–213). Atlantis Press. [Google Scholar]
- Mateos-Mínguez, P., Arranz-López, A., Soria-Lara, J. A., & Lanzendorf, M. (2021). E-shoppers and multimodal accessibility to in-store retail: An analysis of spatial and social effects. Journal of Transport Geography, 96, 103198. [Google Scholar]
- McHugh, M. L. (2013). The chi-square test of independence. Biochemia Medica, 23(2), 143–149. [Google Scholar]
- Moes, A., & van Vliet, H. (2017). The online appeal of the physical shop: How a physical store can benefit from a virtual representation. Heliyon, 3(6), e00336. [Google Scholar]
- Munsch, A. (2021). Millennial and generation Z digital marketing communication and advertising effectiveness: A qualitative exploration. Journal of Global Scholars of Marketing Science, 31(1), 10–29. [Google Scholar]
- Mustafy, T., & Rahman, M. T. U. (2024). SPSS. In Statistics and data analysis for engineers and scientists (pp. 135–180). Springer Nature Singapore. [Google Scholar]
- Nica, E., Sabie, O. M., Mascu, S., & Luţan, A. G. (2022). Artificial intelligence decision-making in shopping patterns: Consumer values, cognition, and attitudes. Economics, Management and Financial Markets, 17(1), 31–43. [Google Scholar]
- Ortega-Egea, J. M., García-de-Frutos, N., & Antolín-López, R. (2014). Why do some people do “more” to mitigate climate change than others? Exploring heterogeneity in psycho-social associations. PLoS ONE, 9(9), e106645. [Google Scholar]
- Park, H., & Martinez, C. M. J. (2020, November 16). Secondhand clothing sales are booming—And may help solve the sustainability crisis in the fashion industry. The Conversation. [Google Scholar]
- Park, H. J., & Lin, L. M. (2020). Exploring attitude–behavior gap in sustainable consumption: Comparison of recycled and upcycled fashion products. Journal of Business Research, 117, 623–628. [Google Scholar]
- Persson, O., & Hinton, J. B. (2023). Second-hand clothing markets and a just circular economy? Exploring the role of business forms and profit. Journal of Cleaner Production, 390, 136139. [Google Scholar]
- Pramestya, N. L. P. U. M., & Widagda, I. J. A. (2020). The role of positive emotion mediates fashion involvement on impulse buying. American Journal of Humanities and Social Sciences Research, 4(9), 1–8. [Google Scholar]
- PwC. (2018). Report Millennials vs Generation Z. Available online: https://www.pwc.com/gx/en/search.html?searchfield=Report+Millennials+vs+Generation+Z.+&pwcSiteSection=&pwcLang=en&pwcGeo=gx (accessed on 10 February 2024).
- Rahadhini, M. D., Wibowo, E., & Lukiyanto, K. (2020). The role of positive emotion in hedonic shopping value affecting consumers’ impulse buying of fashion products. International Journal of Scientific and Technology Research, 9(2), 780–784. [Google Scholar]
- Rapp, A., Baker, T. L., Bachrach, D. G., Ogilvie, J., & Beitelspacher, L. S. (2015). Perceived customer showrooming behavior and the effect on retail salesperson self-efficacy and performance. Journal of Retailing, 91(2), 358–369. [Google Scholar]
- Reis, C. L. D. S. (2020). Second-hand fashion: The effect of nostalgia on purchase intentions and shopping behaviour [Doctoral dissertation, Universidade Católica Portuguesa]. [Google Scholar]
- Rodrigues, M., Proença, J. F., & Macedo, R. (2023). Determinants of the purchase of secondhand products: An approach by the theory of planned behaviour. Sustainability, 15(14), 10912. [Google Scholar] [CrossRef]
- Sachdeva, I., & Goel, S. (2015). Retail store environment and customer experience: A paradigm. Journal of Fashion Marketing and Management, 19(3), 290–298. [Google Scholar]
- Sendow, F. F., Pangemanan, S. S., & Tielung, M. V. (2019). Analysis of clicks and bricks: Consumers’ attitude towards online store and traditional store of Charles & Keith consumer in Manado. Jurnal EMBA: Jurnal Riset Ekonomi, Manajemen, Bisnis dan Akuntansi, 7(4), 5069–5078. [Google Scholar]
- Simanjuntak, M., Nur, H. R., Sartono, B., & Sabri, M. F. (2020). A general structural equation model of the emotions and repurchase intention in modern retail. Management Science Letters, 10(4), 801–814. [Google Scholar] [CrossRef]
- Sorensen, K., & Johnson Jorgensen, J. (2019). Millennial perceptions of fast fashion and second-hand clothing: An exploration of clothing preferences using Q methodology. Social Sciences, 8(9), 244. [Google Scholar] [CrossRef]
- Štefancová, V., Kalašová, A., Čulík, K., Mazanec, J., Vojtek, M., & Mašek, J. (2022). Research on the impact of COVID-19 on micromobility using statistical methods. Applied Sciences, 12(16), 8128. [Google Scholar] [CrossRef]
- Tan, C. S., Ooi, H. Y., & Goh, Y. N. (2017). A moral extension of the theory of planned behavior to predict consumers’ purchase intention for energy-efficient household appliances in Malaysia. Energy Policy, 107, 459–471. [Google Scholar] [CrossRef]
- Tan, T. M., Makkonen, H., Kaur, P., & Salo, J. (2022). How do ethical consumers utilize sharing economy platforms as part of their sustainable resale behavior? The role of consumers’ green consumption values. Technological Forecasting and Social Change, 176, 121432. [Google Scholar] [CrossRef]
- Tarka, P., Kukar-Kinney, M., & Harnish, R. J. (2022). Consumers’ personality and compulsive buying behavior: The role of hedonistic shopping experiences and gender in mediating-moderating relationships. Journal of Retailing and Consumer Services, 64, 102802. [Google Scholar] [CrossRef]
- Thangavel, P., Pathak, P., & Chandra, B. (2021). Millennials and Generation Z: A generational cohort analysis of Indian consumers. Benchmarking: An International Journal, 28(7), 2157–2177. [Google Scholar] [CrossRef]
- Trevinal, A. M., & Stenger, T. (2014). Toward a conceptualization of the online shopping experience. Journal of Retailing and Consumer Services, 21(3), 314–326. [Google Scholar] [CrossRef]
- Turunen, L. L. M., Cervellon, M. C., & Carey, L. D. (2020). Selling second-hand luxury: Empowerment and enactment of social roles. Journal of Business Research, 116, 474–481. [Google Scholar] [CrossRef]
- Van der Horst, M. (2024). Gender role attitudes. In Encyclopedia of quality of life and well-being research (pp. 2695–2697). Springer International Publishing. [Google Scholar]
- Witek, L., & Kuźniar, W. (2020). Green purchase behavior: The effectiveness of sociodemographic variables for explaining green purchases in emerging market. Sustainability, 13(1), 209. [Google Scholar] [CrossRef]
- Xu, X. (2020). Examining the role of emotion in online consumer reviews of various attributes in the surprise box shopping model. Decision Support Systems, 136, 113344. [Google Scholar]
- Yan, R. N., Bae, S. Y., & Xu, H. (2015). Second hand clothing—Shopping among college students: The role of psychographic characteristics. Young Consumers, 16(1), 85–98. [Google Scholar]
- Zhang, X., & Dong, F. (2020). Why do consumers make green purchase decisions? Insights from a systematic review. International Journal of Environmental Research and Public Health, 17(18), 6607. [Google Scholar]
- Zulauf, K., & Wagner, R. (2022). Online shopping therapy: If you want to be happy, shop around. Journal of International Consumer Marketing, 34(3), 332–345. [Google Scholar] [CrossRef]




| Gender | Residence Size | Experience in Shopping for SHC in Any Brick-and-Mortar Store | Total | |||
|---|---|---|---|---|---|---|
| I Have Not Bought, nor Do I Plan To | I Have Not Bought It, but I Plan To | I Bought It, I Plan To | I Bought It but Do Not Plan to Anymore | |||
| Man | up to 5000 | 30 | 13 | 33 | 10 | 86 |
| 5001–20,000 | 10 | 3 | 12 | 6 | 31 | |
| more than 20,000 | 23 | 13 | 25 | 13 | 74 | |
| Total | 63 | 29 | 70 | 29 | 191 | |
| Woman | up to 5000 | 9 | 5 | 51 | 9 | 74 |
| 5001–20,000 | 4 | 3 | 22 | 2 | 31 | |
| more than 20,000 | 6 | 4 | 24 | 10 | 44 | |
| Total | 19 | 12 | 97 | 21 | 149 | |
| Total | up to 5000 | 39 | 18 | 84 | 19 | 160 |
| 5001–20,000 | 14 | 6 | 34 | 8 | 62 | |
| more than 20,000 | 29 | 17 | 49 | 23 | 118 | |
| Total | 82 | 41 | 167 | 50 | 340 | |
| Variable | Acronym | Category | N | % | Modus | Median |
|---|---|---|---|---|---|---|
| Gender | 0 | Man | 191 | 56.2 | 0 | 0 |
| 1 | Woman | 149 | 43.8 | |||
| Education level | 0 | Elementary education | 25 | 7.4 | 1 | 1 |
| 1 | Secondary education | 240 | 70.6 | |||
| 2 | University education | 75 | 22.1 | |||
| Residence size | 0 | Up to 5000 inhabitants | 160 | 47.1 | 0 | 1 |
| 1 | 5001–20,000 inhabitants | 62 | 18.2 | |||
| 2 | More than 20,000 inhabitants | 118 | 34.7 | |||
| Experience with shopping for SHC in any brick-and-mortar store | 0 | I have not bought, nor do I plan to. | 82 | 24.1 | 2 | 2 |
| 1 | I have not bought it, but I plan to. | 41 | 12.1 | |||
| 2 | I bought it, I plan to. | 167 | 49.1 | |||
| 3 | I bought it, but do not plan to anymore. | 50 | 14.7 | |||
| Preferred second-hand brick-and-mortar store | 0 | Textile House | 38 | 11.2 | 3 | 2 |
| 1 | Humana People to People Slovakia | 111 | 32.6 | |||
| 2 | Local second-hand shop | 32 | 9.4 | |||
| 3 | None | 159 | 46.8 | |||
| The main advantage of shopping for SHC | 0 | Price | 193 | 56.8 | 0 | 0 |
| 1 | Quality diverse (unique) clothing | 34 | 10.0 | |||
| 2 | Vintage style | 24 | 7.1 | |||
| 3 | Environmental protection | 64 | 18.8 | |||
| 4 | Other | 25 | 7.4 | |||
| The main disadvantage of shopping for SHC | 0 | Time-consuming to look for clothes | 69 | 20.3 | 1 | 1 |
| 1 | Worn clothes | 142 | 41.8 | |||
| 2 | Old fashioned clothes | 18 | 5.3 | |||
| 3 | Small selection | 62 | 18.2 | |||
| 4 | Bad quality | 29 | 8.5 | |||
| 5 | Other | 20 | 5.9 | |||
| Shopping for SHC is authentic. | 0 | I disagree. | 52 | 15.29 | 3 | 2 |
| 1 | I rather disagree. | 45 | 13.24 | |||
| 2 | I rather agree. | 89 | 26.18 | |||
| 3 | I agree. | 157 | 46.18 | |||
| Shopping for SHC is liberating. | 0 | I disagree. | 71 | 20.88 | 2 | 2 |
| 1 | I rather disagree. | 29 | 8.53 | |||
| 2 | I rather agree. | 121 | 35.59 | |||
| 3 | I agree. | 119 | 35.00 | |||
| Shopping for SHC is pleasing | 0 | I disagree. | 66 | 19.41 | 3 | 2 |
| 1 | I rather disagree. | 27 | 7.94 | |||
| 2 | I rather agree. | 116 | 34.12 | |||
| 3 | I agree. | 131 | 38.53 | |||
| Shopping for SHC is fun. | 0 | I disagree. | 68 | 20.00 | 3 | 2 |
| 1 | I rather disagree. | 47 | 13.82 | |||
| 2 | I rather agree. | 108 | 31.76 | |||
| 3 | I agree. | 117 | 34.41 | |||
| Shopping for SHC is interesting. | 0 | I disagree. | 61 | 17.94 | 3 | 2 |
| 1 | I rather disagree. | 52 | 15.29 | |||
| 2 | I rather agree. | 74 | 21.76 | |||
| 3 | I agree. | 153 | 45.00 |
| Null Hypothesis | Pearson Chi-Square | Df | p-Value | N |
|---|---|---|---|---|
| Gender and authenticity level of buying SHC are independent. | 10.655 a | 3 | 0.014 | 340 |
| Gender and freedom level of buying SHC are independent. | 4.835 b | 3 | 0.184 | 340 |
| Gender and pleasure level of buying SHC are independent. | 4.887 c | 3 | 0.180 | 340 |
| Gender and fun level of buying SHC are independent. | 14.362 d | 3 | 0.002 | 340 |
| Gender and interest level in buying SHC are independent. | 14.475 e | 3 | 0.002 | 340 |
| Shopping for Second-Hand Clothes Is | Gender | Disagree | Rather Disagree | Rather Agree | Agree | Sum | Mean | Agree | Disagree | ||||||
|---|---|---|---|---|---|---|---|---|---|---|---|---|---|---|---|
| N | % | N | % | N | % | N | % | N | % | N | % | ||||
| Authentic | M | 39 | 20.42 | 20 | 10.47 | 52 | 27.23 | 80 | 41.88 | 191 | 2.91 | 132 | 69.11 | 59 | 30.89 |
| F | 13 | 8.72 | 22 | 14.77 | 37 | 24.83 | 77 | 51.68 | 149 | 3.19 | 114 | 76.51 | 35 | 23.49 | |
| Liberating | M | 47 | 24.61 | 14 | 7.33 | 69 | 36.13 | 61 | 31.94 | 191 | 2.75 | 130 | 68.06 | 61 | 31.94 |
| F | 24 | 16.11 | 15 | 10.07 | 52 | 34.90 | 58 | 38.93 | 149 | 2.97 | 110 | 73.83 | 39 | 26.17 | |
| Pleasing | M | 45 | 23.56 | 14 | 7.33 | 63 | 32.98 | 69 | 36.13 | 191 | 2.82 | 132 | 69.11 | 69 | 30.89 |
| F | 21 | 14.09 | 13 | 8.72 | 53 | 35.57 | 62 | 41.61 | 149 | 3.05 | 115 | 77.18 | 34 | 22.82 | |
| Funny | M | 52 | 27.23 | 23 | 12.04 | 55 | 28.80 | 61 | 31.94 | 191 | 2.65 | 116 | 60.73 | 75 | 39.27 |
| F | 16 | 10.74 | 24 | 16.11 | 53 | 35.57 | 56 | 37.58 | 149 | 3.00 | 109 | 73.15 | 40 | 26.85 | |
| Interesting | M | 44 | 23.04 | 21 | 10.99 | 47 | 24.61 | 79 | 41.36 | 191 | 2.84 | 126 | 65.97 | 65 | 34.03 |
| F | 17 | 11.41 | 31 | 20.81 | 27 | 18.12 | 74 | 49.66 | 149 | 3.06 | 101 | 67.79 | 48 | 32.21 | |
| Null Hypothesis | Pearson Chi-Square | Df | p-Value | Cramer’s V | N |
|---|---|---|---|---|---|
| Experience with shopping for SHC in brick-and-mortar stores and the degree of authenticity are independent. | 97.418 a | 9 | 0.000 | 0.309 | 340 |
| Experience with shopping for SHC in brick-and-mortar stores and the degree of freedom are independent. | 62.099 b | 9 | 0.000 | 0.247 | 340 |
| Experience with shopping for SHC in brick-and-mortar stores and the degree of pleasure are independent. | 103.818 c | 9 | 0.000 | 0.319 | 340 |
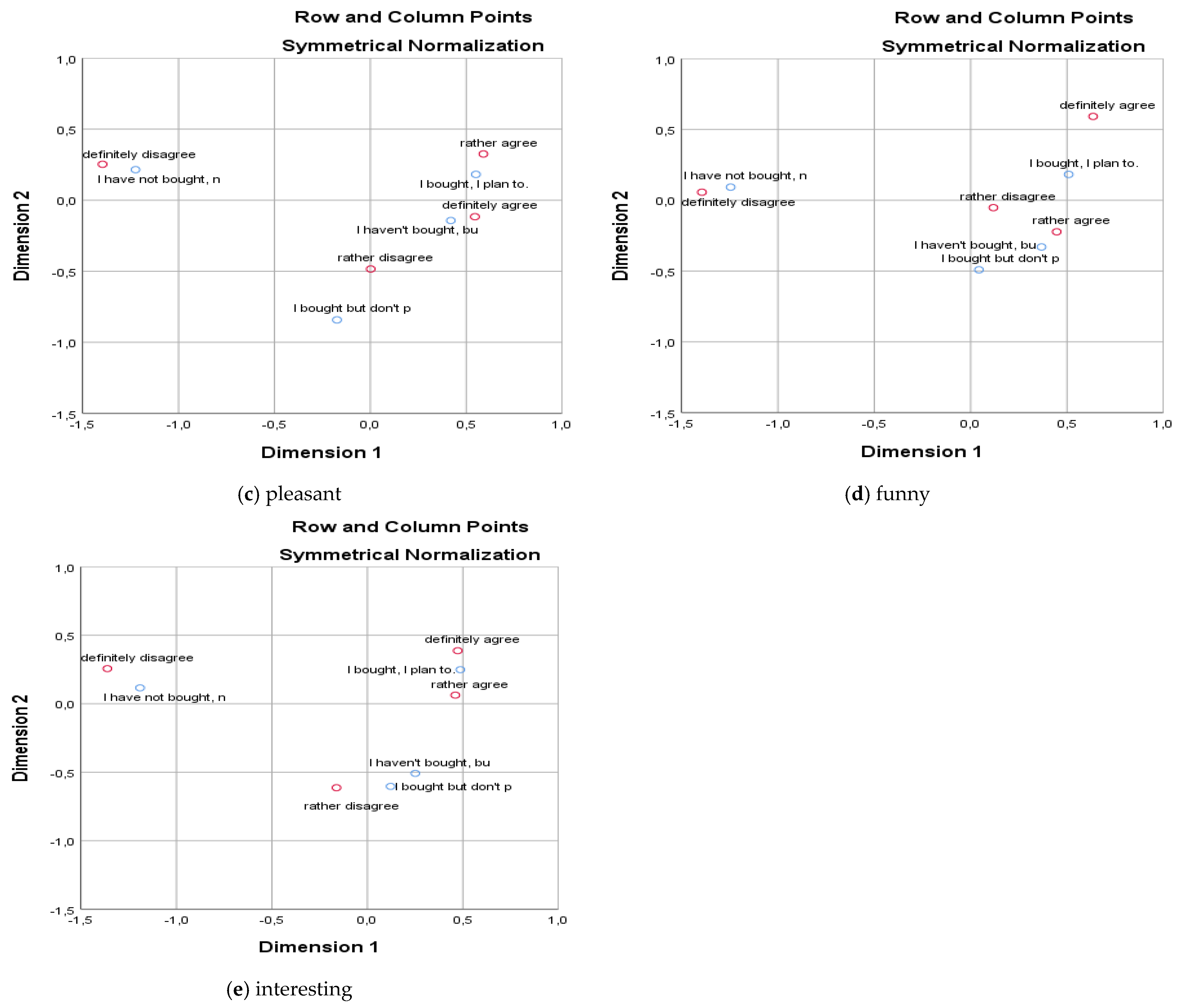
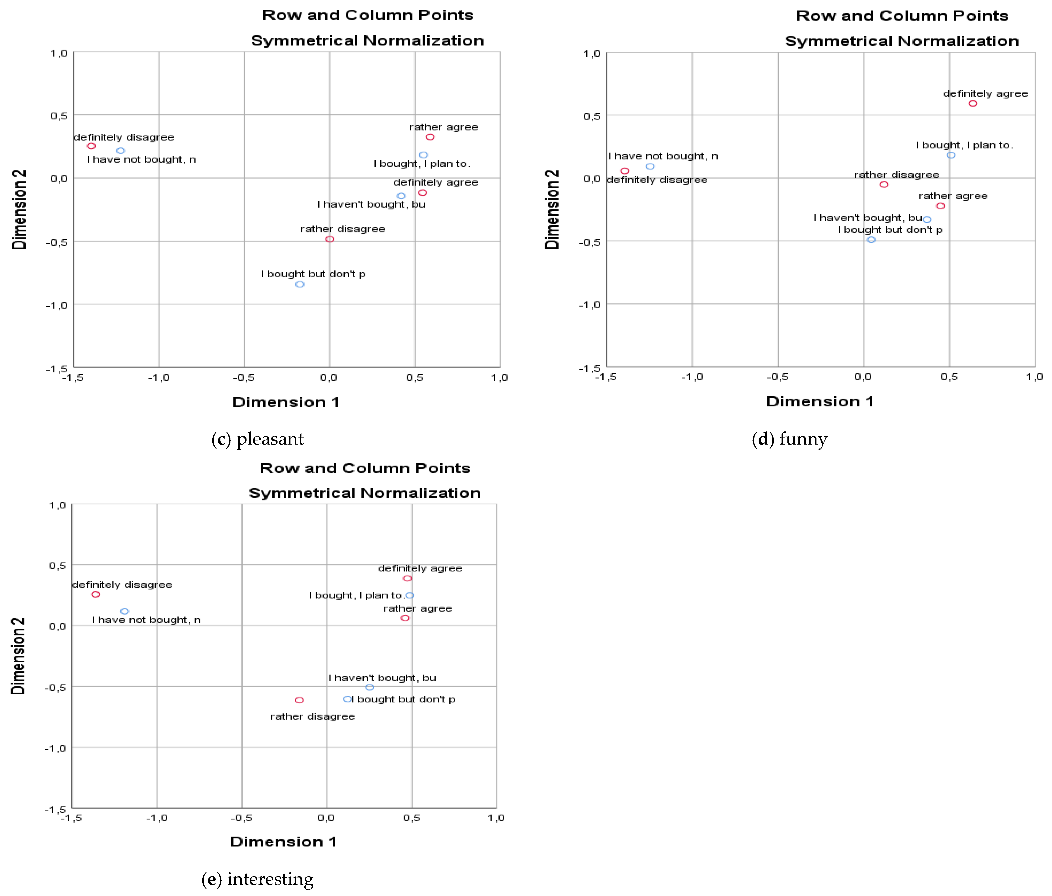
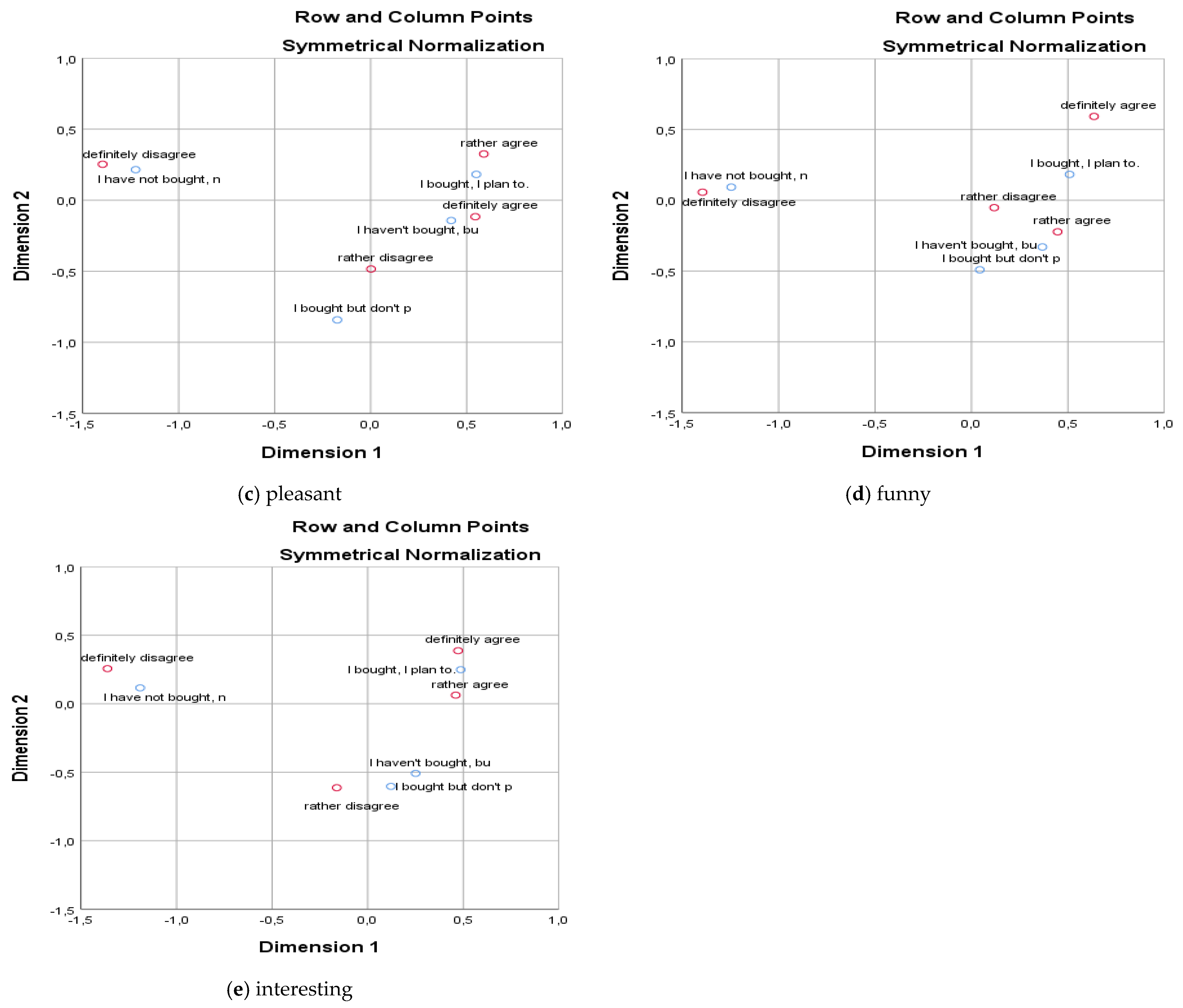
| Experience with shopping for SHC in brick-and-mortar stores and the level of fun are independent. | 92.840 d | 9 | 0.000 | 0.302 | 340 |
| Experience with shopping for SHC in brick-and-mortar stores and the level of interest are independent. | 76.460 e | 9 | 0.000 | 0.279 | 340 |
| Null Hypothesis | Pearson Chi-Square | df | p-Value | Cramer’s V | N |
|---|---|---|---|---|---|
| Gender and the primary reasons for buying SHC are independent. | 4.334 a | 3 | 0.228 | 0.113 | 340 |
| Gender and the benefits of buying SHC are independent. | 6.808 b | 3 | 0.078 | 0.147 | 315 |
| Gender and the disadvantages of buying SHC are independent. | 0.773 c | 4 | 0.942 | 0.049 | 320 |
| Gender and building an emotional relationship with clothes are independent. | 17.813 d | 3 | 0.000 | 0.229 | 340 |
| Gender and the consideration of future consequences of buying clothes and shoes are independent. | 8.347 e | 3 | 0.039 | 0.157 | 340 |
| Gender and the awareness of the environmental impact of buying clothes and shoes are independent. | 14.773 f | 3 | 0.002 | 0.208 | 340 |
| Null Hypothesis | Pearson Chi-Square | Df | p-Value | Cramer’s V | N |
|---|---|---|---|---|---|
| Experience with shopping for SHC in brick-and-mortar stores and environmental awareness are independent. | 29.580 a | 9 | 0.001 | 0.170 | 340 |
| Experience with shopping for SHC in brick-and-mortar stores and the emotional relationship with the clothes are independent. | 22.989 b | 9 | 0.006 | 0.150 | 340 |
| Experience with shopping for SHC in brick-and-mortar stores and the shopping experience of swapping clothes are independent. | 22.435 c | 9 | 0.008 | 0.148 | 340 |
Disclaimer/Publisher’s Note: The statements, opinions and data contained in all publications are solely those of the individual author(s) and contributor(s) and not of MDPI and/or the editor(s). MDPI and/or the editor(s) disclaim responsibility for any injury to people or property resulting from any ideas, methods, instructions or products referred to in the content. |
© 2025 by the authors. Licensee MDPI, Basel, Switzerland. This article is an open access article distributed under the terms and conditions of the Creative Commons Attribution (CC BY) license (https://creativecommons.org/licenses/by/4.0/).
Share and Cite
Harantová, V.; Mazanec, J. Generation Z’s Shopping Behavior in Second-Hand Brick-and-Mortar Stores: Emotions, Gender Dynamics, and Environmental Awareness. Behav. Sci. 2025, 15, 413. https://doi.org/10.3390/bs15040413
Harantová V, Mazanec J. Generation Z’s Shopping Behavior in Second-Hand Brick-and-Mortar Stores: Emotions, Gender Dynamics, and Environmental Awareness. Behavioral Sciences. 2025; 15(4):413. https://doi.org/10.3390/bs15040413
Chicago/Turabian StyleHarantová, Veronika, and Jaroslav Mazanec. 2025. "Generation Z’s Shopping Behavior in Second-Hand Brick-and-Mortar Stores: Emotions, Gender Dynamics, and Environmental Awareness" Behavioral Sciences 15, no. 4: 413. https://doi.org/10.3390/bs15040413
APA StyleHarantová, V., & Mazanec, J. (2025). Generation Z’s Shopping Behavior in Second-Hand Brick-and-Mortar Stores: Emotions, Gender Dynamics, and Environmental Awareness. Behavioral Sciences, 15(4), 413. https://doi.org/10.3390/bs15040413

